| 基于灰色关联度的砂岩加载过程中AIRT 演化特征研究 |
2. 福建马坑矿业股份有限公司,福建 龙岩 364000;
3. 河北联合大学矿业工程学院,河北 唐山 063000
2. Fujian Makeng Mining Co. Ltd., Longyan 364000, China;
3. Faculty of Mining and Engineering, Hebei United University, Tangshan 063009, China
岩石受力变形产生热效应,进而造成其表面温度场变化是岩石的普遍现象.诸多学者借助热红外探测仪器对岩石加载过程的红外温度场进行了大量的观测试验研究,研究中平均红外辐射温度(average infrared radiation temperature, AIRT)时序曲线应用非常广泛.崔承禹等[1-4]将遥感技术引入岩石力学领域对AIRT 与应力的关系进行了大量的研究,并提出了遥感岩石力学这一新概念.吴立新等[5-7]分别研究了多种岩石(煤岩等) 在单轴、双轴加载、压剪等作用下AIRT 时序变化特征.刘善军等[8-13]以AIRT 为重要的红外辐射特征参数,研究了单轴荷载作用下岩石的温变机制和灾变前兆,认为岩石破裂失稳前AIRT-时间曲线变化趋势具有明显的红外异常前兆.
通过AIRT 时序曲线观察和对比,前人对辉长岩、片麻岩、花岗岩、大理岩、石灰岩等岩石单轴加载过程中AIRT 时序曲线进行了分类研究[13-14],但是试件岩性、物理力学性质不同,AIRT 时序曲线形式上往往复杂多样,共性特征隐蔽,难以提炼出统一、明确的分类指标.如果从数量分析的角度,根据序列之间发展趋势的相似或相异程度,对AIRT 时序曲线进行分类,再对各类曲线的共性特征进行分析,将有助于简化分类过程,优化分类结果.
因此,本文先对原时间序列重采样,来统一各AIRT 时间序列的长度; 再运用归一化方法去除量纲、统一温变范围;最后,对预处理过的时间序列进行灰色关联度计算和聚类分析.研究方法和结果,对不同物理力学条件下岩石AIRT 演变特征分析研究及岩石灾变预测,具有一定的参考意义.
1 单轴压缩下粉砂岩红外观测实验试验用粉砂岩制作试件,其尺寸为50 mm×50 mm×100 mm, 试验前,预制5 块试件,分别标号为s1,s2,s3,s4,s5.试验开始,各台设备同时打开,将各监测仪器的时钟调为一致,进行同步监测,以便后期进行试验数据处理与分析.试验中,采用饲服压力试验机(型号RLW-3000,最大轴向试验力3 000 kN,最大横向试验力1 000 kN,试验力测量精度±1 %)对各试件进行单轴加载,加压速率匀速,保持0.2 mm/min, 直至试件破裂.采用美国SC3000 红外实时成像系统(系统的空间分辨率为320×240 像素,光谱范围在8~12 μm, 温度灵敏度达到0.03 ℃,成像速率调为50 s-1)进行观测,记录加载过程中各试件表面的温度场变化信息.借助高分辨率数字摄像机(CCD,1 624×1 236 像素)观测岩石表面破裂的产生及演化过程.试验期间为了弱化环境对试件红外辐射的干扰,实验员务必提前关好门窗、禁止走动.
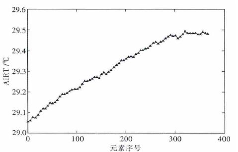
2 试验数据处理与分析 2.1 AIRT 时间序列重采样一个时间序列数据的采样点(时间或空间上)个数称为维数[15].试验中红外热像仪每秒可获50 张具有时间顺序的热图像,持续监测直到岩石破裂,可得一个维数过万的热图像序列,经运算又可转化为维数过万的AIRT 时间序列(称“原AIRT 时间序列”).各试件虽经过从加载开始到破坏的全过程,但加载时间各不同,导致各试件的原AIRT 时间序列维数较高且不统一,对原AIRT 时间序列进行数量分析造成了诸多不便.而且从理论上讲,同种岩性的试件加载过程中的AIRT 时间曲线具有类似的阶段性和变化趋势,因此,首先在不影响其基本变化趋势的前提下,对原AIRT 时间序列进行重采样,将同一试件的AIRT 时间序列按等时间间隔采样,令不同试件的AIRT 时间序列采样间隔不同,以实现试件的AIRT 时间序列各维数统一.为了与原AIRT 时间序列加以区别,简称重采样得到的AIRT 时间序列为“AIRT 时间序列”.显然,所得不同试件的AIRT 时间序列,相同序列号对应的采样时刻不相同,但各序列维数统一,可取AIRT 时间序列的序列号为横坐标,做出AIRT 时序曲线,以便进行对比研究.受采样间隔约束,将维数固定为376,对各试件的原AIRT 时间序列分别均匀采样,做出的AIRT 时序曲线对比图如图 1(a)所示.
![]() |
| 图 1 各试件AIRT 时序曲线对比图 |
另外,按照采样率相同的原则,也可对原AIRT时间序列重采样.为比较2 种重采样效果,取采样率为1 张/s, 对各试件的原AIRT 时间序列重采样,作出的各AIRT 时序曲线对比图如图 1(b)所示.
图 1各曲线表示从加载开始到破坏过程中,试件AIRT 演变过程,从图 1 中可看出,2 种重采样方法所得时序曲线几何形态相似;图 1(a)中各曲线的横坐标作图区间相同,更有利于对应阶段对比分析,而图 1(b)则各不相同;而且2 图中各个曲线的纵坐标变化幅度较小,且取值范围不一,导致各曲线的阶段变化细节体现不充分,不便对曲线进行深入的对比分析.
2.2 AIRT 时间序列归一化为使各时序曲线的取值范围统一,增强其可比性,运用了归一化方法[16-17]对AIRT 时间序列进行平移和缩化,使其消除量纲并归化到[0, 1]区间上,同时又不改变原时序曲线的几何形态.由于归一化方法不唯一,这里选用了线性函数转换,表达式如下:
|
其中,x、y 分别为转换前、后的值;VMax、VMin分别为序列最大值和最小值.
AIRT 经归一化转化为标准化平均红外辐射温度(normalized average infrared radiation temperature, NAIRT);AIRT 时间序列经归一化转化为NAIRT 时间序列.为说明归一化处理的效果,做出了部分试件的NAIRT 时序曲线对比图,如图 2 所示.
![]() |
| 图 2 部分试件NAIRT 时序曲线对比图 |
由图 2 可以看出,通过重采样和归一化处理,各试件的AIRT 时序曲线的作图区间得到了统一,各曲线的阶段变化细节体现地更加充分,有利于进行曲线之间更具体的对比分析.另外,亦可定性看出,图 2 中两曲线的曲线几何形状具有一定的相似性.
2.3 NAIRT 时序曲线灰色关联聚类分析将序列曲线几何形状的相似程度用关联度表示,来衡量曲线关联的紧密程度,是灰色关联分析的基本思想,一般相应序列之间的关联度越大,曲线就越接近,反之,就越不相近.灰色关联聚类是将曲线群中几何形状相似程度较高的曲线进行归并,以简化复杂的分析对象.
若记经预处理的母数列为{x0 (t)},子数列为{xi(t)},在k 时刻,{x0(k)}与{xi(k)}的关联系数ε0i(k)计算公式如下:
|
其中,△0i(k)为k 时刻两序列的绝对差,即,
|
△min, △max分别为各时刻绝对差中最大和最小值;ρ 为分辨系数,用于突出关联系数间差异的显著性,ρ∈(0,1),通常取0.5.
该两序列的关联度γ0i与关联系数关系如下:
|
其中,N 为序列长度即数列中元素个数.
本文对5 条NAIRT 曲线进行了灰色关联分析,运用MATLAB 计算两两曲线之间关联度,构建关联矩阵,由于序列xi和xk的关联度xk和xi的关联度相同,故只取关联矩阵的上三角阵如表 1 所示.
| 表1 NIART 序列关联矩阵上三角阵 |
![]() |
| 点击放大 |
利用表 1 可以对各时序曲线进行分类,临界值根据实际问题的需要取值,一般大于0.5,r 越接近1,分类就越细.令r=0.7,从第一行开始检查,挑出大于0.7 的关联度,则有:
|
从而可知x1,x3,x5序列可归为一类;x2,x4序列在同一类中.将第Ⅰ类时序曲线作出如图 3 所示.取类Ⅰ各序列求均值序列(由类内序列相加再除以序列组数所得)并作为该类的代表,来表征砂岩试件加载直到破坏过程中的AIRT 演化特征,做出曲线如图 4 所示.
![]() |
| 图 3 第Ⅰ类NAIRT 时序曲线对比图 |
![]() |
| 图 4 第Ⅰ类AIRT 时序曲线典型曲线 |
从图 3 可以看出,各曲线兼有波动性和趋势性,就变化趋势而言,它们具有高度的一致性,不同点在于临破坏前曲线斜率或减小或转负; 就波动性而言,其剧烈程度不同,与试件的内部结构,均匀性有关.该类曲线占总数的60 %,具有明显的灾变红外异常前兆,其主要特征可以概括为曲线前期波动或线性上升,灾变前曲线斜率减小或转负.
2.4 应力和AIRT 时序曲线对比以s1试件为代表,来反映第Ⅰ类AIRT 时序曲线与应力时序曲线之间的关系,图 5 为试件s1加载过程的应力与AIRT 时序曲线对比图.
![]() |
| 图 5 试件s1加载过程中应力与AIRT 时序曲线对比图 |
试件s1加载过程中,应力和AIRT 属于同步监测,在B 时刻,试件表面片帮,停止红外观测.从图 5中可看出,加载初始,应力变化较小,相对而言,岩石AIRT 变化明显,对外载作用更灵敏;A 时刻以前,从应力时间曲线来看,属于微裂隙压密阶段和弹性变形阶段前期,该时期AIRT 时间曲线总趋势为上升,局部上升与下降交替,但上升较下降更为剧烈;A 时刻以后,从应力时间曲线来看,属于弹性变形阶段后期、微裂隙发生和扩展阶段、裂隙不稳定发展直到破裂阶段,该时期AIRT 时间曲线总趋势为下降,表现出明显的灾变红外异常.
3 讨论由于砂岩孔隙率相对较高,这些空隙可为砂岩颗粒间产生相对位移提供空间,所以,在微裂隙压密阶段和弹性变形阶段前期,砂岩内部会随着外在压力的增加,而产生摩擦热效应.砂岩在受压的过程中,持续变形,会因内部质点强度不一而产生张破裂,进而产生吸热效应,张破裂又可为颗粒间的摩擦提供空间.因此,微破裂导致的吸热效应与摩擦产生的热效应会同时存在,当前者占优,则AIRT 时序曲线的下降,后者占优,则AIRT 时序曲线的上升,进而导致AIRT 时序曲线局部上升与下降交替.
在微裂隙压密阶段和弹性变形阶段前期,由于原微裂隙被压密且新裂隙产生较少,受压试件的体积逐渐减小,摩擦热效应总体占优,所以该时期AIRT 时间曲线总体为上升趋势.而在弹性变形阶段后期、微裂隙发生和扩展阶段、裂隙不稳定发展直到破裂阶段,新裂隙大量产生,由于扩容作用,受压试件的体积逐渐增加,吸热效应总体上强于摩擦热效应,所以,该时期AIRT 时间曲线呈下降趋势.
裂隙产生过程中,分子间作用力做负功而吸热作用增强.根据文献[8],当微破裂的性质为张性时,由于张裂隙产生过程中摩擦作用较弱,使得吸热效应强于摩擦热效应,导致温度下降;而当微破裂为剪裂隙时,破裂面会发生错动和摩擦,因而有摩擦热效应加强,强于吸热效应,导致温度上升.裂隙的性质由裂隙面与最大主应力之间夹角决定,受到原微裂隙初始状态(形状、倾角等)的影响.由于不同试件中原微裂隙的初始状态不同,新微裂隙面与最大主应力之间夹角多样,摩擦热作用程度不同.因此,在加载后期,微裂隙大量产生,AIRT 呈下降趋势,砂岩的第Ⅰ类AIRT时序曲线表现为斜率减小或转负.
4 结论1) 按照固定维数、均匀采样的原则对原始AIRT时间序列重采样,可降低和统一其维数,有利于对各序列进行数量分析.
2) 运用归一化方法对AIRT 时间序列进行平移和缩化,可在不改变原AIRT 时序曲线的几何形状的前提下,增强时序曲线之间的可比性.
3) 聚类分析所得第Ⅰ类曲线,占试件总数的60 %,其突出特征为灾变前曲线斜率减小或转负,是粉砂岩受力灾变的重要红外异常前兆.
4) 通过灰色关联聚类分析,根据序列间发展趋势的相似或相异程度,可简化分类过程,快速对AIRT时序曲线进行分类,优化分类结果.
| [1] | 耿乃光, 崔承禹, 邓明德. 岩石破裂实验中的遥感观测与遥感岩石力学的开端[J]. 地震学报, 1992, 11(增刊1): 645–652. |
| [2] | 崔承禹, 邓明德, 耿乃光. 在不同压力下岩石光谱辐射特性研究[J]. 科学通报, 1993, 38(6): 538–541. |
| [3] | 耿乃光, 崔承禹, 邓明德, 等. 遥感岩石力学及其应用前景[J]. 地球物理学进展, 1993, 8(4): 1–7. |
| [4] | 邓明德, 耿乃光, 崔承禹, 等. 岩石红外辐射温度随岩石应力变化的规律和特征以及与声发射率的关系[J]. 西北地震学报, 1995, 17(4): 79–86. |
| [5] | 吴立新, 王金庄. 煤岩受压红外热像与辐射温度特征实验[J]. 中国科学(D 辑:地球科学), 1998, 28(1): 41–46. |
| [6] | 吴立新, 刘善军, 吴育华, 等. 遥感-岩石力学(I)———非连续组合断层破裂的热红外辐射规律及其构造地震前兆意义[J]. 岩石力学与工程学报, 2004, 23(1): 24–30. |
| [7] | 吴立新, 刘善军, 吴育华, 等. 遥感-岩石力学(IV)———岩石压剪破裂的热红外辐射规律及其地震前兆意义[J]. 岩石力学与工程学报, 2004, 23(4): 539–544. |
| [8] | 刘善军, 吴立新. 脆性岩石与有机玻璃受力红外辐射特征的比较[J]. 岩石力学与工程学报, 2007, 26(增刊2): 4183–4188. |
| [9] | 刘善军, 吴立新, 吴焕萍, 等. 多暗色矿物类岩石单轴加载过程中红外辐射定量研究[J]. 岩石力学与工程学报, 2002, 21(11): 1585–1589. |
| [10] | 刘善军, 吴立新, 张艳博, 等. 潮湿岩石受力过程红外辐射的变化特征[J]. 东北大学学报(自然科学版), 2010, 31(2): 265–268. |
| [11] | 张艳博, 刘善军. 含孔岩石加载过程的热辐射温度场变化特征[J]. 岩土力学, 2011, 32(4): 1013–1017. |
| [12] | 刘善军, 吴立新, 张艳博. 岩石破裂前红外热像的时空演化特征[J]. 东北大学学报(自然科学版), 2009, 30(7): 1034–1038. |
| [13] | 谭志宏, 唐春安, 朱万成, 等. 含缺陷花岗岩破坏过程中的红外热像试验研究[J]. 岩石力学与工程学报, 2005, 16: 2977–2981. |
| [14] | 吴立新, 刘善军, 吴育华. 遥感岩石力学引论-岩石受力灾变的红外遥感[M]. 北京: 科学出版社 , 2007: 126-132. |
| [15] | 郑诚, 欧阳为民, 蔡庆生. 一种有效的的时间序列维数约简方法[J]. 小型微型计算机系统, 2002, 23(11): 1380–1383. |
| [16] | 孙晓立, 莫海鸿, 杨敏. 抗拔桩荷载-位移曲线的归一化[J]. 华南理工大学学报(自然科学版), 2008, 36(11): 114–120. |
| [17] | 刘思峰, 党耀国, 方志耕, 等. 灰色系统理论及应用[M]. 北京: 科学出版社 , 2010: 64-65. |
2015, Vol. 







