表征中药提取物(Chinese medicine extracts, CMEs) 的吸湿性及探究吸湿机制一直为中药剂型设计的核心内容之一[1]。在深入研究CMEs吸湿机制之前, 须对吸湿性进行科学描述。由于CMEs所具有的吸湿性通常较强、较快, 目前普遍采用最大吸湿率及初始吸湿速率等指标[2, 3]对提取物的吸湿性进行表征, 未强调指标之间的关系, 并且忽视了整个动态吸湿过程。
CMEs吸湿过程的影响因素较多, CMEs自身的物理性质如多糖、蛋白质、水溶性小分子等物质构成及较大的比表面积等引起强吸湿性[3], 此外制剂环境的温度、气压、湿度等都为吸湿性的重要影响因素[4]。因此, 对吸湿性动态描述时可选择时间、温度、压力、物质的量(空气水分活度) 等为参变量, 绘制动态吸湿曲线, 而后用各种数学模型对动态吸湿曲线进行拟合, 获取能确定唯一曲线特征的多个特征参数[5]。吸湿性的动态二维表征技术从CMEs的动态吸湿过程出发, 选择合适的两个变量, 从不同角度同时对吸湿性进行表征, 从而能更全面说明吸湿性的动态变化, 更具科学性。
降低CMEs的平衡吸湿量, 根据需要控制其吸湿速率对中药固体制剂的生产尤为重要, 利用动态二维表征技术按照吸湿行为对CMEs进行分类, 根据分类制定应对方案, 可节约时间, 减少原料损失, 有效防止因吸湿而导致的制剂稳定性降低。由于大多数情况下以时间为参变量绘制吸湿过程, 因此本文以吸湿率-时间的动态表征为例, 获取曲线的多个相关联的特征参数, 从而构建吸湿性的动态二维表征技术, 选择3种不同类药用部位的中药丹参(Salvia miltiorrhiza)、枳壳(Fructus aurantii)、茯苓(Poria cocos) 的提取物及与辅料的混合物为研究载体, 并运用主成分分析(principal component analysis, PCA)、偏最小二乘法(partial least squares regression, PLS) 等分析该表征技术与粉体自身物性的相关性, 为科学地表征中药制剂前物料的吸湿性提供实验依据。
材料与方法试药 丹参提取物(DS, 批号DST20201209)、枳壳提取物(ZQ, 批号ZQT20201209)、茯苓提取物(FL, 批号20111811) (神威药业集团公司); 可溶性淀粉(SS, 批号171212965F, 南京化学试剂股份有限公司); 无水乳糖(AL, 批号20181219, 郑州食美食品添加剂有限公司); 微晶纤维素(MCC, 批号20190711, 国药集团化学试剂有限公司)。
仪器 BT-1001智能粉体特性测定仪、Bettersize2600激光粒度分布仪(丹东百特仪器有限公司); Regulus-8100扫描电子显微镜(HITACHI日立公司)。
吸湿性的动态二维表征技术的构建 选择时间为参变量, 描述CMEs在常温常压下的动态吸湿过程, 而后对该吸湿率-时间曲线进行数学模型的拟合, 导出能代表该曲线特征的参数, 从吸湿量大小及吸湿快慢2个角度同时描述动态吸湿过程, 构成二维分类体系。研究表明, 大多数CMEs符合双指数模型及一级动力学模型[6], 由于双指数模型的参数较多, 因此选择一级动力学模型进行展开获取平衡吸湿率(F∞)、半吸湿时间(t1/2)、一级动力学常数k及初始吸湿速率K0, 这些指标足以全面描述整个动态吸湿过程。一级动力学模型及泰勒展开式分别见公式(1)、(2), 所导出的指标之间关系见公式(3)、(4)。
| $ F\left(t\right)={F}^{\mathrm{\infty }}\bullet (1-{\mathrm{e}}^{-\mathrm{k}t}) $ | (1) |
| $ F\left(t\right)={F}^{\mathrm{\infty }}\bullet [\mathrm{k}t-\frac{1}{2!}{\left(\mathrm{k}t\right)}^{2}+\dots -\frac{1}{\mathrm{n}!}{(-\mathrm{k}t)}^{\mathrm{n}}] $ | (2) |
| $ {K}_{0}={F}^{\mathrm{\infty }}\bullet \mathrm{k} $ | (3) |
| $ {t}_{1/2}=\mathrm{l}\mathrm{n}2/\mathrm{k} $ | (4) |
其中F∞表征CMEs吸湿总量大小, 反映了吸湿强弱(图 1A); t1/2越小则CMEs越快达到平衡, 也是反映吸湿性强弱的指标。因此, 将F∞、t1/2结合从吸湿总量与吸湿快慢2个角度共同反映吸湿性的强弱, 结合F∞与t1/2构建二维坐标系, 根据大多数CMEs吸湿性的特点, 选择F∞ = 15%[7], 1/t1/2 = 0.1 h-1为坐标中心, 将粉体按吸湿行为划分为4类: ①平衡吸湿量大, 吸湿速度快; ②平衡吸湿量大, 吸湿速度慢; ③平衡吸湿量小, 吸湿速度慢; ④平衡吸湿率小, 吸湿速度快。坐标中任何一点A与O点所构成的阴影部分矩形面积的ln2倍等于初始吸湿速率(图 1B)。
|
Figure 1 Dynamic two-dimensional characterization technique for the hygroscopicity of Chinese medicine extracts (CMEs). A: Dynamic moisture absorption rate with time; B: Two dimensional characterization of hygroscopicity. F∞: Equilibrium hygroscopicity; t1/2: Semi-equilibrium hygroscopicity time |
药辅混合粉体制备 取各CMEs粉体分别加入不同比例的SS、AL、MCC后, 通过6号药典标准筛混合均匀, 混合粉处方见表 1, 混合粉采用“中药名称-辅料名称-辅料比例”的形式进行编码。
| Table 1 Factorial design for the prescription of mixed powder CMEs and excipients (3 × 3 × 3). DS: Salvia miltiorrhiza extract; ZQ: Citrus aurantium extract; FL: Poria cocos extract; SS: Soluble starch; AL: Anhydrous lactose; MCC: Microcrystalline cellulose |
吸湿性(F) 取称量瓶干燥后放置于含有饱和氯化钠溶液(25 ℃, 相对湿度75%) 的恒温恒湿密封箱中饱和24 h, 称定其质量m1。取待测粉体干燥至恒重, 取约1 g粉体平铺于称量瓶中(厚约1~2 mm), 精密称定总质量m2。将上述各称量瓶揭盖置于恒温恒湿密封箱中, 分别于1、2、4、6、8、10、12、24、36、48、72、96、120、144、168 h取出称重m3。各粉体平行测定3次, 吸湿率计算方法见公式(5)[7]。
| $ F=\frac{{m}_{3}-{m}_{2}}{{m}_{2}-{m}_{1}}\times \mathrm{ }100\mathrm{\%} $ | (5) |
粒子形貌 分别取各CMEs、辅料及二者的混合粉样品, 经喷金处理后在扫描电镜下观察各粉体粒子的形貌特征。
休止角(α) 使用智能粉体特性测试仪测定。将待测粉体通过孔径为1 400 μm的筛网, 使其经进料漏斗均匀缓慢堆积在样品平台并形成锥体, 直至形成对称的圆锥体并且在平台周围有粉体落下时, 记录圆锥体斜面与平面的夹角即为休止角。各样品均测定3次, 取平均值。
松装密度(ρb) 使用智能粉体特性测试仪进行测定。取100 mL固定体积容器, 称量容器的质量M0, 取待测样品粉体经振摇过筛落入容器中, 当样品充满密度容器并溢出时停止加料, 用刮板刮去多余的粉体, 称量容器和样品的总质量M1。每种样品均测定3次求平均值。计算方法见公式(6)。
| $ {\rho }_{\mathrm{b}}=\frac{{M}_{1}-{M}_{0}}{100} $ | (6) |
振实密度(ρt) 使用粉体特性测试仪进行测定。取待测粉体一定质量M装入量筒(粉体体积不超过量筒量程), 使量筒振击3 000次, 频率为300次/min, 记录振实后粉体体积, 记为Vt。每种样品测定3次求平均值。计算方法见公式(7)。
| $ {\rho }_{\mathrm{t}}=\frac{M}{{V}_{\mathrm{t}}} $ | (7) |
豪斯纳比(IH) 由ρb和ρt计算而得[8-10], 计算方法见公式(8)。
| $ IH=\frac{{\rho }_{\mathrm{t}}}{{\rho }_{\mathrm{b}}} $ | (8) |
卡尔指数(IC) 由ρb和ρt计算而得[7-9], 计算方法见公式(9)。
| $ IC=\frac{{\rho }_{\mathrm{t}}-{\rho }_{\mathrm{b}}}{{\rho }_{\mathrm{t}}}\times \mathrm{ }100\mathrm{\%} $ | (9) |
粒子间空隙体积(Ie) 单位质量粉体(1 g) 的空隙体积由ρb和ρt计算所得[7-9], 计算方法见公式(10)。
| $ Ie=\frac{{\rho }_{\mathrm{t}}-{\rho }_{\mathrm{b}}}{{\rho }_{\mathrm{t}}\times {\rho }_{\mathrm{b}}} $ | (10) |
粒径及粒径分布 取待测粉体约3 g, 置于Bettersize2600激光粒度分布仪干法进样器金属盒内, 以空气为分散媒介, 根据所设定的方法测定粉体粒径及粒径分布[11, 12], 并根据公式(11)、(12) 计算粒径分布宽度(Span) 以及均齐度(Un)。
| $ Span=\frac{{D}_{90}-{D}_{10}}{{D}_{50}} $ | (11) |
| $ Un=\frac{{D}_{90}}{{D}_{50}} $ | (12) |
含水量(HR) 按照2020版《中国药典》中水分测定法第二法(烘干法) 进行测定[13]。
物性参数的相关性分析 运用SIMCA-P 14.1软件进行PCA及PLS回归分析[14]。通过PCA法对CMEs自身物性的参数进行降维处理, 提取主成分[15, 16]。分别以F∞、t1/2为因变量, 其余各物性指标为自变量构建PLS模型, 根据变量重要性投影值(variable influence on projection, VIP) 筛选出参数贡献率最大的指标, VIP > 1说明该指标对因变量影响较大, 进而分析影响动态二维表征结果与CMEs自身物性的相关性。
结果 1 CMEs及药辅混合物的吸湿率-时间曲线各CMEs及其药辅混合粉体的吸湿率-时间曲线如图 2所示。
|
Figure 2 Hygroscopicity-time curves of DS (A), FL (B), ZQ (C) and their mixing powders with different excipients |
使用一级动力学模型对各CMEs及其与不同辅料的混合粉体的吸湿曲线进行拟合, 按已建立的二维表征方法进行分析(图 3)。
|
Figure 3 Two-dimensional characterization of the hygroscopicity of DS (A), FL (B), ZQ (C) and their mixing powders with different excipients |
由图 3可知, 所测定的3种CMEs均属于第二类, 其F∞与t1/2各不相同; 随着不同种类不同比例的辅料加入, CMEs的吸湿情况均有不同程度改善, 含有30% SS与30% AL药辅混合粉体属于第二类, 但F∞比CMEs略有降低, t1/2略有降低; 50%、70%的AL以及70%的MCC的改善效果更为显著, 这3类药辅混合粉体均属于第三以及第四类吸湿粉体。
3 CMEs混合粉的形貌及物性参数 3.1 粉体粒子形貌观察各CMEs、辅料及其1∶1的混合粉体扫描电镜的形貌如图 4所示。
|
Figure 4 Representative scanning electron photomicrographs of CMEs, excipients and their 50% medicinal auxiliary mixtures. A: DS and its 50% medicinal auxiliary mixtures; B: ZQ and its 50% medicinal auxiliary mixtures; C: FL and its 50% medicinal auxiliary mixtures; D: Pure auxiliaries |
由图 4可见, 所测定的各CMEs的粉体粒子形貌多呈圆球形, 表面光滑, 辅料SS呈球形, AL呈不规则块状, MCC多呈棒状, 而经过混合后, 其表面形态发生明显改变, 各粒子之间大多互相连接, CMEs与50% SS的药辅混合物在电镜下仍可见球形, 表面较为光滑, 但球状粒子大多连接成片, 50% AL的药辅混合物的粒子则连接成更大的片状, 50%的MCC药辅混合物大多聚集为团块状。以上混合粉体与纯CMEs及辅料粒子的形态之间存在一定差异。
3.2 CMEs混合粉的物性参数3种辅料、CMEs及其混合物粉的物性参数如表 2所示。
| Table 2 Physical properties of different powders (n = 3). α: Angle of repose; ρb: Bulk density; ρt: Tapped density; IH: Hausner ratio; IC: Carr index; Ie: Volume of inter-particle voids; HR: Moisture content; Span: Particle size distribution width; Un: Uniformity |
PCA分析共提取了两个主成分, 其中主成分1的方差贡献率为49.3%, 主成分2的方差贡献率为25.4%, 二者贡献率累积74.7%, 二者能较好地解释模型以及变量。PCA得分及载荷见图 5。
|
Figure 5 Principal component analysis (PCA) score diagram (A) and load diagram (B) based on material properties |
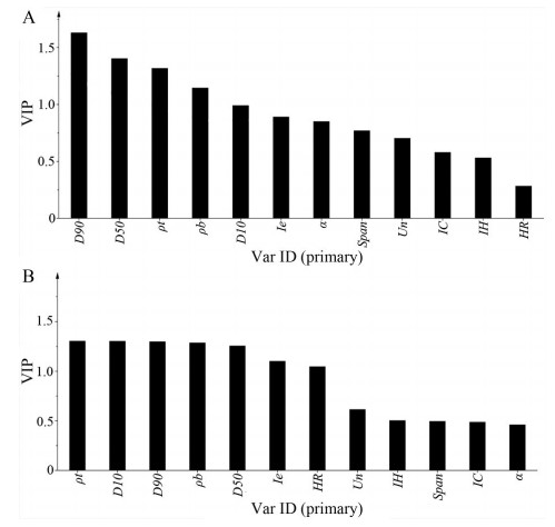
分别以F∞、t1/2为因变量, 其余物料性质为自变量进行PLS分析, 由VIP分布图(图 6) 与回归系数表(表 3) 可看出, 以F∞为因变量, VIP > 1的自变量包括D50、D90、ρb、ρt, 其中D50、D90及ρt回归系数也较大; 以t1/2为因变量, VIP > 1的自变量包括D10、D50、D90、ρb、ρt、Ie、HR, 除Ie外, 其余6个参数的回归系数均较大。
|
Figure 6 Variable influence on projection (VIP) of partial least squares regression (PLS) model with material properties as independent variables. A: F∞ as dependent; B: t1/2 as dependent |
| Table 3 Coefficients of the PLS model with F∞ and t1/2 as dependent variables and material properties as independent variables |
在吸湿性的二维动态表征技术方面, 由于粉体的吸湿是一个吸湿量随着时间增长的非线性动态变化过程, 且该过程持续的时间较长, 因此难以用单一的静态指标表征CMEs的吸湿性。从吸湿率曲线所导出的F∞可表征最终吸湿量的大小, t1/2可表征吸湿速率的快慢, 一般情况下结合这2种表征指标可共同确定一条吸湿曲线, 因此F∞与t1/2可基本描述粉体的动态吸湿过程。此外, F∞与t1/2构建二维表征技术, 可直观表达各粉体的吸湿行为。
按照已构建的二维表征方法对CMEs、辅料及药辅混合粉体的吸湿性进行表征, 将各CMEs及药辅混合粉体按其吸湿行为进行分类, 如所测定的CMEs均属二维表征图中的第二类, 即平衡吸湿量大, 吸湿速率慢; 30% SS与30% AL药辅混合粉体虽也属第二类, 但F∞及t1/2比CMEs略有降低; 70% SS的药辅混合粉体属第一类, 吸湿速率明显加快; 50% AL药辅混合粉体属第三类, 平衡吸湿量明显降低, 吸湿速率也略有加快; 70% MCC的药辅混合粉体, 平衡吸湿量明显改善, 吸湿速率也有明显加快。在固体制剂生产过程中, 降低制剂前物料的平衡吸湿量, 控制吸湿速率是保证制剂质量的关键之一, 可根据吸湿行为分类针对性地挑选辅料, 节约辅料筛选时间, 有效防止因吸湿而导致的制剂稳定性降低。
在粒子形貌对粉体吸湿性的影响方面, 在吸湿性二维表征图中可看出, 所测定的CMEs均属第二类吸湿粉体, 该结果与大多数中药提取物的吸湿特性相符合[17]。各比例SS的药辅混合粉体大多属于第一类和第二类, 50%和70%的AL与MCC药辅混合粉体大多属于第三类和第四类, 吸湿性得到较大改善, 该现象与粉体的粒子形貌有一定的关系: CMEs粒子为光滑圆球形, 与外界接触面较大, 可能更有利于各粒子之间相互黏接而凝聚成团, 从而更利于吸收环境中的水分[18]; 而抗吸湿辅料的加入使得提取物表面会有细小的辅料粒子附着, 提取物粒子与环境的接触面积变小, 平衡吸湿率也降低[19, 20]。
在粉体的物性参数与吸湿性的相关性方面, 可看出CMEs与辅料粉体各自聚成一类, 不同辅料的同一比例药辅混合粉体各自聚成一类, 聚成一类的粉体在吸湿行为上具有一定相似性。结合PCA载荷图可看出, D10、D50、D90等粒径分布参数以及ρb、ρt等密度参数在主成分1上有较大载荷, 表明主成分1代表粉体的空间构造性质, HR以及α、IH、IC等流动性参数在主成分2上有较大载荷, 表明主成分2代表粉体的面性质[5]。不同辅料的同一比例药辅混合粉体在主成分1上有较大差异, 表明主成分1上对应的物料性质参数对各粉体的吸湿性有较大影响, 而主成分2主要体现不同粉体的个体差异。
为进一步探究物料性质对吸湿性的影响, 分别以F∞、t1/2为因变量进行PLS分析, 由结果可知, D50、D90、ρb、ρt对F∞、t1/2均有较大影响, 且均与二者呈负相关, 此外HR对t1/2也存在一定的影响且呈正相关, 结合二维表征结果来看, 辅料比例越高的粉体大多分布在第四类或第三类靠近中心点的位置, 辅料占比越大, 其粒径越大, F∞越小, t1/2越短。
本文以DS、ZQ、FL与不同比例的SS、AL、MCC的药辅混合粉体共33种粉体为例, 构建的CMEs吸湿性动态二维表征技术可将粉体按吸湿行为划分为吸湿率大且吸湿速度快、吸湿率大且吸湿速度慢、吸湿率小且吸湿速度快、吸湿率小且吸湿慢4个类别, 简单、直观地展现不同CMEs粉体的吸湿特征能为批量筛选中药制剂前物料的抗吸湿性辅料提供便利。CMEs及与辅料的混合粉体的形貌、粒径、孔隙率等关键物性是影响F∞、t1/2的关键因素, 这些关键物性与吸湿性的动态二维表征参数之间存在相关性, 该表征技术在某种程度上能反映中药制剂物料的物性状态, 因此吸湿性的动态二维表征技术具有可行性及科学性。此外, 动态二维表征技术不仅用于吸湿性的表征, 该表征技术具有较强的应用推广性, 如润湿性的二维动态表征技术等, 动态表征的参变量可推广为温度、压力、物质的量等, 动态多维的表征思维可运用于表征中药制剂物料的各种物性参数。动态表征技术也可与多维表征技术联合使用, 结合多个参数构成多维动态表征体系, 从不同角度评价却能形成统一整体来描述物料性质特征[5]。
作者贡献: 宁汝曦进行主要实验工作、数据处理及文章撰写; 熊志伟辅助撰写及帮助修改文章; 赵樱霞和胡晓欣辅助进行实验工作; 封亮和贾晓斌指导文章撰写思路及文章修改。
利益冲突: 所有作者声明无任何利益冲突。
| [1] |
Zhao LJ, Wang YJ, Feng Y, et al. Moisture adsorption in Chinese herbal medicine ingredients[J]. Chin J New Drugs (中国新药杂志), 2018, 27: 361-368. |
| [2] |
Yin XQ, Xu JY, Du LJ, et al. Influence of several excipients on damp-proof performance of pharmaceutical materials of traditional Chinese medicine[J]. China J Chin Mater Med (中国中药杂志), 2013, 38: 2297-2301. |
| [3] |
Zhang L, Hu RF. Hygroscopicity of Liuwei Dihuang powder and its correlation of physical properties[J]. Chin Tradit Herb Drugs (中草药), 2013, 44: 2977-2981. |
| [4] |
Du S, Liu MF. Mechanism of hygroscopicity, caking, and stickness of Chinese materia medica extracts[J]. Chin Tradit Herb Drugs (中草药), 2008, 6: 932-934. |
| [5] |
Xiong ZW, Ning RX, Zhao YX, et al. The overview of the property system and characterization techniques of Chinese medicine materials before the pharmaceutical[J]. Acta Pharm Sin (药学学报), 2021, 56: 2048-2058. |
| [6] |
Lin TT, He Y, Xiao X, et al. Study on moisture sorption process model and application traditional Chinese medicine extract powder[J]. China J Chin Mater Med (中国中药杂志), 2010, 35: 847-851. |
| [7] |
State Pharmacopoeia Committee. Pharmacopoeia of the People's Republic of China (中华人民共和国药典) [S]. 2020 Ed. Part IV. Beijing: China Medical Science Press, 2020: 485.
|
| [8] |
Zhang Y, Xu B, Sun F, et al. Physical fingerprint for quality control of traditional Chinese medicine extract powders[J]. China J Chin Mater Med (中国中药杂志), 2016, 41: 2221. |
| [9] |
Zhe L, Fei W, Zhao LJ, et al. Evaluation of fundamental and functional properties of natural plant product powders for direct compaction based on multivariate statistical analysis[J]. Adv Powder Technol, 2018, 29: 2881-2894. DOI:10.1016/j.apt.2018.08.009 |
| [10] |
Wang Q, Xu B, Wang F, et al. Predictive model for hygroscopicity of contents in Guizhi Fuling Capsules[J]. China J Chin Mater Med (中国中药杂志), 2020, 45: 242-249. |
| [11] |
Zeng RG, Jiang QY, Liao ZG, et al. Improvement of powder flowability and hygroscopicity of traditional Chinese medicine extract by surface coating modification technology[J]. China J Chin Mater Med (中国中药杂志), 2016, 41: 2245-2249. |
| [12] |
Ming LS, Li Z, Wu F, et al. Research on compaction behavior of pharmaceutical powders based on surface free energy[J]. Acta Pharm Sin (药学学报), 2017, 52: 1170-1177. |
| [13] |
State Pharmacopoeia Committee. Pharmacopoeia of the People's Republic of China (中华人民共和国药典) [S]. 2020 Ed. Part IV. Beijing: China Medical Science Press, 2020: 114.
|
| [14] |
Cui DD, Zeng LJ, Huang JL, et al. Study on quality grade evaluation of Andrographis Herba based on principal component clustering and PLS regression[J]. Chin Tradit Herb Drugs (中草药), 2019, 50: 3200-3206. |
| [15] |
Zhang YJ, Peng X, Ji QY, et al. HPLC fingerprint of the chloroform extract of Tetrastigma hemsleyanum by cluster analysis and principal component analysis[J]. Chin Tradit Pat Med (中成药), 2016, 38: 607-612. |
| [16] |
Li Z. Design, Tableting Performance Improvements, and Mechanism Analysis About TCM-based Composite Particles (中药复合粒子设计及其压片关键性能改善与机理研究) [D]. Shanghai: Shanghai University of Traditional Chinese Medicine, 2019.
|
| [17] |
Wang YJ, Jia AL, Tang CC, et al. Study on the effect of moisture-proof excipients for Scutellaria baicalensis Georgi extract and its incorporating technology on hygroscopicity[J]. Lishizhen Med Mater Med Res (时珍国医国药), 2018, 276: 88-90. |
| [18] |
Yang J, Wang LQ, Xu TY, et al. Effect of the type of moisture-proof excipients and their addition method on the hygroscopicity of ginseng extracts[J]. Chin Tradit Pat Med (中成药), 2020, 42: 3259-3263. |
| [19] |
Zhang DK, Zhang F, Lin JZ, et al. Study on process and principle of lactose grinding modification to decrease hygroscopic of Rhodiolae Crenulatae Radix et Rhizoma extract[J]. China J Chin Mater Med (中国中药杂志), 2014, 39: 1413-1420. |
| [20] |
Zhang F, Han L, Zhang DK, et al. Process screening and mechanism analysis of lactose micropowder grinding modification to decrease hygroscopicity of Angelicae Dahuricae Radix extract[J]. Chin J Exp Tradit Med Form (中国实验方剂学杂志), 2015, 21: 6-9. |
2022, Vol. 57








