2. 中国石油大学 (北京), 北京 102249;
3. 中国石油大港油田公司, 天津 300280
2. China University of Petroleum(Beijing), Beijing 102249, China;
3. PetroChina Dagang Oilfield Company, Tianjin 300280, China
常规油气资源的逐渐枯竭和日趋严重的国家能源战略安全迫使人们寻找油气资源的视角发生了转变,“源内油气”已成为全球勘探开发的重点领域[1-3]。源内页岩油作为非常规油气的重要组成部分,其资源量远超过源外常规石油,将会是中国油气增储上产的重要接替领域[4-6]。“十三五”期间我国相继在鄂尔多斯盆地、渤海湾盆地、松辽盆地、准噶尔盆地等区域发现数个超10亿吨级的页岩油田[7-9]。与北美地区海相页岩油相比,我国页岩油主要产自陆相页岩。受储层沉积特征与成岩环境影响,陆相页岩油储层黏土矿物含量更高、原油黏度更大、非均质性更强、岩相类型更复杂,因此不能照搬北美页岩油开发经验[10-11]。
相比于常规油气储层,页岩储集层广泛发育微—纳米级孔喉,原油以游离态、吸附态和溶解态3种形式赋存于页岩储层中[12-13]。目前以韵律结构为基础的页岩层系岩相划分方案广泛应用在渤海湾盆地、松辽盆地及准噶尔盆地,页岩岩相成为陆相页岩油“甜点”划分的标准。不同岩相其含油性、地化指标、可压性及孔渗特征等因素导致其开发特征与渗流规律存在明显差异[14-16],为此研究人员采用场发射扫描电镜、微纳米CT、高压压汞、低温气体吸附、小角中子散射等基于静态孔渗表征的实验技术对不同岩相页岩油储集空间、孔渗结构开展研究[17-19]。采用驱替设备开展页岩油储层渗流特征研究,发现陆相页岩油具有渗流特征复杂、存在启动压力梯度、微米级孔喉及水平缝控制渗流通道等特点[20-21]。同时对页岩油渗流规律的认识,不仅影响“甜点”评价,也影响到后期开发阶段油藏波及范围的估算、开采工艺选择及经济性评价等方面[22]。因此,为了深入认识及再现页岩油流动这一动态过程,选用渤海湾盆地歧口凹陷纹层状、层状页岩及块状泥岩样品,采用核磁共振高温高压在线驱替系统开展页岩油流动能力测试实验,探讨不同岩相页岩油流动能力与渗流规律,以期为页岩油储层评价和产量预测提供技术支撑。
1 地质概况歧口凹陷位于中国东部渤海湾盆地腹部,勘探面积近6 000 km2,是渤海湾盆地内最大的富油气凹陷之一[23-24],四周为沧县隆起、埕宁隆起、沙垒田凸起,西侧受到沧东断裂的控制并与沧县隆起相接,西南孔店凸起与沧东凹陷相连且向南超覆于埕宁隆起之上,东侧为沙垒田凸起,北侧以汉沽断层为界与燕山山脉分割[25]。歧口凹陷是由1个主凹及4个次凹组成的北断南超、半地堑式结构的箕状断陷盆地,是渐新世以来长期发育的沉积凹陷,歧口凹陷新生界最大沉积厚度可达11 km[26]。歧口凹陷页岩油勘探主要集中于古近系地层内,目前位于歧口凹陷西南缘的歧北次凹页岩油勘探成果显著,页岩油资源量可达6.5×108 t[27]。该次凹南北夹持于滨海断层及南大港断层之间,勘探面积为750 km2[28](图 1)。歧北次凹受燕山运动影响,中生代末期南大港断层及港西断层已经开始活动;沙三段沉积时期,受北西—南东向伸展作用,发生了大规模强烈断陷活动,次凹的周缘形成了北大港潜山、南大港潜山和羊三木凸起等多个正向构造,受到正向构造及同沉积断层的影响,歧北斜坡—歧北次凹形成了多级沉积坡折带,凹陷内部较少发育次级断裂和褶皱。在此背景下,位于沙三段上部的沙三段一亚段(Es31)发育一套厚层暗色泥页岩夹致密薄层粉砂岩及白云岩的细粒沉积岩,在整个歧口凹陷分布面积超过5 000 km2,是当前页岩油研究与勘探的重点层段也是页岩油勘探的主力层系[29]。
|
下载原图 图 1 渤海湾盆地歧口凹陷区域地质构造纲要(a)、岩性地层综合柱状图(b)及歧北次凹典型地震剖面(c)(据文献[28]修改) Fig. 1 Regional geological overview of Qikou Sag(a), stratigraphic column(b) and typical seismic section of Qibei subsag(c) in Bohai Bay Basin |
本次研究以歧北次凹页岩油全取芯井房39X1井为重点,目的层为沙三段一亚段,地层厚度为200~ 350 m,取心段总体长度为60 m,岩性以较细的黑色页岩、黑色—深灰色块状泥岩为主,夹薄层的灰色白云岩、深灰色—灰色粉砂岩,为半深湖—深湖沉积环境。
2 沙三段一亚段页岩岩相及微观特征 2.1 主要岩相类型深湖—半深湖相沉积的泥页岩看似单一,均为暗色细粒沉积物,实际上不同岩性之间存在着较大的差异。渤海湾盆地沙河街组页岩主要发育纹层状页岩、层状页岩、块状泥岩、块状碳酸盐岩、粉砂岩等5种岩相[30-31],不同类型岩相的孔渗特征及储集空间差异较大[32]。沙三段作为半咸化水体发育环境,多数学者在进行岩相划分时主要基于岩石组分、沉积构造、有机质丰度和碳酸盐岩结构等因素综合对咸水环境中发育的泥页岩进行岩相划分[33-34]。本次研究划分岩相过程中,主要考虑两大因素,一是沉积构造,以层理厚度1 cm为界划分为纹层状(厚度小于1 cm)、层状(厚度大于等于1 cm)和块状(纹层及层理不发育)[35],岩性以质量分数25%,50% 和75%为界划分为粉砂岩、泥(页)岩、泥质灰(云)岩、灰(云)岩[36]。通过对房39X1井岩心照片和薄片鉴定资料进行比对,发现沙三一亚段泥页岩层理构造类型丰富,岩心观察和薄片均可识别水平层理或纹层,其中纹层构造最为发育,可识别出长英质纹层、黏土质纹层及有机质纹层等多种类型。同时岩石矿物类型多样、含量差别较大,岩性上主要属于碳酸盐岩、黏土岩及粉砂岩三大类。因此,首先借鉴考虑构造和岩性矿物信息的分类方案,将研究区沙三段一亚段湖相泥页岩岩相详细划分出了五大类,各岩相差异见表 1所列。
|
|
下载CSV 表 1 渤海湾盆地歧口凹陷古近系沙三段页岩主要岩相类型 Table 1 Main lithofacies types of Es3 shale in Qikou Sag, Bohai Bay Basin |
本次研究选取了歧口凹陷沙三段一亚段3种页岩岩相样品开展驱替实验,评价不同页岩岩相的渗流能力。纹层状页岩的岩心柱塞横切面可见明显的深灰—浅灰色长英质纹层与暗色的黏土-有机质纹层交互,以平直状近水平纹层为主。受水动力影响,见波状长英质纹层,薄片显示纹层状页岩富有机质层与贫有机质层呈互层分布,纹层厚度小于1 cm,纹层普遍以水平状为主,偶见透镜状形态,与岩心观察到的现象一致。贫有机质纹层中石英长石含量较高,镜下分别呈亮色及暗黄色,根据薄片统计,该段纹层状页岩岩相纹层密度可达500条/dm。层状页岩与纹层状页岩的显著不同在于其单层层理厚度大于1 cm,岩心柱塞横切面上可见清晰的层理结构,以水平层理为主,层理颜色差异较大,薄片显示层理内部矿物颗粒排列呈一定韵律性,该段层状页岩岩相层理密度为6条/dm。块状泥岩整体较为均质,未见明显的层理构造,薄片可见有机质呈分散状分布,与其他2种岩相明显不同(图 2)。
|
下载原图 图 2 渤海湾盆地歧口凹陷房39X1井古近系沙三段不同岩相页岩岩心和薄片照片 (a)纹层状页岩岩心柱塞横截面,3 994.01 m;(b)层状页岩岩心柱塞横截面,3 895.22 m;(c)块状泥岩岩心柱塞横截面,4 385.60 m;(d)纹层状页岩,3 994.01 m,单偏光;(e)层状页岩,3 895.22 m,单偏光;(f)块状泥岩,4 385.60 m,单偏光。 Fig. 2 Images of cross section and thin section of shales with different lithofacies of Es3 of well Fang 39X1 in Qikou Sag, Bohai Bay Basin |
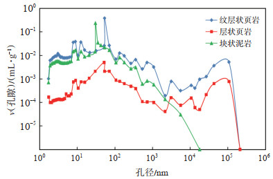
页岩储层非均质性强,孔隙结构复杂,为准确表征页岩储层孔隙结构特征需将孔隙进行分类分析。本次研究基于高压压汞和低温液氮吸附测试获取不同岩相页岩油岩心全尺度孔径分布曲线(图 3)。由于页岩油储层的物性与页岩气储层具有较大差异,因此传统IUPAC的孔隙分类并不适用于陆相页岩油储集层。根据以往的研究,我国主要盆地陆相页岩储层平均孔径主要为10~25 nm[37],由于油膜的存在,页岩油主要赋存于孔径为2~25 nm的孔隙内[38]。综合考虑以上因素,本次研究将页岩油储集层的微观孔隙分为微孔(小于25 nm)、小孔(25~ 100 nm)、中孔(100~1 000 nm)、大孔(大于1 000 nm)。
|
下载原图 图 3 渤海湾盆地歧口凹陷房39X1井古近系沙三段不同岩相页岩储层全尺度孔径分布 Fig. 3 Full-scale pore size distribution of shale reservoirs with different lithofacies of Es3 of well Fang 39X1 in Qikou Sag, Bohai Bay Basin |
研究区纹层状和层状页岩孔隙分布较为一致,孔径为25~100 nm的小孔最为发育,但是同时也发育一定的微孔、中孔与大孔。纹层状页岩相较于层状页岩全尺度孔隙均更发育,总体上纹层状页岩孔容为层状页岩孔容的1.21倍,因此纹层状页岩将具有更大的页岩油储存空间与流动通道。块状泥岩中孔径为1~1 000 nm的孔隙分布与纹层状页岩基本保持一致,孔径为25~100 nm的小孔最为发育,微孔与大孔也在一定程度上发育。块状泥岩中不发育孔径大于1 μm的大孔,这表示块状泥岩相较于纹层状页岩和层状页岩更加致密,基本不发育作为主要渗流通道的微米尺度的微裂缝。
对比分析可知,块状泥岩的孔隙直径主要为0.01~1.00 μm,渗透率主要由纳米级孔隙贡献;纹层状页岩和层状泥页岩发育大量纳米级孔隙,但同时具有较多的微米级孔隙空间,还发育能有效沟通储层的微米级微裂缝。
3 页岩油渗流能力模拟实验通过渤海湾盆地歧口凹陷页岩油储层岩相划分,选取了纹层状、层状页岩以及块状泥岩样品(表 2),基于核磁共振在线技术分别开展页岩油渗流能力模拟实验,分析不同储层结构特征对渗流能力的影响。
|
|
下载CSV 表 2 渤海湾盆地歧口凹陷古近系沙三段不同岩相页岩岩心基础物性参数 Table 2 Basic physical properties of cores with different lithofacies of Es3 in Qikou Sag, Bohai Bay Basin |
核磁共振测试技术(NMR)作为一种非破坏性的分析方法,可在不损坏样品岩石物理特性的情况下获取流体在储层多孔介质中的分布信息。在线核磁技术结合驱替实验,可实时获取岩心内流体的动态分布信息,有效避免因岩心取出造成的流体损失、流体重新分布和岩心测试应力改变而引起的实验误差等。采用的核磁共振在线检测系统主要包括核磁共振检测单元、注入单元、开发模拟单元和出口辅助单元。核磁检测单元由核磁共振岩样分析仪和数据分析系统组成,注入单元由高精度恒压恒速泵、中间容器和管路组成;开发模拟单元由岩心夹持器和压力传感器组成;出口辅助单元由高精度天平和回压系统组成(图 4)。该实验在河北廊坊中国石油勘探开发研究院渗流力学重点实验室完成。
|
下载原图 图 4 在线核磁驱替实验装置连接示意图 Fig. 4 Connection diagram of online nuclear magnetic displacement experimental device |
为了更加真实准确地模拟不同岩相页岩油渗流能力,针对页岩黏土含量高、遇水易膨胀易破碎的难题,采用亚毫米级无水线切割设备制备不同岩相的页岩岩心,采用距离房39X1井2 km处的房38X1井沙三段一亚段储层原油,黏度为3.3 mPa·s,分别在不同驱替压力条件下开展渗流模拟实验。
3.1.3 实验步骤① 对所取岩心进行洗油、烘干,采用气体脉冲孔渗联测仪对岩心进行渗透率测定。②加围压至15 MPa饱和地层原油,分别在15 h和20 h后测核磁T2图谱,当核磁T2图谱无明显变化时,饱和完成(图 5);利用岩心湿重与干重差计算孔隙度(油测孔隙度)。③将岩样放入夹持器,按照驱替压力由低到高进行多个不同流速下的驱替实验,为保证实验数据的可靠性,每组流量和压力至少稳定在5 h以上。④记录每个驱替压力下的稳定流速,并在每个驱替压力稳定之后开展核磁测试。⑤对实验数据进行分析,绘制流态曲线,计算拟启动压力梯度。
|
下载原图 图 5 渤海湾盆地歧口凹陷古近系沙三段页岩岩样饱和油核磁共振曲线 Fig. 5 NMR curves of rock samples saturated with oil of Es3 in Qikou Sag, Bohai Bay Basin |
启动压力梯度是指非润湿相流体在岩心中开始流动时所需最小压差,它反映了流体在储层中从静止状态到流动状态的突变和时间滞后现象。对于页岩油储层,启动压力梯度的存在降低了油井的单井控制储量,降低了页岩油藏的可动程度,从而影响了油井的产能,降低了油藏采收率。
3.2.1 纹层状页岩渤海湾盆地歧口凹陷古近系沙三段纹层状页岩启动压力测试结果曲线如图 6所示,线性拟合线与压力梯度轴的交点即为拟启动压力梯度。由图可知,纹层状页岩在低速渗流条件下拟启动压力梯度为1.74 MPa/m,说明纹层状页岩储层流体渗流阻力较小,在较低的驱替压力下就可产生油相流动,具有较好的渗流条件。
|
下载原图 图 6 渤海湾盆地歧口凹陷古近系沙三段纹层状页岩中页岩油流量与压力梯度的关系曲线 Fig. 6 Relationship between flow and pressure gradient of laminated shale of Es3 in Qikou Sag, Bohai Bay Basin |
核磁共振测试可以直接检测页岩油中氢原子的信号,并通过弛豫时间确定页岩油在不同孔径中的赋存状态,并且也可通过不同弛豫时间T2图谱信号值的强弱与幅度差异定量反映页岩油的赋存量,且该方法具有快速、准确、操作简单的特点。研究区纹层状页岩在不同驱替压力梯度下对应的核磁共振T2图谱曲线如图 7所示。基于核磁共振理论和已有的研究结果,将弛豫时间T2 < 1 ms划分为微孔,1 ms < T2 < 100 ms划分为中小孔喉,T2 > 100 ms划分为大孔喉。结果显示:纹层状页岩储层的核磁T2图谱具有明显的双峰特征,页岩油主要赋存在微孔和中小孔中,同时随着驱替压力的增加,微孔和中小孔的核磁信号幅度都有所增大,表明增加了部分孔喉流动空间。
|
下载原图 图 7 渤海湾盆地歧口凹陷古近系沙三段纹层状页岩不同驱替压力梯度对应的核磁共振T2图谱 Fig. 7 NMR T2 spectra corresponding to different displacement pressure gradients of laminated shale of Es3 in Qikou Sag, Bohai Bay Basin |
研究区层状页岩相比于纹层状页岩启动压力效应更为明显,其对应的拟启动压力梯度约为11.37 MPa/m,表明层状页岩油在初始流动阶段需要克服更大的流动阻力,开发过程中油井控制储量减小和采收率降低更为显著,低速流动非达西流阶段持续较长时间(图 8)。页岩油在层状页岩储层中的渗流阻力较大,在较低的开采压差下不会流动,在较高的压力下部分原油参与流动。
|
下载原图 图 8 渤海湾盆地歧口凹陷古近系沙三段层状页岩中页岩油流量与压力梯度的关系曲线 Fig. 8 Relationship between flow and pressure gradient of layered shale of Es3 in Qikou Sag, Bohai Bay Basin |
层状页岩在不同驱替压力梯度下对应的核磁共振T2图谱峰值为0.085,小于纹层状页岩的峰值0.38,表明相对于纹层状页岩,层状页岩储层流动空间小,随着驱替压力的增加,微孔的核磁信号幅度虽然有所增大,但受限于孔隙结构,层状页岩渗流阻力更大,仅部分原油能参与流动(图 9)。
|
下载原图 图 9 渤海湾盆地歧口凹陷古近系沙三段层状页岩不同驱替压力梯度对应的核磁共振T2图谱 Fig. 9 NMR T2 spectra corresponding to different displacement pressure gradients of layered shale of Es3 in Qikou Sag, Bohai Bay Basin |
渤海湾盆地歧口凹陷古近系沙三段块状泥岩启动压力测试结果显示,即使在很高的压力梯度下,也无法形成稳态的达西渗流(图 10)。相比于纹层状页岩,在相同压力梯度下,块状泥岩储层流量仅为纹层状页岩流量的1/10左右。这说明,在纹层状、层状和块状3类页岩油储层中,页岩油在块状泥岩储层中的渗流阻力最大,在较低的开采压差时不会流动,即使在较高的压力下,也难以有效流动。
|
下载原图 图 10 渤海湾盆地歧口凹陷古近系沙三段块状泥岩中页岩油流量与压力梯度的关系曲线 Fig. 10 Relationship between flow and pressure gradient of massive shale of Es3 in Qikou Sag, Bohai Bay Basin |
块状泥岩在不同驱替压力梯度下对应的核磁共振T2图谱的峰值为0.05,小于纹层状页岩和层状页岩的峰值,表明相对于纹层状页岩和层状页岩,储层空间更小,原油难以在此类储层中流动(图 11)。
|
下载原图 图 11 渤海湾盆地歧口凹陷古近系沙三段块状泥岩不同驱替压力梯度对应的核磁共振T2图谱 Fig. 11 NMR T2 spectra corresponding to differen displacement pressure gradients of massive shale of Es3 in Qikou Sag, Bohai Bay Basin |
通过对渤海湾盆地歧口凹陷古近系沙三段纹层状页岩、层状页岩以及块状泥岩等3类岩相页岩油储层微观孔隙结构与渗流特征的研究,发现纹层状页岩样品中大量发育纳米级孔隙和部分微米级孔隙,孔隙由小到大均匀连续分布。微、纳米孔隙皆可赋存原油,但只有较大的孔喉或者层理缝才是原油的流动通道。在低压差下只有较大孔隙或者层理缝中的流体参与渗流,存在启动压力梯度和非线性渗流现象,但随着压差增大,越来越多小孔隙中的流体开始流动,储层渗流能力增强。纹层状页岩油储层存在可动空间,微、纳米孔隙可作为储集空间,大中孔喉和层理缝为主要渗流通道,渗流能力强,开发难度相对较小,该类储层可作为勘探开发的优势区域。层状页岩岩样中虽发育部分微米级孔隙,但相比于纹层状页岩占比要小,储层微观非均质性强,孔喉连通性一般,具有一定的储集和渗流能力。因此,在低压差驱动下流体可用的渗流通道少,导致其启动压力梯度更高,非线性渗流特征更明显,且非线性渗流阶段持续时间更长。相比于纹层状,层状页岩油开发难度较大、开发效果较差,但由于发育少量微米级孔隙,存在一定的可动空间,具有一定的开发潜力。块状泥岩岩样基本不发育微米级孔隙,储层孔隙体积由纳米孔隙贡献,有效连通的孔喉较少,因此难以形成有效渗流通道,流体渗流阻力极大,导致在极高的压差下原油也难以流动。相比于前二者而言,块状泥岩储层基本不具备开采价值。
从以上3类样品薄片及矿物组成可以看出,三者在矿物粒径、颗粒形态及矿物组成方面差异较小,而层理(纹层)密度差异极大,推测这是造成渗流能力差别较大的主要原因。页岩非均质性极强,沉积过程中受气候、水动力条件、物源供给、有机质絮凝、特殊构造-沉积事件等因素的影响,细粒沉积岩中广泛发育纹层结构。特别是部分层段中季节性的年纹层极为发育[39],而陆相盆地内常见的纹层主要包括由多种无机矿物(石英、长石、方解石、白云石和黄铁矿)与不同含量的有机质(沥青和干酪根)及孔隙组成的富有机质纹层、长英质纹层和黏土纹层、富凝灰质纹层、钙质纹层等多种类型[40]。已有油气勘探结果表明纹层发育的储层产油性较好,且其岩石力学性质、有机质分布、孔隙结构、矿物组成均有别于不发育纹层结构的泥岩层。地下实际地质条件下,排烃作用随着地层热演化程度增加而不断增强,孔隙流体压力也随之增大,纹层或层理界面会形成大量的页理缝,是页岩中主要的渗流通道[41]。原油在页理缝中流动主要为油相滑脱流的非线性流[42],故3块样品均是非达西流动,但是,纹层数量较多的纹层状页岩在较低的压力条件下会达到稳态流动。目前在松辽、渤海湾等盆地陆相页岩油产区均可见直井不经压裂也可获得工业油气流的现象[43-44]。部分学者将纹层数量作为评价页岩渗透能力重要指标[45]。此外与常规油藏相比,页岩油后续通过补充能量的办法提高采收率的效果较差;同时页岩储层非均质性强,不同岩相渗流特征差异较大,建议在后续模拟衰竭开发实验过程中采用并联或者串联模式模拟纵向和平面非均质性,针对不同岩相储层建立不同的渗流数学模型能更加真实准确地模拟页岩油藏的开发动态。
5 结论(1)渤海湾盆地歧口凹陷古近系沙三段一亚段页岩层系可划分为纹层状页岩、层状页岩、块状泥岩、块状钙质泥岩、粉砂岩等5类岩相。其中,纹层状和层状页岩中微米级孔隙更发育、平均孔径更大,为有利的储集岩相。
(2)研究区页岩油储层发育大量纳米级孔隙,页岩油在微孔、中大孔喉中均有赋存,但只有较大孔喉中的页岩油才会在压差驱动下流出,微孔中油相即使在很大压差下也难以产出。
(3)页岩油渗流具有启动压力梯度和低速非达西特征。纹层对页岩油储层渗流起到积极的作用,可有效改善储层渗流能力。储层的纹层(层理)密度差异是造成其渗流能力差异较大的主要原因,3类岩相储层中,纹层状页岩启动压力梯度最低,页岩油渗流能力最强;层状储层启动压力梯度其次,在较大压差下可有部分油相发生流动,具有一定渗流能力;块状储层拟启动压力相比于纹层状页岩呈数量级增大,在相同驱替压力下,块状泥岩中页岩油流量仅为纹层状页岩中的1/10左右。
| [1] |
赵文智, 胡素云, 侯连华, 等. 中国陆相页岩油类型、资源潜力及与致密油的边界. 石油勘探与开发, 2020, 47(1): 1-10. ZHAO Wenzhi, HU Suyun, HOU Lianhua, et al. Types and resource potential of continental shale oil in China and its boundary with tight oil. Petroleum Exploration and Development, 2020, 47(1): 1-10. |
| [2] |
赵文智, 朱如凯, 胡素云, 等. 陆相富有机质页岩与泥岩的成藏差异及其在页岩油评价中的意义. 石油勘探与开发, 2020, 47(6): 1079-1089. ZHAO Wenzhi, ZHU Rukai, HU Suyun, et al. Accumulation contribution differences between lacustrine organic-rich shales and mudstones and their significance in shale oil evaluation. Petroleum Exploration and Development, 2020, 47(6): 1079-1089. |
| [3] |
胡素云, 赵文智, 侯连华, 等. 中国陆相页岩油发展潜力与技术对策. 石油勘探与开发, 2020, 47(4): 819-828. HU Suyun, ZHAO Wenzhi, HOU Lianhua, et al. Development potential and technical strategy of continental shale oil in China. Petroleum Exploration and Development, 2020, 47(4): 819-828. |
| [4] |
邹才能, 潘松圻, 荆振华, 等. 页岩油气革命及影响. 石油学报, 2020, 41(1): 1-12. ZOU Caineng, PAN Songqi, JING Zhenhua, et al. Shale oil and gas revolution and its impact. Acta Petrolei Sinica, 2020, 41(1): 1-12. DOI:10.3969/j.issn.1001-8719.2020.01.001 |
| [5] |
焦方正, 邹才能, 杨智. 陆相源内石油聚集地质理论认识及勘探开发实践. 石油勘探与开发, 2020, 47(6): 1067-1078. JIAO Fangzheng, ZOU Caineng, YANG Zhi. Geological theory and exploration & development practice of hydrocarbon accumulation inside continental source kitchens. Petroleum Exploration and Development, 2020, 47(6): 1067-1078. |
| [6] |
付金华, 刘显阳, 李士祥, 等. 鄂尔多斯盆地三叠系延长组长7段页岩油勘探发现与资源潜力. 中国石油勘探, 2021, 26(5): 1-11. FU Jinhua, LIU Xianyang, LI Shixiang, et al. Discovery and resource potential of shale oil of Chang 7 member, Triassic Yanchang Formation, Ordos Basin. China Petroleum Exploraion, 2021, 26(5): 1-11. DOI:10.3969/j.issn.1672-7703.2021.05.001 |
| [7] |
付锁堂, 付金华, 牛小兵, 等. 庆城油田成藏条件及勘探开发关键技术. 石油学报, 2020, 41(7): 777-795. FU Suotang, FU Jinhua, NIU Xiaobing, et al. Accumulation conditions and key exploration and development technologies in Qingcheng Oilfield. Acta Petrolei Sinica, 2020, 41(7): 777-795. |
| [8] |
孙莎莎, 董大忠, 李育聪, 等. 四川盆地侏罗系自流井组大安寨段陆相页岩油气地质特征及成藏控制因素. 石油与天然气地质, 2021, 42(1): 124-135. SUN Shasha, DONG Dazhong, LI Yucong, et al. Geological characteristics and controlling factors of hydrocarbon accumulation in terrestrial shale in the Da'Anzhai member of the Jurassic Ziliujing Formation, Sichuan Basin. Oil & Gas Geology, 2021, 42(1): 124-135. |
| [9] |
张抗, 张立勤, 刘冬梅. 近年中国油气勘探开发形势及发展建议. 石油学报, 2022, 43(1): 15-28. ZHANG Kang, ZHANG Liqin, LIU Dongmei. Situation of China's oil and gas exploration and development in recent years and relevant suggestions. Acta Petrolei Sinica, 2022, 43(1): 15-28. |
| [10] |
郝乐伟, 王琪, 唐俊. 储层岩石微观孔隙结构研究方法与理论综述. 岩性油气藏, 2013, 25(5): 123-128. HAO Lewei, WANG Qi, TANG Jun. Research progress of reservoir microscopic pore structure. Lithologic Reservoirs, 2013, 25(5): 123-128. |
| [11] |
李梦莹, 朱如凯, 胡素云. 海外陆相页岩油地质特征与资源潜力. 岩性油气藏, 2022, 34(1): 163-174. LI Mengying, ZHU Rukai, HU Suyun. Geological characteristics and resource potential of overseas terrestrial shale oil. Lithologic Reservoirs, 2022, 34(1): 163-174. |
| [12] |
柳波, 孙嘉慧, 张永清, 等. 松辽盆地长岭凹陷白垩系青山口组一段页岩油储集空间类型与富集模式. 石油勘探与开发, 2021, 48(3): 521-535. LIU Bo, SUN Jiahui, ZHANG Yongqing, et al. Reservoir space and enrichment model of shale oil in the first member of Cretaceous Qingshankou Formation in the Changling Sag, southern Songliao Basin, NE China. Petroleum Exploration and Development, 2021, 48(3): 521-535. |
| [13] |
刘雅利, 张顺, 刘惠民, 等. 断陷盆地陡坡带富有机质页岩基本特征及勘探前景: 以济阳坳陷为例. 中国矿业大学学报, 2021, 50(6): 1108-1118. LIU Yali, ZHANG Shun, LIU Huimin, et al. Basic characteristics and exploration prospect of shale in steep slope belt of continental faulted basin: A case study of Jiyang Depression. Journal of China University of Mining & Technology, 2021, 50(6): 1108-1118. |
| [14] |
余燕, 周琳琅, 甘笑非, 等. 二次压力梯度三孔渗流模型及非线性渗流特征. 岩性油气藏, 2020, 32(5): 143-150. YU Yan, ZHOU Linlang, GAN Xiaofei, et al. A triple-porosity flow model and its nonlinear flow characteristics with considering quadratic pressure gradient. Lithologic Reservoirs, 2020, 32(5): 143-150. |
| [15] |
张记刚, 杜猛, 陈超, 等. 吉木萨尔凹陷二叠系芦草沟组页岩储层孔隙结构定量表征. 岩性油气藏, 2022, 34(4): 89-102. ZHANG Jigang, DU Meng, CHEN Chao, et al. Quantitative characterization of pore structure of Permian Lucaogou Formation shale reservoir in Jimsar Depression. Lithologic Reservoirs, 2022, 34(4): 89-102. |
| [16] |
赵贤正, 蒲秀刚, 韩文中, 等. 细粒沉积岩性识别新方法与储集层甜点分析: 以渤海湾盆地沧东凹陷孔店组二段为例. 石油勘探与开发, 2017, 44(4): 492-502. ZHAO Xianzheng, PU Xiugang, HAN Wenzhong, et al. A new method for lithology identification of fine-grained deposits and reservoir sweet spot analysis: A case study of Kong 2 member in Cangdong Sag, Bohai Bay Basin, China. Petroleum Exploration and Development, 2017, 44(4): 492-502. |
| [17] |
向雪冰, 司马立强, 王亮, 等. 页岩气储层孔隙流体划分及有效孔径计算: 以四川盆地龙潭组为例. 岩性油气藏, 2021, 33(4): 137-146. XIANG Xuebing, SIMA Liqiang, WANG Liang, et al. Pore fluid division and effective pore size calculation of shale gas reservoir: A case study of Longtan Formation in Sichuan Basin. Lithologic Reservoirs, 2021, 33(4): 137-146. |
| [18] |
朱维耀, 马东旭. 层理缝对页岩渗透率的影响及表征. 特种油气藏, 2018, 25(2): 130-133. ZHU Weiyao, MA Dongxu. Effect of bedding seam on shale permeability and its characterization. Special Oil & Gas Reservoirs, 2018, 25(2): 130-133. |
| [19] |
雷浩, 郑有恒, 何建华, 等. 页岩油藏流体渗流特征物理模拟新方法. 石油学报, 2021, 42(10): 1346-1356. LEI Hao, ZHENG Youheng, HE Jianhua, et al. A new method for physical simulation of flow characteristics of fluids in shale oil reservoirs. Acta Pertolei Sinica, 2021, 42(10): 1346-1356. |
| [20] |
何建华, 丁文龙, 付景龙, 等. 页岩微观孔隙成因类型研究. 岩性油气藏, 2014, 26(5): 30-35. HE Jianhua, DING Wenlong, FU Jinglong, et al. Study on genetic type of micropore in shale reservoir. Lithologic Reservoirs, 2014, 26(5): 30-35. |
| [21] |
李蕾, 郝永卯, 王程伟, 等. 页岩油藏单相流体低速渗流特征. 特种油气藏, 2021, 28(6): 70-75. LI Lei, HAO Yongmao, WANG Chengwei, et al. Low-velocity seepage characteristics of single-phase fluid in shale reservoir. Special Oil & Gas Reservoirs, 2021, 28(6): 70-75. |
| [22] |
杨学峰, 雷启鸿, 王瑞飞, 等. 鄂尔多斯盆地致密油储层启动压力梯度对比分析. 地球物理学进展, 2021, 36(1): 310-317. YANG Xuefeng, LEI Qihong, WANG Ruifei, et al. Comparative study on threshold pressure gradient of tight oil reservoirs in Ordos Basin. Progress in Geophysics, 2021, 36(1): 310-317. |
| [23] |
周立宏, 陈长伟, 韩国猛, 等. 渤海湾盆地歧口凹陷陆相湖盆页岩气富集条件及勘探潜力. 天然气工业, 2021, 41(5): 1-10. ZHOU Lihong, CHEN Changwei, HAN Guomeng, et al. Enrichment conditions and exploration potential of shale gas in continental lake basins in Qikou Sag, Bohai Bay Basin. Natural Gas Industry, 2021, 41(5): 1-10. |
| [24] |
杨有星, 高永进, 张君峰, 等. 歧口和泌阳凹陷两种类型湖相碳酸盐岩沉积特点. 现代地质, 2019, 33(4): 831-840. YANG Youxing, GAO Yongjin, ZHANG Junfeng, et al. Depositional models and differences of lacustrine carbonate rocks: Comparison between Qikou Sag and Biyang Sag. Geoscience, 2019, 33(4): 831-840. |
| [25] |
马钰凯, 孙永河, 马妍, 等. 渤海湾盆地歧口凹陷构造演化及断裂带成因. 石油学报, 2020, 41(5): 526-539. MA Yukai, SUN Yonghe, MA Yan, et al. Tectonic evolution and genesis of fault zones in Qikou Sag, Bohai Bay Basin. Acta Petrolei Sinica, 2020, 41(5): 526-539. |
| [26] |
韩国猛, 陈冬霞, 马建英, 等. 黄骅坳陷歧北斜坡油气成藏机制与成藏模式. 吉林大学学报(地球科学版), 2021, 51(6): 1636-1653. HAN Guomeng, CHEN Dongxia, MA Jianying, et al. Hydrocarbon accumulation mechanism and accumulation model of Qibei slope in Huanghua Depression. Journal of Jilin University (Earth Science Edition), 2021, 51(6): 1636-1653. |
| [27] |
赵贤正, 蒲秀刚, 周立宏, 等. 深盆湖相区页岩油富集理论、勘探技术及前景: 以渤海湾盆地黄骅坳陷古近系为例. 石油学报, 2021, 42(2): 143-162. ZHAO Xianzheng, PU Xiugang, ZHOU Lihong, et al. Enrichment theory, exploration technology and prospects of shale oil in lacustrine facies zone of deep basin: A case study of the Paleogene in Huanghua Depression, Bohai Bay Basin. Acta Petrolei Sinica, 2021, 42(2): 143-162. |
| [28] |
蔚远江, 王红岩, 刘德勋, 等. 陆相页岩油勘探"进源找油"探索与思考: 以渤海湾盆地歧口凹陷沙一段为例. 地球科学与环境学报, 2021, 43(1): 117-134. YU Yuanjiang, WANG Hongyan, LIU Dexun, et al. Probing and thinking on"exploring petroleum inside source kitchen"of continental shale oil exploration. Journal of Earth Sciences and Environment, 2021, 43(1): 117-134. |
| [29] |
胡贺伟, 李慧勇, 许鹏, 等. 断裂密集带油气差异富集主控因素探讨: 以歧口凹陷歧南断阶带为例. 岩性油气藏, 2020, 32(5): 34-45. HU Hewei, LI Huiyong, XU Peng, et al. Main controlling factors of differential enrichment of oil and gas in fault concentrated zones: A case study from Qinan step-fault zone in Qikou Sag. Lithologic Reservoirs, 2020, 32(5): 34-45. |
| [30] |
张顺, 刘惠民, 陈世悦, 等. 中国东部断陷湖盆细粒沉积岩岩相划分方案探讨: 以渤海湾盆地南部古近系细粒沉积岩为例. 地质学报, 2017, 91(5): 1108-1119. ZHANG Shun, LIU Huimin, CHEN Shiyue, et al. Classification scheme for lithofacies of fine-grained sedimentary rocks in faulted basins of Eastern China: Insights from the fine-grained sedimentary rocks in Paleogene, Southern Bohai Bay Basin. Acta Geologica Sinica, 2017, 91(5): 1108-1119. |
| [31] |
陈扬, 胡钦红, 赵建华, 等. 渤海湾盆地东营凹陷湖相富有机质页岩纹层特征和储集性能. 石油与天然气地质, 2022, 43(2): 307-324. CHEN Yang, HU Qinhong, ZHAO Jianhua, et al. Lamina characteristics and their influence on reservoir property of lacustrine organic-rich shale in the Dongying Sag, Bohai Bay Basin. Oil & Gas Geology, 2022, 43(2): 307-324. |
| [32] |
沈云琦, 金之钧, 苏建政, 等. 中国陆相页岩油储层水平渗透率与垂直渗透率特征: 以渤海湾盆地济阳坳陷和江汉盆地潜江凹陷为例. 石油与天然气地质, 2022, 43(2): 378-389. SHEN Yunqi, JIN Zhijun, SU Jianzheng, et al. Characteristics of horizontal and vertical permeability of continental shale oil reservoirs in China: A case from Jiyang Depression in Bohai Bay Basin and Qianjiang Sag in Jianghan Basin. Oil & Gas Geology, 2022, 43(2): 378-389. |
| [33] |
杨万芹, 蒋有录, 王勇. 东营凹陷沙三下—沙四上亚段泥页岩岩相沉积环境分析. 中国石油大学学报(自然科学版), 2015, 39(4): 19-26. YANG Wanqin, JIANG Youlu, WANG Yong. Study on shale facies sedimentary environment of lower Es3-upper Es4 in Dongying Sag. Journal of China University of Petroleum(Edition of Natural Science), 2015, 39(4): 19-26. |
| [34] |
LIU Bo, WANG Haoli, FU Xiaofei, et al. Lithofacies and depositional setting of a highly prospective lacustrine shale oil succession from the Upper Cretaceous Qingshankou Formation in the Gulong Sag, northern Songliao Basin, northeast China. AAPG Bulletin, 2019, 103(2): 405-432. |
| [35] |
朱如凯, 李梦莹, 杨静儒, 等. 细粒沉积学研究进展与发展方向. 石油与天然气地质, 2022, 43(2): 251-264. ZHU Rukai, LI Mengying, YANG Jingru, et al. Advances and trends of fine-grained sedimentology. Oil & Gas Geology, 2022, 43(2): 251-264. |
| [36] |
姜在兴, 梁超, 吴靖, 等. 含油气细粒沉积岩研究的几个问题. 石油学报, 2013, 34(6): 1031-1039. JIANG Zaixing, LIANG Chao, WU Jing, et al. Several issues in sedimentological studies on hydrocarbon-bearing fine-grained sedimentary rocks. Acta Petrolei Sinica, 2013, 34(6): 1031-1039. |
| [37] |
卢双舫, 李俊乾, 张鹏飞, 等. 页岩油储集层微观孔喉分类与分级评价. 石油勘探与开发, 2018, 45(3): 436-444. LU Shuangfang, LI Junqian, ZHANG Pengfei, et al. Classification of microscopic pore-throats and the grading evaluation on shale oil reservoirs. Petroleum Exploration and Development, 2018, 45(3): 436-444. |
| [38] |
党伟, 张金川, 聂海宽, 等. 页岩油微观赋存特征及其主控因素: 以鄂尔多斯盆地延安地区延长组7段3亚段陆相页岩为例. 石油学报, 2022, 43(4): 507-523. DANG Wei, ZHANG Jinchuan, NIE Haikuan, et al. Microscopic occurrence characteristics of shale oil and their main controlling factors: A case study of the 3rd submember continental shale of member 7 of Yanchang Formation in Yan'an aera, Ordos Basin. Acta Petrolei Sinica, 2022, 43(4): 507-523. |
| [39] |
张建国, 姜在兴, 刘立安, 等. 渤海湾盆地沾化凹陷沙河街组三段下亚段细粒沉积岩岩相特征与沉积演化. 石油学报, 2021, 42(3): 293-306. ZHANG Jianguo, JIANG Zaixing, LIU Li'an, et al. Lithofacies and depositional evolution of fine-grained sedimentary rocks in the lower submember of the member 3 of Shahejie Formation in Zhanhua Sag, Bohai Bay Basin. Acta Petrolei Sinica, 2021, 42(3): 293-306. |
| [40] |
王苗, 陆建林, 左宗鑫, 等. 纹层状细粒沉积岩特征及主控因素分析: 以渤海湾盆地东营凹陷沙四上-沙三下亚段为例. 石油实验地质, 2018, 40(4): 470-478. WANG Miao, LU Jianlin, ZUO Zongxin, et al. Characteristics and dominating factors of lamellar fine-grained sedimentary rocks: A case study of the upper Es4 member-lower Es3 member, Dongying Sag, Bohai Bay Basin. Petroleum Geology & Experiment, 2018, 40(4): 470-478. |
| [41] |
曾联波, 吕文雅, 徐翔, 等. 典型致密砂岩与页岩层理缝的发育特征、形成机理及油气意义. 石油学报, 2022, 43(2): 180-191. ZENG Lianbo, LYU Wenya, XU Xiang, et al. Development characteristics, formation mechanism and hydrocarbon significance of bedding fractures in typical tight sandstone and shale. Acta Petrolei Sinica, 2022, 43(2): 180-191. |
| [42] |
王玉霞, 周立发, 焦尊生, 等. 基于三参数非线性渗流的低渗透砂岩油藏CO2非混相驱相渗计算模型. 西北大学学报(自然科学版), 2018, 48(1): 107-114. WANG Yuxia, ZHOU Lifa, JIAO Zunsheng, et al. Relative permeability calculation model of CO2 immiscible flooding in low permeability reservoir based on the three-parameter nonlinear seepage. Journal of Northwest University(Natural Science Edition), 2018, 48(1): 107-114. |
| [43] |
徐兴友, 刘卫彬, 陈珊, 等. 松辽盆地南部陆相页岩油气勘查突破及意义. 天然气工业, 2022, 42(3): 12-20. XU Xingyou, LIU Weibin, CHEN Shan, et al. Breakthroughs in continental shale oil and gas exploration in the southern Song-liao Basin and its implications for carbon neutrality. Natural Gas Industry, 2022, 42(3): 12-20. |
| [44] |
金之钧, 朱如凯, 梁新平, 等. 当前陆相页岩油勘探开发值得关注的几个问题. 石油勘探与开发, 2021, 48(6): 1276-1287. JIN Zhijun, ZHU Rukai, LIANG Xinping, et al. Several issues worthy of attention in current lacustrine shale oil exploration and development. Petroleum Exploration and Development, 2021, 48(6): 1276-1287. |
| [45] |
韩文中, 赵贤正, 金凤鸣, 等. 渤海湾盆地沧东凹陷孔二段湖相页岩油甜点评价与勘探实践. 石油勘探与开发, 2021, 48(4): 777-786. HAN Wenzhong, ZHAO Xianzheng, JIN Fengming, et al. Sweet spots evaluation and exploration of lacustrine shale oil of the second member of Paleogene Kongdian Formation in Cangdong Sag, Bohai Bay Basin. Petroleum Exploration and Development, 2021, 48(4): 777-786. |
2023, Vol. 35

















