2. 河北经贸大学 财政税务学院, 河北 石家庄 050061
2. School of Public Finance and Taxation, Hebei University of Economics and Business, Shijiazhuang 050061, China
海洋经济是经济体系中的关键板块, 是推动中国经济高质量发展的重要引擎。党的十八大以来, 习近平总书记多次就发展海洋经济的战略意义、主攻方向、方法路径作出重要指示, 强调“海洋经济发展前途无量”“发达的海洋经济是建设海洋强国的重要支撑”。海洋经济已经成为沿海地区经济增长最具活力和前景的领域之一, 发展海洋经济对于推动经济持续健康发展意义重大。[1]
然而, 近年来全球经济政治环境复杂多变、地区冲突蔓延, 中国海洋经济发展面临着国际上不确定性、不稳定性、突发性等诸多因素的影响。同时, 全球气候变化、海洋灾害以及海洋生态污染问题持续恶化, 也对海洋生态系统构成威胁, 制约着海洋经济的健康发展。为应对上述挑战, 提高海洋经济韧性至关重要, 必须持续增强海洋经济抗风险能力, 提高海洋经济的稳定性, 降低海洋经济的脆弱性和敏感性, 从而推动海洋经济实现韧性增长, 不断促进海洋强国建设取得新成效。
韧性概念源自物理学领域, 指物体受外力挤压时的回弹能力。[2]随后, 韧性概念的发展经历了工程韧性、生态韧性、演化韧性三个阶段。工程韧性追求单一均衡状态, 强调系统遭受外部冲击后恢复至原有状态的能力。[3]生态韧性追求多重均衡状态, 强调系统遭受外部冲击后通过系统内部要素不断重组创新最终达到相对稳定的状态。[4]演化韧性摒弃均衡追求, 强调系统结构和功能的适应转化。[5]随着韧性理论的发展, 其被广泛应用于产业韧性、城市韧性、金融韧性、生态韧性、社会韧性、基础设施韧性等方面的相应研究之中。[2][6][7][8][9][10]在诸多的韧性问题研究之中, 经济韧性的研究占据重要地位。经济韧性是指经济系统在遭受外部冲击后抵御冲击与恢复的能力。[11]经济韧性并不一定意味着经济会回到原来的状态, 而是可能引导经济步入一条比冲击前更为强劲、可持续的发展轨道, 或者因调整不力走向更为低迷、收缩的增长路径。[12]而强劲的韧性, 意味着经济发展具有更强的稳定性和持续性。[13]
海洋经济是国民经济的重要组成部分, 海洋经济韧性关乎国民经济发展的整体稳定性。但至目前为止, 国内学界对海洋经济韧性的讨论并不多, 现有研究主要集中在三个领域。第一, 对海洋经济韧性概念和内涵的界定。孙才志等较早开展海洋经济韧性研究, 认为海洋经济韧性是海洋经济系统在不利因素的扰动和冲击下, 依靠不断调整自身结构和组成要素以适应内外环境变化并保持增长的能力。[14]赵良仕等对海洋经济韧性的内涵进行了延伸, 将其总结为海洋经济系统在应对外部冲击或内部扰动时所展现的抵御风险的能力、恢复初始状态的速度和程度、重新整合内部资源和创新发展路径的能力。[15]第二, 海洋经济韧性测度与时空变化特征分析。对于海洋经济韧性的测度可以分为单指标法和多指标法。单指标法研究的代表是余璇等, 采用区域海岸带经济实际变化量与预期变化量的差值, 与预期变化量绝对值之比衡量。[16]鉴于海洋经济韧性的复杂性, 现有研究更多采用多指标法开展分析。宋磊等通过抵抗力、恢复力和重构力相关指标对11个沿海省份海洋经济韧性水平开展测度, 认为沿海省份海洋经济韧性的区域差异出现缩小趋势。[17]姜慧慧等从抵御、恢复、适应、更新四个维度考察中国海洋经济韧性发展的总体趋势, 提出2011—2020年中国海洋经济韧性波动上升, 空间上韧性类型呈现点状与片状并存的分布特点。[18]汪永生等构建包含脆弱性、抵抗性、鲁棒性和恢复性的海洋经济韧性评价体系, 测算结果显示北部海洋经济圈韧性水平偏低、鲁棒性不足, 东部海洋经济圈韧性水平良好、发展均衡, 南部海洋经济圈韧性增长快、脆弱性和恢复性较强。[19]第三, 海洋经济韧性的影响因素研究。李靖远等通过分析发现数字金融发展能够提升海洋经济韧性, 其中数字金融覆盖广度的提升作用最大。[20]刘桂春等关注海洋创新能力对海洋经济韧性的影响, 研究结果表明各海洋创新驱动要素对海洋经济韧性的影响从大到小依次为海洋创新环境、海洋创新投入、海洋创新产出、海洋创新绩效。[21]张卓群等从政策角度出发, 采用双重差分模型评估海洋经济创新发展示范城市政策对沿海城市海洋经济韧性的影响, 认为该政策显著提升了沿海城市海洋经济韧性, 且科技创新投入和数字经济发展能够强化政策对沿海城市海洋经济韧性的提升作用。[22]
综上所述, 已有文献为海洋经济韧性研究提供了一定的理论基础, 但仍存在不足: 一方面, 囿于历年《中国海洋经济统计年鉴》主要涉海指标只公布到省级层面的情况, 目前缺乏以沿海城市作为主要对象开展海洋经济韧性分析的细致研究; 另一方面, 采用量化工具刻画城市海洋经济韧性时空特征的研究匮乏, 对海洋经济韧性收敛性的分析也存在不足。基于此, 本研究可能的创新点在于以下几点。第一, 在研究视角与理论框架方面, 突破以往研究局限于省级层面的限制, 聚焦38个沿海城市构建城市级海洋经济韧性评价体系, 从而能够更精细地考察沿海地区海洋经济韧性的时空演变特征; 创新性地将工程韧性、生态韧性、演化韧性的理论逻辑与海洋经济特征相结合, 构建了包括抵抗与恢复能力、适应与调整能力、转型与创新能力的递进式三维海洋经济韧性理论框架。第二, 在实证发现与规律揭示方面, 通过将Dagum基尼系数、核密度估计、收敛模型系统性应用于海洋经济韧性研究, 揭示中国沿海城市海洋经济韧性已从“分板块”格局转向“多点开花、交错分布”的发展态势, 为理解区域海洋经济韧性的演化规律提供新的实证证据。第三, 在政策建议与实践价值方面, 基于三大海洋经济圈的差异化特征和高韧性城市2的属性识别, 提出差异化区域发展策略和精细化政策组合, 为促进沿海地区海洋经济高质量发展提供有针对性的政策参考。
二、研究设计 (一) 海洋经济韧性指数指标体系构建借鉴既往研究, 从“过程韧性”的角度出发, 结合韧性理论的演化逻辑, 构建由抵抗与恢复能力、适应与调整能力和转型与创新能力组成的多维指标体系(表 1), 用于测度中国沿海城市海洋经济韧性。海洋经济韧性指标体系的三级维度划分, 严格遵循韧性理论从“工程韧性”到“生态韧性”, 再到“演化韧性”的演进逻辑。抵抗与恢复能力对应“工程韧性”范畴, 聚焦海洋经济系统遭受冲击后维持基础功能、快速复原至原有状态的短期弹性, 核心是“抗干扰—复原”的静态稳定性; 适应与调整能力对应“生态韧性”范畴, 强调海洋经济系统通过内部结构优化适应环境变化、达到新均衡状态的中长期动态调适, 核心是“结构重组—功能优化”的动态平衡; 转型与创新能力对应“演化韧性”范畴, 侧重海洋经济系统通过要素革新实现发展范式跃迁的高级形态, 核心是“创造性破坏—路径升级”的质变能力。
|
|
表 1 海洋经济韧性指标体系 |
①采用“海洋”一词占当年城市政府工作报告总词汇数的比重计算, 数据来源于CNRDS 数据库。
②利用IncoPat 全球专利数据库的关键词检索工具, 构建涵盖“海洋”等61 个关键词的检索矩阵, 通过Python 网络爬虫对专利摘要 和权利要求等非结构化文本进行识别和采集, 并根据专利日期与申请人的地理编码进行关联匹配, 得到覆盖38 个沿海城市的海洋专利 申请量面板数据集。
1、抵抗与恢复能力城市海洋经济的抵抗与恢复能力是指系统应对外部冲击时维持基础功能和快速复原的短期弹性, 主要从经济基础、资源保障和基础设施三个维度进行考察。在经济基础方面, 采用人均GDP这一指标进行衡量。[23]人均GDP通过量化区域经济规模与抗风险能力的正相关关系, 能够揭示城市应对外部干扰的综合实力。在资源保障方面, 采用人均海水产品养殖与捕捞产量衡量。[24]人均海水产品产量通过初级生产力指标反映海洋资源供给对海洋经济系统稳定性的基础支撑。在基础设施方面, 通过沿海主要港口生产用码头长度, 表征物质资本存量形成的冗余空间对内外部冲击的缓冲能力。这三个维度发挥经济抗压能力、资源持续供给和基础设施冗余储备的协同作用, 构筑起海洋经济系统应对内外部突发事件的短期防御体系。
2、适应与调整能力城市海洋经济的适应与调整能力能够反映系统通过内部结构优化实现中长期韧性升级的动态过程, 主要从物流效率、消费结构和空间承载等维度进行评估。物流效率采用沿海港口国际标准集装箱吞吐量指标进行评估, [25]反映全球供应链嵌入度支撑的市场响应灵敏度; 消费结构采用国内旅游人数指标进行评估, 揭示海洋旅游业需求弹性反映的生态经济协同演化能力; 空间承载能力则以万人海岸线长度量化区域开发潜力, 表征产业布局的空间支撑弹性。通过供应链敏捷度、需求适配度和空间扩展度这三个层面的动态调适, 推动海洋经济系统实现结构功能的渐进式优化升级。
3、转型与创新能力城市海洋经济的转型与创新能力是指通过要素革新实现发展范式跃迁的高级韧性形态, 主要从制度支撑、技术创新和人力资本等维度进行测度。在制度支撑方面, 可通过政府“海洋政策注意力”, 量化政府对海洋经济韧性建设的制度保障力度; 在技术创新方面, 以人均海洋专利申请量表征知识网络创新效率, 反映技术引领海洋经济范式变革的潜在动能; 在人力资本方面, 可借助教育支出占比指标, 测度知识密集型产业发展的智力储备水平。通过制度牵引力、技术驱动力和人才支撑力这三个层面的耦合作用, 驱动海洋经济系统完成“创造性破坏”的发展范式转换, 持续向更高级的稳态演进。
(二) 海洋经济韧性指标计算由于所构建的海洋经济韧性指标体系包含多个二级指标, 且各指标的原始数据存在量纲差异, 为消除量纲对综合评价结果的干扰, 需要先对所有指标进行标准化处理。本研究采用min -max归一化方法将原始数据转换至[0, 1]区间, 具体公式如下:
| $ \begin{equation*} x^{\prime}{ }_{i j}=\frac{x_{i j}-min \left(x_{j}\right)}{max \left(x_{j}\right)-min \left(x_{j}\right)} \end{equation*} $ | (1) |
其中,
在完成指标标准化后, 采用等权重法计算各维度及综合韧性指数。具体而言, 先对每个一级指标下的二级指标取算术平均值, 得到抵抗与恢复能力、适应与调整能力、转型与创新能力三个子系统指数; 再对这三个子系统指数取算术平均值, 最终得到城市层面的海洋经济韧性综合指数。选择等权重法的原因主要有三: 一是在现有研究尚未明确证明各指标对海洋经济韧性的影响存在显著权重差异的情况下, 等权重分配可避免因主观赋权导致的偏差, 确保评估过程的客观性; 二是该方法计算逻辑清晰, 结果易于理解和复现, 便于后续政策分析与实践应用; 三是等权重法能均衡反映各维度对韧性的贡献, 尤其适用于“抵抗—适应—转型”这种递进式过程韧性体系的综合评价, 避免某一维度被过度放大或忽视。
(三) 研究方法 1、Dagum基尼系数Dagum基尼系数是测度地区差异的分析方法, 可有效解决样本之间相互重叠的问题, 并识别地区差距来源。此系数将样本的整体差异
| $ \begin{equation*} G=\frac{\sum\nolimits_{j=1}^{k} \sum\nolimits_{h=1}^{k} \sum\nolimits_{i=1}^{n_{j}} \sum\nolimits_{j=1}^{n_{h}}\left|y_{j i}-y_{h r}\right|}{2 n^{2} \bar{y}}=G w+G n b+G t \end{equation*} $ | (2) |
其中,
核密度估计是一种非参数估计方法, 运用平滑的峰值函数来拟合数据以展示其分布特征, 根据曲线波峰的高度、宽度、数量和位置等方面揭示数据的整体形态分布和动态演进趋势。本研究采用核密度估计分析中国沿海城市及三大海洋经济圈海洋经济韧性的动态演进状况。假设
| $ \begin{equation*} f_{j}(x)=\frac{1}{n_{j} h} \sum\nolimits_{i=1}^{n_{j}} K\left(\frac{x_{j i}-\bar{x}_{j}}{h}\right) \end{equation*} $ | (3) |
其中,
对于收敛问题的研究主要源于新古典增长理论。该理论认为, 经济初始水平较低的国家或地区经济增长速度更快, 最终与发达地区趋同。[27]随着收敛模型在经济学领域的广泛应用, 其不仅应用于经济增长问题的研究, 也逐步被应用于韧性发展趋势相关问题的研究之中。[28][29]具体到中国海洋经济韧性, 使用收敛模型的主要目的是评估沿海各城市之间韧性水平的相对差距是否会随着时间推移逐步缩小, 从而判断落后城市是否具备追赶潜力。通过分析收敛性特征, 既可以辨析韧性演进过程中的区域协调或分化态势, 也为优化区域联动、完善政策支持提供科学支撑。本研究采用σ收敛和β收敛模型探究中国沿海城市及三大海洋经济圈海洋经济韧性的收敛性。
σ收敛是指各城市海洋经济韧性的相对差距随着时间变化而不断降低的趋势, 使用变异系数度量
| $ \begin{equation*} \sigma_{j}=\sqrt{\sum\nolimits_{i=1}^{n_{j}}\left(r m e_{j i}-r \bar{m} e_{j}\right)^{2} / n_{j}} / r \bar{m} e_{j} \end{equation*} $ | (4) |
其中,
β收敛指的是海洋经济韧性较低的城市由于具有较高的增长率, 从而逐渐缩小与海洋经济韧性较高城市之间的差距, 最终达到同一稳态水平。绝对β收敛指在不考虑对海洋经济韧性具有影响的一系列因素的条件下, 城市间海洋经济韧性具有收敛的趋势, 模型如下:
| $ \begin{equation*} ln \left(\frac{r m e_{i, t+1}}{r m e_{i, t}}\right)=\alpha+\beta ln \left(r m e_{i, t}\right)+\varphi_{i}+\pi_{t}+\mu_{i, t} \end{equation*} $ | (5) |
其中,
条件
| $ \begin{equation*} ln \left(\frac{r m e_{i, t+1}}{r m e_{i, t}}\right)=\alpha+\beta ln \left(r m e_{i, t}\right)+\gamma ln \boldsymbol{X}_{i, t+1}+\varphi_{i}+\pi_{t}+\mu_{i, t} \end{equation*} $ | (6) |
其中,
本研究选取以下控制变量: 金融水平(fin), 使用人均存贷款数额衡量; 收入水平(inc), 使用职工平均收入衡量; 电信水平(digit), 使用人均电信业务衡量; 外贸依存度(iae), 即进出口总额与GDP之比; 路网密度(road), 使用每百人道路面积衡量。
(五) 数据来源与描述性统计研究样本为中国38个沿海地级及以上城市, 研究区间为2006—2022年, 由于受数据可得性限制, 研究样本未涉及香港、澳门和台湾。此外, 沿海城市中的盘锦、葫芦岛、漳州、宁德、东营、潍坊、滨州、南通、东莞、潮州、揭阳、钦州、三亚、儋州、三沙数据缺失严重, 故未包含在研究城市范围之内。③数据来源为历年《中国海洋经济统计年鉴》《中国城市建设统计年鉴》《中国交通年鉴》《中国城市统计年鉴》、各省市统计年鉴、各城市统计公报、CNRDS数据库以及IncoPat全球专利数据库等。④对于缺失数据, 采用移动平均插值法补齐, 描述性统计见表 2。
|
|
表 2 变量的描述性统计 |
③将38 个沿海地级及以上城市按三大海洋经济圈划分, 北部海洋经济圈包括天津、唐山、秦皇岛、沧州、大连、丹东、锦州、营口、青岛、烟台、威海和日照; 东部海洋经济圈包括上海、连云港、盐城、宁波、温州、嘉兴、舟山和台州; 南部海洋经济圈包括福州、厦门、莆田、泉州、广州、深圳、珠海、汕头、江门、湛江、茂名、惠州、汕尾、阳江、中山、北海、防城港和海口。
④囿于《中国海洋经济统计年鉴》只公布省级层面数据, 本研究的市级层面数据整合了多个省市年鉴、公报和相关数据库数据。另外,2023 年的数据各地方公布进度不一、缺失比例较大, 因此将研究时间段定为2006—2022 年。
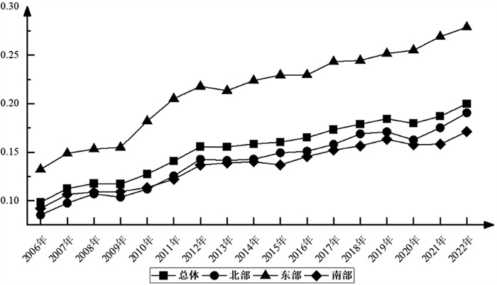
三、沿海城市海洋经济韧性的事实特征 (一) 沿海城市海洋经济韧性的变化情况由图 1可知, 2006—2022年沿海城市海洋经济韧性总体呈现上升趋势, 从2006年的0.098增长到2022年的0.200, 升幅约104.08%, 表明中国海洋经济韧性水平稳步提升。从三大海洋经济圈来看, 北部、东部、南部海洋经济圈升幅分别为124.71%、111.36%、85.87%。其中, 东部海洋经济圈凭借优越的地理位置、广阔的经济腹地、雄厚的产业基础、优越的科技创新能力、较完备的政策支持体系成为中国海洋经济最发达的地区, 海洋经济外向型程度高, 发展潜力巨大, 其海洋经济韧性始终高于其他区域, 显示出较强的抗风险能力。北部海洋经济圈海洋经济韧性水平增速最快, 可仍处于均值以下, 这是由于北部海洋经济圈海洋生态环境脆弱、海洋产业结构相对传统, 在相对低的起点下海洋经济韧性水平虽然有较高幅度增长, 但仍低于全国平均水平。南部海洋经济圈虽然拥有丰富的海洋生物资源、优良的海洋环境、强劲的海洋活力, 但是地区内发展不均衡问题较为突出, 因此其海洋经济韧性也处于均值以下。
|
图 1 中国沿海城市及三大海洋经济圈海洋经济韧性 |
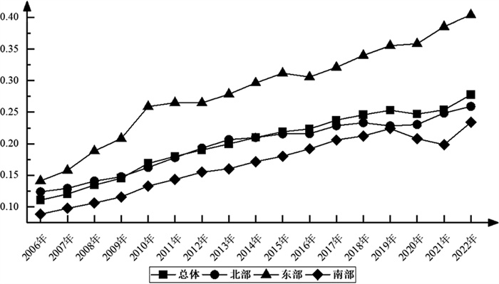
在抵抗与恢复能力方面(图 2), 全国在2006 —2022年呈现上升趋势, 升幅为150.45 %。从三大海洋经济圈来看, 北部、东部、南部海洋经济圈升幅分别为108.87%、186.52%、165.91%。东部海洋经济圈的抵抗与恢复能力始终高于其他两个区域, 并且增长最快。这得益于其扎实的海洋经济基础以及成熟的港口设施。相比之下, 北部海洋经济圈虽然在港口建设方面取得了一定成就, 但经济发展水平较低成为制约其抵抗与恢复能力提升的关键因素。南部海洋经济圈气候条件复杂多变, 频繁的台风和热带风暴对海洋经济活动造成较大影响, 港口运营和海洋运输面临较大挑战。区域内存在海洋资源开发过度的问题, 渔业资源和海洋生态环境承受较大压力, 导致资源枯竭和生态系统退化, 因此即便抵抗与恢复能力增速较快, 但仍具有较大追赶空间。
|
图 2 中国沿海城市及三大海洋经济圈海洋经济韧性—抵抗与恢复能力 |
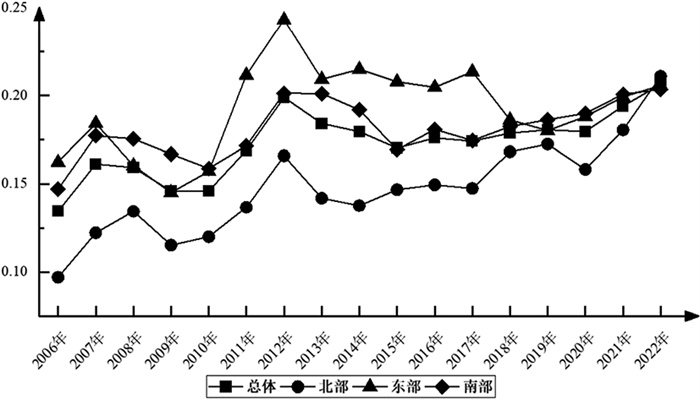
在适应与调整能力方面(图 3), 全国在2006—2022年呈现上升趋势, 升幅为132.00%。从三大海洋经济圈来看, 北部、东部、南部海洋经济圈升幅分别为191.43%、141.49%、85.37%。北部海洋经济圈是连接东北亚和环太平洋国家的重要通道, 天津、大连、青岛等重要港口城市为区域内外的贸易往来提供了便利条件。东部海洋经济圈拥有较完善的港口航运体系, 如宁波舟山港和上海港, 支撑了全球贸易的巨大流量。南部海洋经济圈拥有较成熟的对外贸易体系和丰富的国际合作经验, 为海洋经济参与全球竞争提供了有利条件, 但南部海洋经济圈沿海城市适应与调整能力参差不齐, 少数中心城市适应与调整能力强, 多数非中心城市适应与调整能力弱且增速慢, 拉低了该区域适应与调整能力整体增速。
|
图 3 中国沿海城市及三大海洋经济圈海洋经济韧性—适应与调整能力 |
在转型与创新能力方面(图 4), 全国在2006—2022年呈现波动上升趋势, 升幅约53.73%。从三大海洋经济圈来看, 北部、东部、南部海洋经济圈升幅分别为117.53%、27.16%、38.10%。2012年, 各区域的转型与创新能力达到一个高峰, 这与当时国家制定海洋强国战略, 各地政府重视海洋经济建设具有一定关联性。在此之后, 出现一定程度的波动和下降。这与区域经济发展模式、产业结构调整和创新资源配置等因素有关。2018年之后, 中国在海洋工程装备、海洋深潜技术、海洋探测等关键领域实现了一系列核心技术突破。随着海洋强国建设、“21世纪海上丝绸之路”建设取得阶段性成果, 中国沿海城市及三大海洋经济圈发展及创新能力开始出现回升。此外, 通过区域间的技术模仿和政策协同作用, 区域间的差距呈现逐步缩小趋势。
|
图 4 中国沿海城市及三大海洋经济圈海洋经济韧性—转型与创新能力 |
图 5展示了使用Dagum基尼系数测算中国沿海城市海洋经济韧性的总体区域差异来源及贡献度。2006—2022年沿海城市海洋经济韧性总体基尼系数呈波动上升趋势, 由0.210上升至0.285, 说明在研究期内中国沿海城市海洋经济韧性的差距进一步拉大, 特别是2012年之后总体基尼系数进入上升通道。一个可能的原因是, 2012年正式提出海洋强国战略后, 随着时间推移, 沿海直辖市和副省级城市凭借资源禀赋优势使海洋经济韧性水平迅速提升, 相较于非中心城市的领先趋势进一步扩大, 中国沿海城市海洋经济韧性的总体差异也随之进一步扩大, 其指数在研究期末达到0.285的高水平。
|
图 5 中国沿海城市海洋经济韧性总体区域差异来源及贡献度 |
将中国沿海城市海洋经济韧性的总体差异分解为区域内差异、区域间差异和超变密度, 可以发现在研究期内, 区域内差异贡献率相对稳定, 区域间差异贡献率波动下降, 超变密度贡献率波动上升。具体来看, 区域内差异贡献率在研究期内保持在26.85%—30.69%之间, 平均贡献率为29.01%, 波动幅度不大, 对总体差异的贡献程度基本保持在三成左右。这表明各个海洋经济圈内部经济发展基础、政策环境、资源禀赋相对同质, 区域内海洋经济韧性提升速度比较均衡, 使城市间分化幅度与总体差异的增长幅度基本趋同。区域间差异贡献率由2006年的39.42%下降至2019年的29.92%, 2022年虽然回弹至34.28%, 但与期初水平相比仍然明显降低。结合三大海洋经济圈区域间差距上升的事实(表 3), 可以发现区域间差距虽然上升, 但对总体差异上升的贡献率下降。相比而言, 超变密度贡献率由2006年的30.64%上升至2022年的36.16%, 意味着区域间交错分布、重叠现象加强, 韧性低的区域出现了个别韧性高的城市, 而韧性高的区域也有可能存在大量韧性提升缓慢的城市, 不同区域间高低韧性城市的界限变得模糊。综合来看, 随着区域间差异贡献率的下降和超变密度贡献率的上升, 沿海城市海洋经济韧性已经由以“分板块”为主的格局, 转变为“多点开花、交错分布”的发展态势。
|
|
表 3 中国沿海城市海洋经济韧性的区域差异及分析 |
图 6展示了使用Dagum基尼系数测算2006—2022年中国沿海城市海洋经济韧性的总体区域差异及三大海洋经济圈的区域内差异结果。三大海洋经济圈海洋经济韧性水平区域内差异由大到小依次为北部海洋经济圈、东部海洋经济圈、南部海洋经济圈, 均值分别为0.311、0.207和0.170。具体而言, 北部海洋经济圈区域内差异虽然持续高于其他区域, 但是其升幅最小, 为3.54%。而东部海洋经济圈和南部海洋经济圈区域内差异升幅分别为85.03%和26.58%。北部海洋经济圈内沿海城市海洋经济发展水平参差不齐, 资源和产业分布不均, 区域内发展不平衡的现象较为明显。东部海洋经济圈区域内差异迅速扩大, 主要原因是以上海、宁波等为代表的海洋经济强市的海洋经济韧性水平在研究期内得到了大幅度提升。其中, 上海的海洋经济韧性水平在38个沿海城市中始终位列第一。相对于中心城市的迅速进步, 更多的非中心城市海洋经济韧性增长缓慢, 抗风险能力不足。南部海洋经济圈与东部海洋经济圈呈现出类似的特征, 厦门、广州、深圳等中心城市成为海洋经济韧性增长的领头羊, 而粤西、广西等地区的城市受资源禀赋、区位条件所限, 海洋经济韧性不强、增长乏力的问题依然十分突出, 导致其与区域内海洋经济韧性高水平城市之间的差距有所拉大。
|
图 6 中国沿海城市海洋经济韧性的总体区域差异及区域内差异 |
图 7展示了使用Dagum基尼系数测算2006—2022年中国三大海洋经济圈海洋经济韧性的区域间差异。北部—东部海洋经济圈和北部—南部海洋经济圈区域间差异较大且差异系数接近。具体而言, 东部海洋经济圈中的上海、宁波, 南部海洋经济圈中的厦门、广州和深圳, 海洋经济韧性均处于高水平, 与东、南部海洋经济圈相比, 虽然北部海洋经济圈中的青岛和天津的海洋经济韧性处于较高水平, 但是大多数沿海城市内需市场潜力均未充分开发, 海洋高新技术产业和研发投入不足, 高素质人才外流, 导致海洋经济韧性水平较低, 因此海洋经济韧性水平差距大。[16]东部—南部海洋经济圈区域间差异相对较小, 但是在样本期间差异基尼系数增幅最大, 约为59.12%, 而北部—东部海洋经济圈和北部—南部海洋经济圈区域间差异基尼系数升幅分别为30.15%和17.53%。主要原因是东部海洋经济圈海洋经济韧性水平增速高于南部海洋经济圈, 东部海洋经济圈的领先优势进一步扩大, 导致东部—南部海洋经济圈区域间差异逐渐拉大。
|
图 7 中国沿海城市海洋经济韧性的区域间差异 |
为呈现海洋经济韧性绝对差异变化的时变演进过程, 本研究采用Matlab绘制了2006—2022年中国沿海城市及三大海洋经济圈海洋经济韧性水平的核密度分布图, 具体见图 8。
|
图 8 中国沿海城市海洋经济韧性的动态演变 |
从分布位置来看, 中国沿海城市及三大海洋经济圈海洋经济韧性的核密度曲线均出现不同程度的左移。这意味着随着时间的推移, 沿海城市的海洋经济韧性稳步提升。党的十八大以来, 随着海洋强国建设、“一带一路”倡议的稳步推进, 中国沿海地区的海洋经济韧性全面向好, 整体抗风险、抗冲击能力显著提高。
从分布形态来看, 中国沿海城市及三大海洋经济圈海洋经济韧性的核密度曲线均表现为主峰峰值下降且宽度变宽, 这意味着沿海城市海洋经济韧性的离散程度呈现上升趋势, 地区差异在逐渐扩大。具体来看, 北部海洋经济圈峰值下降最大, 说明区域内多数城市海洋经济韧性均有一定程度的增长, 但从分布位置来看, 低水平问题仍然比较突出。与北部海洋经济圈相比, 东部、南部海洋经济圈核密度曲线峰值在初始阶段相对较低, 在研究期末与北部海洋经济圈基本持平, 说明这两大经济圈内城市的海洋经济韧性的分布也出现了一定程度的离散趋势。
从分布延展性来看, 中国沿海城市及三大海洋经济圈海洋经济韧性的核密度曲线均存在显著的左拖尾和延展拓宽现象, 这说明区域内部分城市的海洋经济韧性水平显著高于同一区域的其他城市, 并且极值与均值之间的差距扩大。海洋经济韧性高水平城市凭借自身有利条件, 增强海洋经济发展的稳定性, 持续提高海洋经济发展质量, 进一步提升海洋经济抗风险能力, 与区域内其他城市产生明显的梯度差异。
从极化情况来看, 北部、南部海洋经济圈呈现单峰分布, 而东部海洋经济圈呈现双峰分布, 且主峰和侧峰之间的距离较大, 两极分化特征明显。这种双峰分布形态的出现, 虽然说明上海、宁波等中心城市的海洋经济韧性在研究期内出现了迅速增长, 但也说明东部海洋经济圈在发展过程中需要更加注重区域协调与平衡, 避免两极分化进一步加剧, 从而实现全经济圈海洋经济的可持续发展和海洋经济韧性的提升。
六、沿海城市海洋经济韧性收敛性研究 (一) σ收敛分析表 4展示了中国沿海城市及三大海洋经济圈海洋经济韧性的σ收敛结果。从发展趋势来看, 中国沿海城市海洋经济韧性的变异系数呈现先下降后波动上升的趋势, 最低点出现在2008年, 不存在σ收敛。其主要原因在于随着海洋强国建设、“一带一路”倡议的稳步推进, 海洋资本雄厚、海洋产业健全和海洋基础设施完备的中心城市取得了先发优势, 逐步深度融入全球海洋产业链、价值链, 海洋经济的抗风险能力得到有效提升, 与非中心城市的差距进一步拉大。从各个区域来看, 北部海洋经济圈和南部海洋经济圈与全国情况类似, 不存在σ收敛, 东部海洋经济圈变异系数呈现波动下降趋势, 存在σ收敛。值得注意的是, 虽然东部海洋经济圈存在σ收敛, 但其变异系数在三大海洋经济圈中仍然最高, 证明其相对差距最大。
|
|
表 4 中国沿海城市及三大海洋经济圈海洋经济韧性σ收敛检验 |
如表 5所示, 北部海洋经济圈不存在绝对β收敛, 全国及东部、南部海洋经济圈海洋经济韧性的收敛系数β均在1%的置信水平下显著, 存在绝对β收敛现象。也就是说, 中国沿海城市及东部、南部海洋经济圈的海洋经济韧性均稳步提升, 并会收敛于各自的稳态水平。北部海洋经济圈不存在绝对收敛, 说明经济圈内提升海洋经济韧性的自驱能力弱, 需要外部干预才有可能促使经济圈内经济韧性低的城市追赶上经济韧性高的城市。需要注意的是, 绝对β收敛检验未考虑经济发展水平等地区差异因素的影响, 忽略这些因素可能导致估计结果出现偏差, 因此需要对中国沿海城市及三大海洋经济圈的条件β收敛特征进行检验, 以确保结论的稳健性。
|
|
表 5 中国沿海城市及三大海洋经济圈海洋经济韧性绝对β收敛检验 |
如表 6所示, 在加入控制变量后, 中国沿海城市及三大海洋经济圈海洋经济韧性的收敛系数β均在5%的置信水平下显著, 表明海洋经济韧性在全国和区域层面上存在条件β收敛现象。换言之, 在考虑了金融水平、收入水平、电信水平、外贸依存度和路网密度等地区异质性因素后, 各地区的海洋经济韧性水平收敛。相较于绝对β收敛, 在考虑加入控制变量后, 北部海洋经济圈由不收敛变为收敛, 说明控制变量的干预可以促进该经济圈韧性低的城市追赶韧性高的城市。从收敛速度看, 中国沿海城市及三大海洋经济圈的收敛速度分别为0.009、0.006、0.015、0.013, 与绝对β收敛相比, 在考虑相关异质性因素后, 所有地区条件β收敛的速度有所加快。同时,
|
|
表 6 中国沿海城市及三大海洋经济圈海洋经济韧性条件β收敛检验 |
本研究通过构建综合评价指标体系测度中国沿海城市海洋经济韧性水平, 在此基础上运用Dagum基尼系数、核密度估计和收敛模型对中国38个沿海城市及三大海洋经济圈海洋经济韧性的区域差异、动态演进及收敛性开展研究, 得到以下结论。
第一, 从整体特征来看, 2006—2022年中国沿海城市海洋经济韧性呈现出上升趋势。三大海洋经济圈海洋经济韧性呈现“东部 > 北部 > 南部”的分布特征。抵抗与恢复能力、适应与调整能力上升趋势显著, 转型与创新能力波动幅度较大, 上升趋势在三个子系统中最为平缓。
第二, 从区域差异来看, 沿海城市海洋经济韧性水平差异日益显著, 超变密度成为沿海城市海洋经济韧性总体差异的主要来源。北部海洋经济圈区域内差异较大, 但样本期间升幅最小。北部—东部海洋经济圈和北部—南部海洋经济圈区域间差异较大; 东部—南部海洋经济圈区域间差异相对较小, 但是在样本期间差异幅度增加最大。
第三, 从动态演进来看, 中国沿海城市及三大海洋经济圈海洋经济韧性稳步提升, 但地区差异在逐渐扩大, 区域内存在部分城市的海洋经济韧性水平显著高于同一区域的其他城市, 且极值与均值之间的差距增大, 其中东部海洋经济圈出现两极分化特征。
第四, 从收敛特征来看, 全国、北部海洋经济圈和南部海洋经济圈不存在σ收敛, 东部海洋经济圈存在σ收敛。中国沿海城市及东部、南部海洋经济圈均存在显著的绝对β收敛和条件β收敛, 北部海洋经济圈仅存在条件β收敛。在控制变量方面, 金融水平对全国及东部、南部海洋经济圈海洋经济韧性水平提升起到显著正向影响, 收入水平和电信水平分别对北部和东部海洋经济圈海洋经济韧性水平提升表现出显著的正向影响。
综合区域差异、动态演进及收敛性分析, 具有较高海洋经济韧性的沿海城市通常具备以下关键属性: 转型与创新能力强, 创新要素存在一定扩散效应, 能够在一定程度上带动周边地区发展; 基础设施与开放协同基础雄厚, 高抵抗与恢复能力、适应与调整能力是重要支撑, 在应对外部冲击时缓冲能力更强且恢复效率更高; 注重区域协同与均衡发展, 所处区域内海洋经济韧性差异较小、发展相对均衡, 韧性提升更具整体性和稳定性。
(二) 政策建议第一, 以科技创新和产业升级双轮驱动海洋经济高质量发展。一方面, 针对中国沿海城市及三大海洋经济圈转型与创新能力波动较大且能力较弱的现实情况, 必须把海洋科技创新摆在首要位置, 通过优化重大海洋科研技术设施布局、建立“高校—科研院所—企业”构成的海洋科技协同创新联盟、设立海洋科研专项风险投资基金、打造海洋科技产学研用一体化创新体系, 力争在海洋科技的“卡脖子”环节实现原创性的重大突破, 提升中国沿海城市海洋经济的转型与创新能力。另一方面, 要加快海洋产业结构的调整步伐, 支持海洋装备制造、海洋药物与生物制品、海洋新能源、海水淡化等海洋战略性新兴产业蓬勃发展, 推动传统海洋产业转型升级, 例如促进传统渔业从资源过度开发型向资源节约型和生态保护型转变、港口航运业向智慧港口建设方向发展, 加快形成海洋新质生产力, 提高海洋经济整体抗风险能力。
第二, 以“政策—产业—基础设施”三大协同缩小区域间海洋经济韧性差距, 促进海洋经济均衡发展。首先, 在政策协同方面, 需要统筹三大海洋经济圈发展规划与资源配置, 构建三大海洋经济圈协同发展平台, 实施差异化监管和扶持政策, 加大对南部和北部海洋经济圈的政策倾斜与资金支持力度, 促进区域间在海洋产业、海洋科技、海洋生态保护等方面的资源共享、优势互补、协同创新。其次, 在产业协同方面, 基于各区域资源禀赋和比较优势, 构建区域间相互协作的产业互补与分工体系, 促进海洋产业链上下游跨区域布局, 特别要注意发挥东部海洋经济圈海洋产业的先发优势和带动作用, 推动海洋产业在区域间的合理布局和有序转移, 着力打造具有全球竞争力的现代海洋产业体系。最后, 强化区域间海洋基础设施互联互通建设, 完善沿海港口、航道等基础设施网络, 提升海洋物流效率, 促进生产要素自由流动, 为缩小区域间海洋经济韧性差异提供基础支撑。
第三, 因地制宜, 实施差异化发展策略。一方面, 北部海洋经济圈要发挥工业基础优势, 提高海洋资源利用效率, 特别需要在政府引导下加快推动传统海洋产业的转型升级, 进而提升海洋经济韧性。东部海洋经济圈要发挥数字基础设施和数字经济的集聚优势, 推动数字经济与海洋经济相结合, 不断创新海洋经济新业态、新模式。南部海洋经济圈要抓住海南自由贸易港建设机遇, 培育壮大附加值高、成长性优的海洋新兴产业, 打造海洋经济增长新引擎; 发挥地缘优势, 在深化中国—东盟蓝色经济伙伴关系中发挥主导作用, 为构建海洋命运共同体创造条件。[30]另一方面, 以天津、青岛、上海、宁波、厦门、广州、深圳等为重点打造海洋经济韧性发展核心城市, 集中资源强化海洋科技原始创新能力和新兴产业孵化功能, 探索发展特色海洋金融, 加快融入全球海洋经济体系, 提升在全球海洋产业链中的地位; 以核心城市带动引领提升非中心城市竞争力, 建立“核心—腹地”联动机制, 推动韧性均衡网络建设, 形成优势互补、风险共担的海洋经济韧性城市网络。
| [1] |
袁红英. 发展海洋经济推进建设海洋强国的理论脉络与实践路径[J]. 习近平经济思想研究, 2024, (1): 51-57. ( 0) |
| [2] |
赵宇, 叶仕奇, 杨翠红, 等. 大数据视角下产业链韧性的测度、关联与归因[J]. 中国工业经济, 2025, (2): 61-79. ( 0) |
| [3] |
贺灿飞, 盛涵天. 区域经济韧性: 研究综述与展望[J]. 人文地理, 2023, 38(1): 1-10. ( 0) |
| [4] |
Pendall R, Foster K A, Cowell M. Resilience and regions: building understanding of the metaphor[J]. Cambridge Journal of Regions, Economy and Society, 2010, 3(1): 71-84. DOI:10.1093/cjres/rsp028
( 0) |
| [5] |
张跃胜, 邓帅艳, 张寅雪. 城市经济韧性研究: 理论进展与未来方向[J]. 管理学刊, 2022, 35(2): 54-67. ( 0) |
| [6] |
张卓群, 姚鸣奇, 郑艳. 气候适应型城市建设试点政策对城市韧性的影响[J]. 中国人口· 资源与环境, 2024, 34(4): 1-12. ( 0) |
| [7] |
徐浩, 朱小梅. 金融韧性问题研究进展[J]. 经济学动态, 2023, (11): 108-124. ( 0) |
| [8] |
张卓群, 姚鸣奇, 张晓慧. 水生态文明城市建设试点对水生态韧性的影响研究[J]. 城市问题, 2023, (10): 45-53. ( 0) |
| [9] |
杨保清, 李贵才, 刘青. 基于DPSRC模型的国际社区社会韧性评价分析———以广州小北16个国际社区为例[J]. 地域研究与开发, 2020, 39(5): 70-75. ( 0) |
| [10] |
李亚, 翟国方, 顾福妹. 城市基础设施韧性的定量评估方法研究综述[J]. 城市发展研究, 2016, 23(6): 113-122. ( 0) |
| [11] |
Reggiani A, Graaff D T, Nijkamp P. Resilience: an evolutionary approach to spatial economic systems[J]. Networks and Spatial Economics, 2002, 2(2): 211-229. DOI:10.1023/A:1015377515690
( 0) |
| [12] |
徐圆, 张林玲. 中国城市的经济韧性及由来: 产业结构多样化视角[J]. 财贸经济, 2019, 40(7): 110-126. ( 0) |
| [13] |
魏敏, 魏海湘. 经济韧性测度及其对旅游经济的影响研究[J]. 中国海洋大学学报(社会科学版), 2023, (2): 61-73. DOI:10.16497/j.cnki.1672-335X.202302007 ( 0) |
| [14] |
孙才志, 曹强, 邹玮. 基于熵效率模型的环渤海地区海洋经济系统韧性研究[J]. 宁波大学学报(理工版), 2020, 33(1): 10-18. ( 0) |
| [15] |
赵良仕, 胡润, 孙才志. 中国海洋经济韧性与海洋经济效率协调关系研究[J]. 海洋经济, 2021, 11(1): 90-99. ( 0) |
| [16] |
余璇, 蒋伟杰, 胡求光, 等. 海岸带经济韧性评估及其对涉海企业TFP的影响研究[J]. 海洋通报, 2024, 43(4): 557-568. ( 0) |
| [17] |
宋磊, 赵明睿, 唐云清. 中国沿海地区海洋经济韧性时空分异及影响因素分析[J]. 辽宁师范大学学报(自然科学版), 2022, 45(3): 377-387. ( 0) |
| [18] |
姜慧慧, 温艳萍. 我国海洋经济韧性的时空演变特征及障碍诊断[J]. 中国渔业经济, 2022, 40(5): 79-88. ( 0) |
| [19] |
汪永生, 刘嘉玥, 王文涛. 沿海地区海洋经济韧性的发展演化及驱动因素[J]. 技术经济与管理研究, 2024, (11): 153-158. ( 0) |
| [20] |
李靖远, 于文成. 数字金融发展对沿海地区海洋经济韧性的影响研究[J]. 海洋开发与管理, 2023, 40(10): 54-62. ( 0) |
| [21] |
刘桂春, 陈可欣. 中国海洋创新能力对海洋经济韧性的影响及其时空差异[J]. 资源开发与市场, 2023, 39(9): 1135-1143. ( 0) |
| [22] |
张卓群, 冯潇, 孙念新. 创新发展政策对沿海城市海洋经济韧性的影响研究——来自海洋经济创新发展示范城市的证据[J]. 城市问题, 2024, (10): 27-36. ( 0) |
| [23] |
朱金鹤, 孙红雪. 数字经济是否提升了城市经济韧性?[J]. 现代经济探讨, 2021, (10): 1-13. ( 0) |
| [24] |
赖瑛, 陈培雄, 杨洋. 新发展理念视角下浙江省海洋经济发展指数的体系构建与测算[J]. 调研世界, 2025, (3): 87-96. ( 0) |
| [25] |
倪冉, 关洪军. 海洋生态安全与海洋经济高质量发展协同演化及交互响应[J]. 统计与决策, 2023, 39(21): 127-131. ( 0) |
| [26] |
叶芳, 王国栋, 石媛媛, 等. 中国海洋新质生产力水平测度、区域差异及收敛性研究[J]. 海洋通报, 2024, (5): 639-651. ( 0) |
| [27] |
张卓群, 张涛, 冯冬发. 中国碳排放强度的区域差异、动态演进及收敛性研究[J]. 数量经济技术经济研究, 2022, 39(4): 67-87. ( 0) |
| [28] |
赵领娣, 孙兆旭. 海岸带城市经济发展质量与生态韧性协同发展演化及空间收敛特征[J]. 经济地理, 2023, 43(7): 119-129. ( 0) |
| [29] |
吕娟, 吕雁琴, 范天正, 等. 中国旅游经济韧性的动态演进及收敛性研究[J]. 旅游科学, 2025, 39(2): 42-62. ( 0) |
| [30] |
张卓群, 姚倩儿. 我国海洋经济发展态势及"十五五"时期高质量发展对策研究[J]. 环境保护, 2025, 53(9): 19-24. ( 0) |
2025

0)