2. 军事科学院军事医学研究院辐射医学研究所, 北京 100850
2. Institute of Radiation Medicine, Academy of Military Medical Sciences, Academy of Military Sciences, Beijing 100850, China
中药活性成分是创新药物研究开发的重要源泉。中药的化学成分比较复杂, 含有多种结构类型, 理化性质差异大, 又含有大量同系物和同分异构体, 这使得在分离纯化时存在很大困难。如何有效提取分离并得到中药中具有活性的单体化合物是当前中药研究的一项重要内容。中药天冬为百合科(Liliaceae)植物天门冬Asparagus cochinchinensis (Lour.) Merr.的干燥块根, 为中医临床常用中药, 具有降血糖[1]、抗炎[2]、抗衰老[3]及抗肿瘤[4]等多种药理作用。本课题组查阅以往相关文献并利用液质联用技术对天冬的化学成分进行分析, 发现目前天冬化学成分研究尚不充分。甾体皂苷是天冬中主要活性成分, 因同分异构体和结构近似同系物的存在, 其分离纯化仍有较大的难度, 很大程度上制约了天冬的质量标准及药效物质基础研究。因此对天冬中甾体皂苷类化合物进行深入研究十分必要。
甾体皂苷是一类由螺甾/呋甾烷类母核与糖链连接而成的糖苷类化合物, 在植物中分布广泛[5]。随着分离技术与方法的发展, 甾体皂苷化学发展迅速, 但由于其结构复杂性, 系统的有效分离仍是一项挑战。甾体皂苷类化合物分离纯化的常规方法包括溶剂萃取法、重结晶及色谱分离法等。其中色谱分离法包括以硅胶柱色谱为主的正相色谱、以ODS柱色谱为代表的反相色谱、大孔吸附树脂柱色谱、葡聚糖凝胶柱色谱以及制备薄层色谱法等。对于甾体皂苷类化合物的分离纯化, 正相与反相柱色谱相结合的分离手段应用最为广泛。分离过程中可先根据目标化合物的性质, 选择合适的溶剂进行提取, 再选择溶剂依次用溶剂萃取法或大孔吸附树脂柱进行粗分。然后根据目标组分的极性, 依次进行硅胶柱色谱、开放ODS柱色谱以及高压制备液相色谱分离, 直至得到单体化合物。如上所述, 由于在分离过程中化合物的具体结构未知, 难以从理论上选择相应色谱柱进行分离, 一般是经验性的依据组分的理化性质选择分离方法, 很少使用手性色谱柱分离。
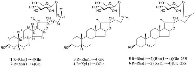
本实验在系统分离天冬中甾体皂苷类成分时, 发现有3个混合物始终无法使用上述方法得到有效分离。针对这些混合物, 本实验系统地筛选了不同分离机制的色谱柱, 最终利用纤维素类型的手性色谱柱对其有效分离, 得到6个单体化合物(1~6), 结构见图 1。结构鉴定显示, 化合物4和6为新的甾体皂苷, 化合物3为首次从天冬中分离得到的甾体皂苷。本文主要介绍化合物1~6的分离纯化及新化合物的结构鉴定过程。
|
Figure 1 Structures of compounds 1-6 |
天冬药材经60%乙醇回流提取, 减压浓缩后得总提物。总提物经AB-8大孔吸附树脂柱分离, 依次用水、10%乙醇、45%乙醇、70%乙醇和90%乙醇进行梯度洗脱, 得到5个部分。其中45%乙醇洗脱部分经MCI和硅胶柱色谱以及C18高效液相制备分离, 得到3个难以有效分离的混合物M1、M2和M3, 质谱信息提示三者均为由2个相差14 Da的化合物组成的混合物。
本研究首先考察不同型号、规格的C18色谱柱对M1的分离效果。3种C18色谱柱对M1均有一定的分离, 但无法达到基线分离的效果。理论上讲, 使用填料粒径更细的色谱柱分离效果会更好。但对于M1来说, 在填料粒径为2.6 μm的C18色谱柱上, 当保留时间已经到60 min的条件下仍无法达到较好的分离, 这提示M1中的2个成分很难应用C18色谱柱达到理想的分离效果。
在C18色谱柱难以有效分离M1的情况下, 尝试使用正相分离机制的酰胺类型色谱柱对M1进行分离。酰胺类型色谱柱XAmide (4.6 mm×250 mm, 5 μm)为中性酰胺键合相类型色谱柱, 使用高比例乙腈-水做流动相时对强极性化合物应有较好的分离效果。在此色谱柱基础上通过变换流动相体系、调整流动相比例进行分离条件优化, 但该色谱柱仍未能有效分离M1, 如图 2A所示。另一个酰胺类型的色谱柱DCpak®PTZ (4.6 mm×150 mm, 3 μm), 它以Poly N-(1H-tetrazole-5-yl)-methacrylamide作为选择剂, 具有较强的保留性和分离选择性, 适用于高亲水性化合物的分离。用此色谱柱进行条件优化时发现其对M1也无分离趋势, 如图 2B所示。
|
Figure 2 Column screening process of M1 and corresponding HPLC chromatograms |
鉴于以上情况, 本实验尝试通过筛选手性色谱柱来优化M1的分离条件。手性色谱柱包括多糖衍生物类键合型手性色谱柱和涂敷型反相手性色谱柱。在筛选了15种不同的手性色谱柱后, 发现纤维素类型的手性色谱柱CHIRALPAK® IC (4.6 mm×250 mm, 5 μm)以25%乙腈作为流动相时, 可有效分离M1, 如图 2C所示。纤维素类型手性色谱柱Lux-i-Cellulose-5 (4.6 mm×250 mm, 5 μm)同样具有良好的分离效果, 如图 2D所示。
应用上述分离过程对M2和M3的分离条件进行了优化, 发现纤维素类型的手性色谱柱也可实现它们的有效分离。综上, 对于M1、M2、M3的分离, 本实验首先选用不同规格的C18色谱柱进行条件优化, 在C18无法有效分离的情况下, 使用了类似正相分离机制色谱柱也无法有效分离。于是筛选了一系列手性色谱柱, 并优化了流动相的种类和比例条件, 最终使用纤维素类型的手性色谱柱CHIRALPAK® IC (4.6 mm×250 mm, 5 μm)和Lux-i-Cellulose-5 (4.6 mm×250 mm, 5 μm), 以25%乙腈为流动相, 达到了良好的分离效果。然后利用色谱柱CHIRALPAK® IC (4.6 mm×250 mm, 5 μm)对M1、M2和M3进行分离制备, 得到6个化合物(1~6), 其中化合物4和6为两个新的甾体皂苷。通过与文献报道的化合物的核磁数据详细比对, 已知化合物被鉴定为aspacochioside A (1)[6]、(25S)-26-O-β-D-吡喃葡萄糖基-呋甾-3β, 22α, 5β, 26-三醇-3-O-β-D-吡喃木糖基-(1→4)-β-D-吡喃葡萄糖苷(2)[7]、(25R)-26-O-β-D-吡喃葡萄糖基-呋甾-3β, 22α, 5β, 26-三醇-3-O-α-L-吡喃鼠李糖基-(1→4)--D-吡喃葡萄糖苷(3)[8]和protodioscin (5)[9]。新化合物结构鉴定过程如下:
化合物4 白色无定形粉末。HR-ESI-MS (negative)显示m/z 889.502 4 [M-H]- (Calcd. for C44H73O18, 889.502 8), 推导其分子式为C44H74O18。HR-ESI-MS (positive)显示的中性丢失碎片离子峰m/z 873.7092[M+H-H2O]+、741.631 9 [M+H-H2O-132]+、579.537 2 [M+H-H2O-132-162]+和417.439 1 [M+H-H2O-132-162-162]+, 提示该化合物含有2个六碳糖和1个五碳糖, 酸水解实验可以进一步确认化合物4中的六碳糖为D-葡萄糖, 五碳糖为D-木糖。1H NMR谱中可见4个特征的甾体皂苷甲基氢信号δ 0.90 (3H, s, CH3-18)、0.87 (3H, s, CH3-19)、0.99 (3H, d, J = 6.7 Hz, CH3-21)和1.36 (3H, d, J = 7.1 Hz, CH3-27)以及3个特征的糖端基氢信号δ 4.83 (1H, d, J = 7.7 Hz)、4.92 (1H, d, J = 7.8 Hz)和5.17 (1H, d, J = 7.7 Hz)。13C NMR谱中共可见44个碳信号, 其中27个归属于甾体皂苷的苷元, 17个归属于3个糖基。详细比对化合物4与aspacochioside A[10]的碳谱数据, 可知二者苷元平面结构相同。1H NMR谱中特征的dd峰δ 3.64 (Hb-26)进一步提示化合物4的C-25位为R构型[11]。C-22化学位移值(δ 110.6)提示C-22位上的羟基应为α构型(对于C-22上的羟基, 当其为β构型时, C-22化学位移值一般在114.0左右)[12, 13]。此外, 根据化合物4与aspacochioside A苷元完全相同的碳谱数据, 可以确定对于处在刚性环状结构上的3-OH和5-H、18-CH3和19-CH3均应为β构型。从特征的糖端氢信号出发, 通过1H-1H COSY相关信号, 进而再结合HSQC相关信号, 可以归属化合物4结构中的3个糖碳氢信号。3个糖的J1, 2均大于7 Hz, 提示3个糖的苷键构型均为β。HMBC谱可见δ 4.92 (H-1')与δ 74.6 (C-3)相关、δ 5.17 (H-1'')和δ 81.0 (C-4')相关以及δ 4.83 (H-1''')与δ 75.4 (C-26)相关, 证明了结构中苷化位置在C-3和C-26, 以及C-3位糖链的组成和连接顺序(图 3)。结合HSQC、HMBC、1H-1H COSY谱分析, 将化合物4的核磁数据进行归属(表 1)。综上所述, 化合物4的结构鉴定为(25R)-26-O-β-D-吡喃葡萄糖基-5β-呋甾-3β, 22α, 26-三醇-3-O-β-D-吡喃木糖基-(1→4)-β-D-吡喃葡萄糖苷。
| Table 1 NMR data of 4 and 6 (600 MHz for 1H NMR, 150 MHz for 13C NMR; pyridine-d5) |
|
Figure 3 Key HMBC (H→C) correlations of compounds 4 and 6 |
化合物6 白色无定形粉末。HR-ESI-MS (negative)显示m/z 1 033.605 5 [M-H]- (Calcd. for C50H81O22, 1 033.606 0), 推导其分子式为C50H82O22。HR-ESI-MS (positive)显示的中性丢失碎片离子峰m/z 1 017.793 6 [M+H-H2O]+、855.705 0 [M+H-H2O-162]+、709.604 6 [M+H-H2O-162-146]+、577.525 0 [M+H-H2O-162-146-132]+和415.426 3 [M+H-H2O-162-146-132-162]+, 提示化合物6含有2个六碳糖、1个甲基五碳糖和1个五碳糖, 酸水解实验进一步确认上述六碳糖、甲基五碳糖和五碳糖分别为D-葡萄糖、L-鼠李糖和D-木糖。1H NMR谱可见4个特征的甾体皂苷甲基氢信号δ 0.90 (3H, s, CH3-18)、1.08 (3H, s, CH3-19)、1.34 (3H, d, J = 6.8 Hz, CH3-21)和1.04 (3H, d, J = 6.6 Hz, CH3-27)以及4个糖的端基氢信号δ 4.95 (1H, d, J = 7.1 Hz)、δ 4.83 (1H, d, J = 7.8 Hz)、δ 5.56 (1H, s)和δ 5.05 (1H, d, J = 7.7 Hz)。13C NMR谱中共可见50个碳信号, 其中27个归属于甾体皂苷的苷元, 23个归属于2个葡萄糖、1个鼠李糖和1个木糖。详细比对化合物6与(25S)-26-O-β-D-吡喃葡萄糖基-Δ5(6)-烯-呋甾-3β, 22α, 26-三醇-3-O-β-D-吡喃葡萄糖基-(1→2)-[β-D-吡喃葡萄糖基-(1→4)]-β-D-吡喃葡萄糖苷[12]的碳谱数据, 可知二者苷元具有相同的平面结构。1H NMR谱中特征的dd峰δ 3.51 (Hb-26)可进一步提示化合物6的C-25构型为S。详细比对化合物6与Ophiopogonin J[14]核磁数据, 发现二者具有相同的C-3糖基结构。HMBC谱中δ 4.99 (H-1')与δ 78.2 (C-3)相关、δ 6.29 (H-1'')和δ 77.5 (C-2')相关、δ 5.05 (H-1''')和δ 81.5 (C-4')相关以及δ 4.86 (H-1'''')与δ 75.4 (C-26)相关,可进一步证明结构中苷化位置(C-3和C-26位)以及C-3位糖链的组成和连接顺序(图 3)。综合分析HSQC、HMBC、1H-1H COSY谱, 对化合物6的结构进行了最终确认, 并对其核磁数据进行归属(表 1)。综上所述, 化合物6的结构鉴定为(25S)-26-O-β-D-吡喃葡萄糖基-Δ5(6)-烯-呋甾-3β, 22α, 26-三醇-3-O-α-L-吡喃鼠李糖基-(1→2)-[β-D-吡喃木糖基-(1→4)]-β-D-吡喃葡萄糖苷。
综上, 针对天冬中较难分离的3个混合物M1、M2和M3, 本实验系统筛选了一系列不同分离机制的色谱柱并对其分离条件进行优化, 发现纤维素类型的手性色谱柱CHIRALPAK® IC (4.6 mm×250 mm, 5 μm)和Lux-i-Cellulose-5 (4.6 mm×250 mm, 5 μm)在流动相为25%乙腈时可达到较好的分离效果。最终利用CHIRALPAK® IC色谱柱对这3个混合物进行分离制备, 得到6个单体化合物。从结构上来看, 每一个混合物中的两个单体化合物在分子量上均相差14 Da (-CH2), 其中一个C-3位糖链末端为木糖, 另一个则为鼠李糖, 但2种糖基的连接位置均相同, 这使得分离难度增加, 又因为其为非手性异构体, 使得研究者们难以想到使用手性色谱柱进行分离。本实验通过色谱柱系统筛选, 意外发现使用纤维素类型手性色谱柱可以有效分离这类混合物, 且具有规律性, 为此类甾体皂苷类似物的分离纯化提供了方法参考。
手性色谱柱往往被用于手性化合物的拆分, 分离度较高, 但在分离天然产物得到单体化合物和鉴定结构之前, 一般不知难以分离的组分是否为对应的手性混合物, 所以很少使用手性色谱柱分离。本实验利用手性色谱柱实现了非手性异构体的有效分离, 使得手性色谱柱不仅仅局限于手性化合物的拆分。这对于天然产物的分离纯化起到一定提示作用。在分离纯化天然产物时, 对于采用常规方法难以分离的化合物, 可尝试使用手性色谱柱进行分离, 可能会有较好的分离效果。
实验部分ESI-MS用Waters SYNAPT G1 MS质谱仪测定; 核磁用Bruker AVANCE III 600型核磁共振仪测定; 分析型液相色谱仪用Agilent 1100系统(配备Alltech ELSD检测器)和Thermo Vanquish Flex系统(配备CAD检测器); 制备型液相色谱仪用江苏汉邦科技NP-7000N泵配备Shodex RI-101示差折光检测器; 分析型色谱柱使Venusil XBP C18 (4.6 mm×250 mm, 5 μm, Agela Technologies), Venusil ASB C18 (4.6 mm×250 mm, 5 μm, Agela Technologies), SilGreen HPLC C18 (4.6 mm×250 mm, 5 μm, SilGreen), XAmide (4.6 mm×250 mm, 5 μm, Acchrom), Kinetex EVO C18 (2.1 mm×100 mm, 2.6 μm, Phenomenex), Kinetex® C18 (4.6 mm×150mm, 2.6 μm, Phenomenex), DC pak® PTZ (4.6 mm×150 mm, 3 μm, DAICEL), CHIRALPAK® IC (4.6 mm×250 mm, 5 μm, Daicel), Lux-i-Cellulose-5 (4.6 mm×250 mm, 5 μm, Phenomenex); 制备型色谱柱使用Venusil XBP C18 (10 mm×250 mm, 5 μm, Agela Technologies), SilGreen HPLC C18 (10 mm×250 mm, 5 μm, SilGreen), SilGreen HPLC C18 (20 mm×250 mm, 5 μm, SilGreen), 动态轴向液压系统(DAC-HB150, 江苏汉邦科技有限公司); 可剪裁型硅胶GF254薄层色谱板(天津思利达科技有限公司); 200~300目柱色谱硅胶(青岛海洋化工厂); 日本三菱生产MCI树脂; 天津浩聚树脂科技有限公司生产AB-8树脂; 日本YMC生产柱色谱用ODS填料; 所有试剂均为分析纯或色谱纯。
天冬药材购自贵州省黔东南苗族侗族自治州施秉县, 经中国医学科学院药用植物研究所郭宝林研究员鉴定为百合科天门冬属植物天门冬Asparagus cochinchinensis (Lour.) Merr.的块根。
1 提取与分离天冬药材100 kg用8倍量60%的乙醇加热回流提取3次(每次1 h), 提取液合并浓缩至无醇味, 离心后将上清液用AB-8大孔吸附树脂柱色谱分离, 依次用水、10%乙醇、45%乙醇、70%乙醇和90%乙醇进行梯度洗脱。45%乙醇部位进行MCI柱色谱分离(150 mm动态轴向压缩系统), 用25%乙腈等度洗脱得到Fr.1~Fr.11, 再用80%乙腈洗脱得到Fr.12。Fr.4、Fr.5和Fr.10分别用直径150 mm动态轴向压缩系统进行C18柱色谱分离, 用23%乙腈恒定洗脱依次得到组分Fr.4-1~Fr.4-12、Fr.5-1~Fr.5-11和Fr.10-1~Fr.10-8。其中, Fr.10-7利用硅胶柱色谱, 使用氯仿-甲醇(4:1、3.5:1、3:1、2:1、1:1)梯度洗脱, TLC检查指导合并组分, 得到Fr.10-7-1~8。Fr.10-7-5利用反相C18色谱柱分离得到混合物M1和M2。M1利用手性色谱柱柱CHIRALPAK® IC (4.6 mm×250 mm, 5 μm)经半制备高效液相色谱分离, 得到化合物1 (5.3 mg)和2 (12.4 mg)。M2利用同样方法分离得到化合物3 (11.1 mg)和4 (9.8 mg)。Fr.10-5利用反相C18色谱柱得到混合物M3, M3再利用手性柱CHIRALPAK® IC (4.6 mm×250 mm, 5 μm)经半制备高效液相色谱分离得到化合物5 (9.0 mg)和6 (10.0 mg)。
2 结构鉴定化合物4 白色无定形粉末; C44H74O18; [α]D20-64.8 (c 0.053, CH3OH); 1H NMR (pyridine-d5, 600 MHz和13C NMR (pyridine-d5, 150 MHz)数据见表 1; HR-ESI-MS: m/z 889.502 4 [M-H]- (Calcd. for C44H73O18, 889.502 8)。
化合物6 白色无定形粉末; C50H82O22; [α]D20-27.8 (c 0.054, CH3OH); 1H NMR (pyridine-d5, 600 MHz)和13C NMR (pyridine-d5, 150 MHz)数据见表 1; HR-ESI-MS (negative): m/z 1 033.605 5 [M-H]- (Calcd. for C50H81O22, 1 033.606 0)。
致谢: 感谢大赛璐药物手性技术(上海)有限公司在手性色谱柱筛选过程中提供的帮助。
| [1] |
Chen HY, Yang XB, Wang JH, et al. Effects of Asparagus cochinchinensis capsule on blood biochemical parameters of alloxan mice[J]. Chin J Inf Tradit Chin Med (中国中医药信息杂志), 2005, 12: 22-23. |
| [2] |
Kim HM, Lee EH, Lim TG, et al. Inhibitory effect of Asparagus cochinchinensis on tumor necrosis factor-alpha secretion from astrocytes[J]. Int J Immunopharmacol, 1998, 20: 153-162. DOI:10.1016/S0192-0561(98)00022-8 |
| [3] |
Li M, Fei Y, Wang JP. Studies pharmacologic effects of Radix asparagi[J]. Lishizhen Med Mater Med Res (时珍国医国药), 2005, 16: 580-582. |
| [4] |
Liagre B, Bertrand J, Lger DY, et al. Diosgenin, a plant steroid, induces apoptosis in COX-2 deficient K562 cells with activation of the p38 MAP kinase signalling and inhibition of NF-kappa B binding[J]. Int J Mol Med, 2005, 16: 1095-1101. |
| [5] |
Wang YY, Kou YK. Extraction, separation and structure of steroidal saponins[J]. Huazhong Norm Univ J Postgraduates (华中师范大学研究生学报), 2007, 14: 143-147. |
| [6] |
Yang YC, Huang SY, Shi JG, et al. Two new furostanol glycosides from Asparagus cochinchinensis[J]. Chin Chem Lett, 2002, 13: 1185-1188. |
| [7] |
Tenji K, Junzo S. Studies on the constituents of Asparagi Radix. I. on the structures of furostanol oligosides of Asparagus cochinchinensis (Loureio) Merrill[J]. Chem Pharm Bull, 1979, 27: 3086-3094. DOI:10.1248/cpb.27.3086 |
| [8] |
Dawid C, Hofmann T. Structure of sensory characterization of bitter tasting steroridal saponins from asparagus spears (Asparagus officinalis L.)[J]. Agric Food Chem, 2012, 60: 11889-11900. DOI:10.1021/jf304085j |
| [9] |
Hu K, Dong AJ, Yao XS, et al. A furostanol glycoside from rhizomes of Dioscorea collettii var. hypoglauca[J]. Phytochemistry, 1997, 44: 1339-1342. DOI:10.1016/S0031-9422(96)00750-9 |
| [10] |
Shi JG, Li GQ, Huang SY, et al. Furostanol oligoglycosides from Asparagus cochinchinensis[J]. J Asian Nat Prod Res, 2004, 6: 99-105. DOI:10.1080/1028602031000135576 |
| [11] |
Agrawal PK. NMR spectroscopy in the structural elucidation of oligosaccharides and glycosides[J]. Phytochemistry, 1992, 31: 3307-3330. DOI:10.1016/0031-9422(92)83678-R |
| [12] |
Zou K, Wang JZ, Du M, et al. A pair of diastereoisomeric steroidal saponins from cytotoxic extracts of Tupistra chinensis Rhizomes[J]. Chem Pharm Bull, 2006, 54: 1440-1442. DOI:10.1248/cpb.54.1440 |
| [13] |
Dini I, Tenore GC, Trimarco E, et al. Furostanol saponins in Allium caepa L. var. tropeana seeds[J]. Food Chem, 2005, 93: 205-214. DOI:10.1016/j.foodchem.2004.09.015 |
| [14] |
Zhang T, Kang LP, Yu HS, et al. Steroidal saponins from the tuber of Ophiopogon japonicus[J]. Steroids, 2012, 77: 1298-1305. DOI:10.1016/j.steroids.2012.04.015 |
2020, Vol. 55





