2. 中海石油 (中国) 有限公司湛江分公司研究院, 广东 湛江 524057
2. Research Institute of Zhanjiang Company, CNOOC, Zhanjiang 524057, Guangdong, China
低对比度油气层是指油气层电阻率减小或水层电阻率增大,导致油气层与水层的电阻率对比度降低,在测井上难以识别的油气层[1-2]。在低对比度储层流体识别方面,学者们已做了大量的研究,主要可分为3类:第一类是基于储层微观特性的研究,利用岩石物理实验数据,从低对比度成因出发,分析储层变化对电阻率、含水饱和度等的影响[3-4]。第二类是基于敏感参数识别,通过对流体变化的敏感性,提取敏感参数,综合识别流体性质[5-7]。第三类是基于测井资料,采用测井及其衍生数据,进一步弱化储层的非均质性对低对比度的影响,厘清流体划分界限[8-11]。虽然通过现有的方法在一定程度上能够提高低对比度流体识别的准确率,但在研究思路上主要还是依托测井资料围绕储层电性特征展开,而在低对比度储层中,其电性特征往往难以准确的反映,且存在较高的区域经验性,对不同的研究区应用效果差异较大,难以大范围推广。
针对珠江口盆地文昌A凹陷低对比度储层,为了有效避免上述问题,从宏观角度出发,以相渗资料、毛细管压力等实验数据为基础,通过不同含水饱和度下的相渗模型及分流率方程,建立气藏水气比计算模型WGR和含水饱和度Sw的识别图版,再用生产测试数据划分流体性质的识别标准,以期达到有效地确定储层流体性质的目的。
1 地质概况文昌A凹陷位于珠江口盆地西部的珠三坳陷内,其南北分别与神狐隆起和阳江低凸起相接,西邻琼海凸起、琼海凹陷以及文昌B,C凹陷(图 1)。在珠三南断裂和六号断裂带的控制下,凹陷内发育一个构造隆升带及2个沉降中心[12]。根据前人的研究,文昌A凹陷主要存在2套储层,分别为晚渐新世的珠海组以及早中新世的珠江组,其中珠海组为本次研究的目的层;存在2期油气充注,第一期石油注入珠海组三段储层,第二期注入珠海组一段储层,大量天然气注入更晚。研究区气田群为南海西部首个整体开发的低渗、特低渗凝析气田群,其中含有大量低对比度储层,识别难度较大。
|
下载原图 图 1 珠江口盆地西部文昌A凹陷地理位置图 Fig. 1 Geographical location of Wenchang A sag in western Pearl River Mouth Basin |
在气田的开发生产中,储层产出流体的性质可根据生产动态资料来反映,井口流体的产出状况决定了井下产层的流体性质。如果井口只有气或水产出,则井下产层为气层或水层;如果井口产出为气水同出,则井下地层为气水同层。因此,生产过程中的水气量的大小可以反映地下流体的特征。以此为研究思路出发点,通过实际测试过程中井口产水量与产气量体积的比值计算出实际水气比,并由井口流体性质划分出不同流体性质的水气比与含水饱和度的综合范围,然后通过模型计算得出气藏整体水气比WGR和含水饱和度Sw,以该范围为标准判别研究区气藏流体性质。
在油气藏工程中,气水两相流体时,水相分流率fw可表示为气井总产出水量Qw与总流体量Q总之比[13-14],即
| $ {f_{\rm{w}}} = \frac{{{Q_{\rm{w}}}}}{{{Q_总}}} = \frac{{WGR{B_{\rm{w}}}}}{{WGR{B_{\rm{w}}} + {B_{\rm{g}}}}} $ | (1) |
式中:WGR为水气比,m3/104 m3;Bw,Bg分别为地层水体积系数和天然气体积系数,m3/m3。
在不考虑重力和毛细管力的影响下,由气水两相达西公式可将水相分流率表示为[15]
| $ {f_{\rm{w}}} = \frac{1}{\begin{array}{l} 1 + \frac{{{K_{{\rm{rg}}}}{\mu _{\rm{w}}}}}{{{K_{{\rm{rw}}}}{\mu _{\rm{g}}}}}\\ \end{array}} $ | (2) |
式中:Krg为气相相对渗透率;Krw为水相相对渗透率;μw,μg分别为水相黏度和气相黏度,mPa·s。
由式(1)、(2)可得水气比计算模型
| $ WGB = \frac{{{\mu _{\rm{g}}}{B_{\rm{g}}}{K_{{\rm{rw}}}}\begin{array}{*{20}{l}} {} \end{array}}}{{{\mu _{\rm{w}}}{B_{\rm{w}}}{K_{{\rm{rg}}}}}} $ | (3) |
由式(3)可知,在已知Bw,Bg,μw和μg的情况下,通过对Krg和Krw的求取,可得出气藏纵向水气比的分布。
3 模型参数的计算计算气藏水气比WGR时,需先对气相相对渗透率Krg和水相相对渗透率Krw进行求取。根据大量模拟实验,前人提出了多种气水两相相对渗透率模型,本文采用Willghte经验公式的幂函数形式作为不同含水饱和度下Krw和Krg模型[16]
| $ {K_{{\rm{rw}}}} = {K_{{\rm{rw}}}}({S_{{\rm{gr}}}}){(\frac{{{S_{\rm{w}}} - {S_{{\rm{wi}}}}}}{{1 - {S_{{\rm{gr}}}} - {S_{{\rm{wi}}}}}})^{{n_{\rm{w}}}}} $ | (4) |
| $ {K_{{\rm{rg}}}} = {K_{{\rm{rg}}}}({S_{{\rm{wi}}}}){(\frac{{1 - {S_{\rm{w}}} - {S_{{\rm{gr}}}}}}{{1 - {S_{{\rm{gr}}}} - {S_{{\rm{wi}}}}}})^{{n_{\rm{g}}}}} $ | (5) |
式中:Krw(Sgr) 为残余气饱和度下水相相对渗透率;Sgr,Sw和Swi分别为残余气饱和度、含水饱和度和束缚水饱和度,小数;nw为水相相对渗透率曲线常数;Krg(Swi) 为束缚水饱和度下气相相对渗透率;ng为气相相对渗透率曲线常数。由式(4),(5)可知,对不同含水饱和度下气、水两相相对渗透率模型的求取主要分为3步:①求取Swi,Sgr和Sw;②求取相对渗透率端点Krw(Sgr)和Krg(Swi);③求取水相相对渗透率曲线常数nw与气相相对渗透率曲线常数ng。
3.1 “三饱和度”参数的计算目前,计算三饱和度参数(Swi,Sgr和Sw)的方法较多,不同的方法计算得出的效果也不尽相同。在对珠江口盆地西部文昌A凹陷气藏三饱和度进行求解时,根据研究区的特点,选取符合其特征的方法。
3.1.1 束缚水饱和度Swi半渗透隔板法和压汞法为目前测量毛细管压力曲线应用最普遍的方法[17],本文的实验研究中,毛细管压力的测定采用半渗隔板法。半渗透隔板法与常用的压汞法、离心法相比,能更准确地描述实际气藏原始含水饱和度的分布状态。根据11块半渗透隔板实验测得的毛管压力曲线资料确定岩样的束缚水饱和度值(图 2),研究区各岩样含水饱和度均随毛细管压力Pc的增大而降低,当实验毛细管压力达到最大值1.4 MPa时,含水饱和度随毛细管压力的变化不再明显,因此,可以将毛细管压力为1.4 MPa时所对应的含水饱和度作为该岩样的束缚水饱和度。
|
下载原图 图 2 文昌A凹陷珠海组毛细管压力曲线 Fig. 2 Capillary pressure curves of Zhuhai Formation in Wenchang A sag |
将实验测得的束缚水饱和度与孔隙度、自然伽马相对值、中子密度孔隙度差、泥质含量及粒度中值作相关性分析,其相关系数R2分别为0.54,0.45,0.44,0.38和0.31,将相关性相对较好的孔隙度、自然伽马相对值和中子密度孔隙度差值与束缚水饱和度作多元回归分析,建立多元回归模型
| $ {S_{{\rm{wi}}}} = - 6.2\varphi - 20.8\Delta GR + {\rm{ }}2.73({\varphi _{\rm{N}}} - {\varphi _{\rm{D}}}) + 123.97 $ | (6) |
式中:φ为孔隙度,%;ΔGR为自然伽马相对值,小数;φN,φD分别为中子孔隙度和密度孔隙度,%。
3.1.2 残余气饱和度Sgr本文中气水相对渗透率实验采用稳态法,这是目前测定相对渗透率曲线的标准方法。稳态法与非稳态法相比,测定的结果可靠性更强,且测定相对渗透率的饱和度范围更宽,而非稳态法测取的气相相对渗透率及残余气饱和度存在明显的偏差。如表 1所列本文研究中采用含水饱和度逐渐增大的渗吸过程,一共测得了14组气水相对渗透率实验数据(表 1)。
|
|
下载CSV 表 1 文昌A凹陷珠海组储层相对渗透率实验统计 Table 1 Experimental statistics of relative permeability of Zhuhai Formation in Wenchang A sag |
将相渗实验资料确定的残余气饱和度Sgr与综合物性指数
|
下载原图
图 3 文昌A凹陷珠海组储层Sgr与 |
如图 3所示,Sgr与
| $ {S_{{\rm{gr}}}} = - 5.632{\rm{ ln}}\sqrt {\frac{K}{\varphi }} + 22.088, {R^2} = 0.8977 $ | (7) |
式中:K为渗透率,mD。
由上式可计算出不同物性条件下残余气饱和度Sgr的分布。
3.1.3 含水饱和度Sw在砂泥岩储层中,泥质主要以层状泥质、分散泥质以及结构泥质等形式存在。不同储层中泥质含量及其分布形式有所不同,其计算含水饱和度所选用的模型也不一样。通过与研究区块压汞资料计算的含水饱和度进行对比,优选出Total shale model作为含水饱和度的计算模型,该模型由斯伦贝谢公司根据Simandoux[18]在1963年的实验研究及现场经验提出,被认为是高度实用且简单的模型[19]。表达式如下
| $ {S_{\rm{w}}} = \frac{{a{R_{\rm{w}}}(1 - {V_{{\rm{sh}}}}}}{{2{\varphi ^2}}}[\frac{{ - {V_{{\rm{sh}}}}}}{{{R_{{\rm{sh}}}}}} + \sqrt {{{(\frac{{{V_{{\rm{sh}}}}}}{{{R_{{\rm{sh}}}}}})}^2} + \frac{{4{\varphi ^2}}}{{a{R_{\rm{w}}}{R_{\rm{t}}}(1 - {V_{{\rm{sh}}}})}}}] $ | (8) |
式中:Rw,Rt,Rsh分别为地为层水电阻率、地层深电阻率和泥岩段深电阻率平均值,Ω·m;Vsh为泥质含量,小数;a为岩性系数。
由资料调查得知,研究区岩性系数a及地层水电阻率Rw的取值分别为1.047,0.075。
3.2 Krw(Sgr) 和Krg(Swi) 的求取基于相渗实验资料,通过研究区气水相对渗透率实验资料可得出Krw(Sgr)和Krg(Swi)。对Krw(Sgr)及Krw(Sgr)的相关性进行分析认为,Krw(Sgr),Krg(Swi)与渗透率K均存在较好的幂指数关系(图 4)。
|
下载原图 图 4 文昌A凹陷珠海组储层Krw(Sgr)(a),Krg(Swi)(b)与K关系曲线图 Fig. 4 Relationships of permeability with Krw(Sgr)(a)and Krg(Swi)(b)of Zhuhai Formation in Wenchang A sag |
根据实验数据拟合可知
| $ {K_{{\rm{rw}}}}({S_{{\rm{gr}}}}) = {\rm{ }}0.0716{K^{0.1202}}, {R^2} = 0.8341 $ | (9) |
| $ {K_{{\rm{rg}}}}({S_{{\rm{wi}}}}) = 0.3219{K^{0.2408}}, {R^2} = 0.8696 $ | (10) |
利用式(4),(5)分别对上述相渗实验的14个样品作回归分析,得到各样品的nw,ng值(表 2)。
|
|
下载CSV 表 2 文昌A凹陷珠海组储层常数nw,ng Table 2 Values of reservoir constants nwandng of Zhuhai Formation in Wenchang A sag |
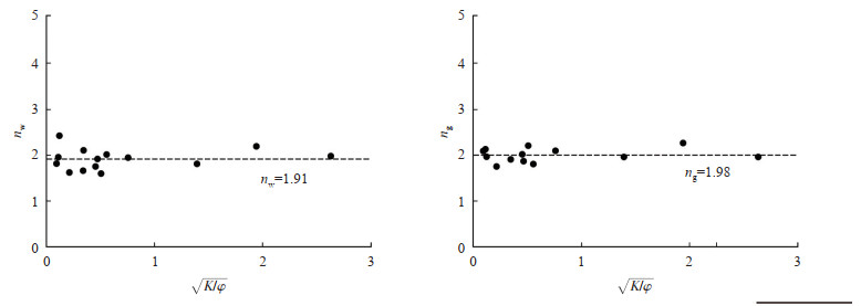
图 5为文昌A凹陷珠海组储层nw,ng与
|
下载原图
图 5 文昌A凹陷珠海组储层nw(a),ng(b)与 |
为了将上述模型应用到实际中,首先须要获取2个连续的测井常用参数:孔隙度与渗透率。通过岩心分析其孔隙度,并将之与测井曲线进行交会[20]可知,岩心分析孔隙度与声波时差之间有较好的相关性。因此,利用声波时差测井曲线可以准确地计算出储层的孔隙度。本文渗透率的求取采用FZI流动单元分类方法,该方法只需要岩心物性分析数据就可以实现储层的快速准确分类,是目前较为方便的储层渗透率求取方法[21]。在得到连续的气藏孔渗参数后,便可以通过实验及生产测试数据展开水气比流体识别的应用。
收集了珠江口盆地文昌A凹陷的27组生产测试数据,与气藏含水饱和度建立了研究区水气比流体识别图版(图 6),红色分界线及其下部区域表示气层,黄色分界线区域表示气水同层,蓝色分界线及其上部区域表示水层。所有数据点均落在图版标定区域中,区域以外理论上不会有数据产生。
|
下载原图 图 6 文昌A凹陷珠海组储层水气比流体识别标准图版 Fig. 6 Standard chart for identification of water-gas ratio fluid of Zhuhai Formation in Wenchang A sag |
由该图版划分出不同流体识别区域,确定气层、气水同层、水层判别标准(表 3)。
|
|
下载CSV 表 3 文昌A凹陷珠海组储层流体性质识别标准 Table 3 Recognition criteria for fluid properties of Zhuhai Formation in Wenchang A sag |
通过资料统计,研究区原始地层下气相、水相黏度取值分别为μg = 0.029 mPa∙s,μw = 0.200 mPa∙s;气相、水相体积系数取值分别为Bg = 0.004 m3/m3,Bw = 1.036 m3 /m3。利用式(3)计算得到研究区地层的水气比WGR值,同时结合式(8)计算得到的地层含水饱和度Sw,即可通过图版及判别标准对地层的流体性质进行识别。
利用上述方法对研究区内14口井共25个层段的资料进行了处理,得到了计算的水气比值,并根据所建立的流体判别标准对上述层段进行了流体性质判别,并与实际的测试生产数据进行了对比,计算水气比WGR值与实际资料吻合较好(表 4),解释结果准确率达到92%。
|
|
下载CSV 表 4 文昌A凹陷珠海组储层计算WGR与实际WGR对比 Table 4 Comparison of calculated WGR and actual WGR of Zhuhai Formation in Wenchang A sag |
应用文昌A凹陷珠海组储层水气比流体识别标准图版,对研究区内已投产油井的不同生产层段进行测井解释,为了避免干层段及泥岩隔层对解释结果的准确性产生影响,已经对干层段及泥岩隔层的数据进行了剔除,仅保留了生产层段的数据。图 7为文昌A凹陷WC9-2-1井珠海组二段储层水气比流体识别解释图,3 661~3 679 m,3 681~3 699 m井段的录井资料均显示油气较好,气测录井全烃(Tg)为0.04%~1.32%,轻烃组分较齐全,电阻率为11.25~47.13 Ω·m,平均值为23.25 Ω·m,生产测试资料显示:该层段日产油83.8 m3,日产气2.622万m3,日产水0 m3,测试结论为气层,该段属于正常气层。通过上文中建立的水气比计算模型计算得出该层段水气比均小于2.50,含水饱和度为39.00%~ 62.00%,依据水气比流体识别图版,判别结果为气层,与测试结论相符。
|
下载原图 图 7 文昌A凹陷WC9-2-1井珠海组二段储层水气比流体识别解释图 Fig. 7 Recognition and interpretation of water-gas ratio fluid of the second member of Zhuhai Formation in well WC9-2-1 in Wenchang A sag |
图 8为文昌A凹陷WC9-2-2井珠海组二段储层水气比流体识别解释图,3 755~3 775 m井段录井资料显示油气明显,气测录井全烃(Tg)为0.97%~3.59 %,轻烃组分齐全,该段电阻率为10.42~26.89 Ω·m,平均值为16.54 Ω·m,生产测试资料显示:该层段日产油0 m3,日产气0 m3,日产水1.4 m3,测试结论为水层。通过上文中建立的水气比计算模型计算得出该层水气比普遍大于15.00,含水饱和度为73.00%~96.00%,依据水气比流体识别图版判别结果为水层,与测试结论相符。
|
下载原图 图 8 文昌A凹陷WC9-2-2井珠海组二段储层水气比流体识别解释图 Fig. 8 Recognition and interpretation of water-gas ratio fluid of the second member of Zhuhai Formation in well WC9-2-2 in Wenchang A sag |
(1)水气比流体识别法以实验及生产数据为基础,技术思路可靠,同时模型原理简单,有效地克服了单一利用测井资料识别低对比度气层误差加大的缺陷,计算水气比与地层实际产出吻合,有效提高了流体识别精度,证明该方法能有效判别地层流体性质,地区适用性强。
(2)仅靠含水饱和度判别流体性质误差较高,需结合水气比WGR综合解释。
| [1] |
司兆伟, 孔祥生, 梁忠奎, 等. 低对比度油气层形成机理新认识与测井解释方法研究. 测井技术, 2016, 40(1): 56-59. SI Z W, KOng X S, LIAng Z K, et al. New genesis analysis and log interpretation methods of low -contrast reservoir. Well Logging Technology, 2016, 40(1): 56-59. |
| [2] |
赵艳军, 鲍志东, 付晶, 等. 油气成藏过程对低对比度油层形成的控制作用. 地质科技情报, 2010, 29(2): 71-76. ZHAO Y J, BAO Z D, FU J, et al. Control of hydrocarbon migration and accumulation processes in the low-contrast reservoir. Bulletin of Geological Science and Technology, 2010, 29(2): 71-76. DOI:10.3969/j.issn.1000-7849.2010.02.013 |
| [3] |
陈义国, 任来义, 贺永红, 等. 低对比度储层流体替换识别技术方法与应用. 测井技术, 2013, 37(4): 401-405. CHEN Y G, REN L Y, HE Y H, et al. Fluids replacement identification technology of low-contrast reservoir and its application. Well Logging Technology, 2013, 37(4): 401-405. DOI:10.3969/j.issn.1004-1338.2013.04.013 |
| [4] |
崔云江, 王培春, 李瑞娟, 等. 基于扩散双电层理论的低对比度油层判别新方法. 测井技术, 2018, 42(3): 294-299. CUI Y J, WAng P C, LI R J, et al. New method for discrimination of low contrast reservoir based on diffusion double layer theory. Well Logging Technology, 2018, 42(3): 294-299. |
| [5] |
张海涛, 郭笑锴, 杨小明, 等. 姬塬地区低对比度油层成因机理与流体识别方法. 测井技术, 2019, 43(5): 542-549. ZHAng H T, GUO X K, YAng X M, et al. Genesis mechanism and fluid identification of low contrast reservoirs in Jiyuan area. Well Logging Technology, 2019, 43(5): 542-549. |
| [6] |
张晋言, 刘伟, 李绍霞, 等. 胜利油田上古生界致密砂岩低对比度油藏测井解释模式细分技术. 测井技术, 2018, 42(2): 193-199. ZHAng J Y, LIU W, LI S X, et al. Well logging interpretation model subdivision technique for low contrast reservoir of tight sand reservoir of Neopaleozoic in Shengli Oilfield. Well Logging Technology, 2018, 42(2): 193-199. |
| [7] |
赵静, 冯春珍, 王艳梅, 等. 核磁共振敏感参数在低对比度油层识别中的应用. 测井技术, 2019, 43(3): 316-322. ZHAO J, FEng C Z, WAng Y M, et al. Application of sensitive NMR parameters in oil-water identification of low-contrast reservoirs. Well Logging Technology, 2019, 43(3): 316-322. |
| [8] |
徐宁, 苏幽雅, 王碧涛, 等. 靖安A地区长2低对比度油藏判识研究. 石油化工应用, 2019, 38(6): 96-100. XU N, SU Y Y, WAng B T, et al. Identification research of Chang 2 low contrast reservoir in Jing'an A area. Petrochemical Industry Application, 2019, 38(6): 96-100. DOI:10.3969/j.issn.1673-5285.2019.06.021 |
| [9] |
吴健, 胡向阳, 何胜林, 等. 南海西部油区低阻油层识别与定量评价. 油气地质与采收率, 2014, 21(1): 66-69. WU J, HU X Y, HE S L, et al. Comprehensive identification and quantitative evaluation on low resistivity reservoir in the western South China Sea. Petroleum Geology and Recovery Efficiency, 2014, 21(1): 66-69. DOI:10.3969/j.issn.1009-9603.2014.01.016 |
| [10] |
李义, 周全, 张伟. 陆丰凹陷文昌组储层流体性质识别方法研究. 海洋石油, 2020, 40(1): 70-73. LI Y, ZHOU Q, ZHAng W. Study on identification method of reservoir fluid properties of Wenchang Formation in Lufeng Sunken. Offshore Oil, 2020, 40(1): 70-73. DOI:10.3969/j.issn.1008-2336.2020.01.070 |
| [11] |
段健, 朱露. 南堡油田浅层低对比度油层识别方法研究. 海洋石油, 2018, 38(4): 62-66. DUAN J, ZHU L. Study on identification method of shallow lowcontrast reservoir in Nanpu Oilfield. Offshore Oil, 2018, 38(4): 62-66. DOI:10.3969/j.issn.1008-2336.2018.04.062 |
| [12] |
姜平, 王珍珍, 邹明生, 等. 文昌A凹陷珠海组砂岩碳酸盐胶结物发育特征及其对储层质量的影响. 地球科学, 2021, 46(2): 600-620. JIAng P, WAng Z Z, ZOU M S, et al. Development characteristics of carbonate cement and its influence on reservoir quality in the sandstones from the Zhuhai Formation in the Wenchang A depression. Earth Science, 2021, 46(2): 600-620. |
| [13] |
鹿克峰, 蔡华, 王理, 等. 中国东海气区初始产水评价图版的建立. 天然气工业, 2019, 39(5): 63-70. LU K F, CAI H, WAng L, et al. Establishment of an initial water production evaluation chart for the gas province in the East China Sea. Natural Gas Industry, 2019, 39(5): 63-70. |
| [14] |
汪周华, 王子敦, 郭平, 等. 地层压力和产水对低渗透气藏气井产能的影响. 地质科技情报, 2016, 35(4): 133-138. WAng Z H, WAng Z D, GUO P, et al. Influence of formation pressure and producing water on productivity of gas well in lowpermeability gas reservoirs. Bulletin of Geological Science and Technology, 2016, 35(4): 133-138. |
| [15] |
李凤颖, 刘双琪, 王雯娟, 等. 海相砂岩油藏水淹层精细表征技术研究与实践. 重庆科技学院学报(自然科学版), 2017, 19(1): 9-12. LI F Y, LIU S Q, WAng W J, et al. Fine characterization technique research and practice of water flooded layer in marine sandstone reservoir. Journal of Chongqing University of Science and Technology(Natural Sciences Edition), 2017, 19(1): 9-12. DOI:10.3969/j.issn.1673-1980.2017.01.003 |
| [16] |
陈元千. 相对渗透率曲线和毛管压力曲线的标准化方法. 石油实验地质, 1990, 12(1): 64-70. CHEN Y Q. Standardization on the curves of permeability and capillary pressure. Petroleum Geology & Experiment, 1990, 12(1): 64-70. |
| [17] |
张诗青, 戴诗华, 张晓亮, 等. 核磁共振与半渗透隔板结合确定毛细管压力实验. 新疆石油地质, 2010, 31(6): 647-648. ZHAng S Q, DAI S H, ZHAng X L, et al. Experiment on capillary pressure determination with MNR and semi-permeable plate. Xinjiang Petroleum Geology, 2010, 31(6): 647-648. |
| [18] |
SIMANDOUX P. Dielectric measurements of porous media: Application to measurement of water saturations, study of the behavior of argillaceous formations. Revue de L'Institut Francais du Petrole, 1963, 18(S1): 193-215. |
| [19] |
SHEDID S A, SAAD M A. Comparison and sensitivity analysis of water saturation models in shaly sandstone reservoirs using well logging data. Journal of Petroleum Science and Engineering, 2017, 536-545. |
| [20] |
严伟, 刘帅, 冯明刚, 等. 四川盆地丁山区块页岩气储层关键参数测井评价方法. 岩性油气藏, 2019, 31(3): 95-104. YAN W, LIU S, FEng M G, et al. Well logging evaluation methods of key parameters for shale gas reservoir in Dingshan block, Sichuan Basin. Lithologic Reservoirs, 2019, 31(3): 95-104. |
| [21] |
陈志强, 吴思源, 白蓉, 等. 基于流动单元的致密砂岩气储层渗透率测井评价: 以川中广安地区须家河组为例. 岩性油气藏, 2017, 29(6): 76-83. CHEN Z Q, WU S Y, BAI R, et al. Logging evaluation for permeability of tight sandstone gas reservoirs based on flow unit classification: A case from Xujiahe Formation in Guang'an area, central Sichuan Basin. Lithologic Reservoirs, 2017, 29(6): 76-83. |
2021, Vol. 33


