| 基于小波的某矿爆破地震波衰减系数的回归与分析 |
振动是爆破的三大危害之一[1],是炸药能量的后续传播,因其多变性、复杂性、难以预测性,经常对构筑物造成直接或间接危害.因此,借助数学方法对监测获取的爆破振动信号进行分析,获取准确的时频信息,为爆破设计和振动控制提供基础和依据[2],意义深远.
小波变换是近年来爆破振动时频分析的热点,林建等[3]通过小波技术研究3~4层房屋的振动响应规律,为防震减震提供了依据;徐学勇等[4]借助改进的小波模极大值法去噪,获得了高信噪比的信号;吕涛等[5]对爆破振动信号作萨道夫斯基公式拟合,得出线性和非线性的回归预测公式都是可行的,但非线性公式准确度更高.小波处理爆破振动信号时,针对低频采用宽时窗提高频域分辨率,针对高频则采用窄时窗提高时域分辨率[6],与传统傅里叶变换相比,信号在时域和频域都得到了较好的体现.
1 矿山爆破测试 1.1 矿山爆破某矿位于地表侵蚀面以上,矿体平均倾角∠71°,矿岩类型为炭硅质岩夹泥岩和泥岩型钒矿石,顶、底板岩石稳固;矿区含水层少,岩组富水性较弱,水文地质情况较好.该矿采用水平扇形深孔阶段矿房法采矿,矿房沿走向布置,长度56 m,宽度12.70 m,阶段高度50 m,顶柱5 m,间柱6 m.炮孔由YT-28型钻机钻进,孔径62~65 mm,孔深5~20 m,炮孔以扇形形式布置,炮孔崩矿采用导爆管雷管孔内微差起爆方式起爆.
1.2 仪器设置为获取爆破地震波传播衰减规律,回归计算出爆破振速衰减公式,特对该矿采场崩矿爆破进行监测,获取爆破震动信号.监测仪器是加拿大生产的BlastmateIII型爆破测振仪,其传感器触发值设置为0.01 mm/s,采样率为1 024,采样持续时间设为3s.
2 爆破振动信号小波去噪图 1是源信号,由于监测仪器误差、外部环境干扰、传播介质等因素的影响[7],其波形复杂,混入了大量高频噪声.为获取准确的信号,避免实验精度出现过大的偏差,需要对源信号进行去噪处理.
![]() |
| 图 1 爆破振动源信号 |
基于小波变换的信号去噪方法众多,其中,小波重构去噪过于精简,强制将噪声频带置零,容易丧失有用信号;模极大值去噪、平移不变法去噪程序复杂,计算速度缓慢,操作不便[8];小波阈值法去噪能够得到信号的近似最优估计,去噪效果明显,很好地保留了信号的原始特征,适应性广泛[9-10].故采用小波阈值法对信号进行去噪处理,其步骤是:首先,选择合适的小波基对信号进行j(j=1、2,…)层分解;其次,提取高频系数Dj和低频系数Aj,并设置正确合适的阈值处理Dj,保留信号的有用部分;最后,将经阈值去噪后的高频系数Dj与低频系数Aj重构形成新的信号.
2.1 最佳小波基的选取现有小波技术基函数众多,并非所有的小波基都能取得良好的分解效果[11-12].文章分别采用常用的db5、db8、sym7对信号进行分解(见图 2)并求重构误差(见图 3),对比可知sym7小波是处理该矿山爆破振动信号的最佳小波基,其分解得到的低频信号与原始信号接近,且重构差值仅为5×10-13 cm/s.
![]() |
| 图 2 信号的分解 |
![]() |
| 图 3 重构误差 |
2.2 阈值去噪
阈值法是D.L.Donoho提出一种方便有效的信号去噪方法,分为硬阈值法、默认阈值法和软阈值法,前人研究得出软阈值法具有更优的去噪效果[13].文章分别采用heursure、rigrsure、sqtwolog、minimaxi 4种软阈值函数对经sym7分解后的高频系数Dj进行处理,获取干净的信号(见图 4),对比可知,4种阈值去噪方法都能够得到光滑的信号,但整个时间长度范围rigrsure阈值函数的去噪差值较大,去噪差值波形与噪声性质相一致,干净信号的尖点和细节部位保留完好,故rigrsure阈值函数的去噪效果更好,获取的信号更准确.
![]() |
| 图 4 >heursure、rigrsure、sqtwolog、minimaxi去噪 |
3 爆破振动信号衰减规律
现阶段,国内外普遍采用萨道夫斯基经典公式
| 表1 第1次测试数据 |
![]() |
| 点击放大 |
| 表2 第2次测试数据 |
![]() |
| 点击放大 |
线性拟合的基本原理是对萨道夫斯基公式等号两边取对数得到式(1),如果令y=lnv,x=(1/3lnQ-lnR),b=lnk,则可变形为标准的线性公式y=ax+b.
| $ \ln v = \ln k + a\left( {1/3\ln Q - \ln R} \right) $ | (1) |
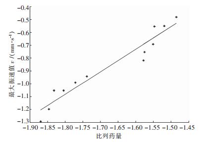
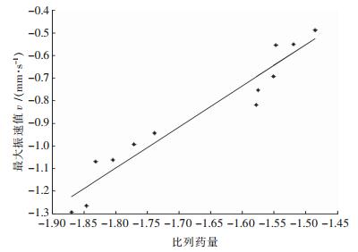
拟合结果见图 5、图 6,爆破震动信号数据分布比较集中,无需去除分散点.原始数据得到的k=120.495 5,a=1.757 3,相关系数R=0.964 4.;小波rigrsure阈值函数去噪后的数据得到的k=150.600 1,a=1.820 3,相关系数R=0.964 7.它们对应的萨道夫斯基公式分别为式(2)、式(3),去噪前后拟合的k,a值相差较大,相关系数由0.964 4提高到0.964 7,证明拟合效果更佳.根据《爆破安全规范》(GB6722-2011),爆区不同岩性的k、a值(表 3)与该矿实际的矿体,顶、底板岩性(表 4),可知该矿的岩体属中硬岩石,消噪后的萨道夫斯基公式更符合该矿的岩性.
![]() |
| 图 5 源数据拟合 |
![]() |
| 图 6 去噪后数据拟合 |
| $ v = 120.495\;5{\left( {\frac{{{Q^{1/3}}}}{R}} \right)^{1.757\;3}} $ | (2) |
| $ v = 150.912\;8{\left( {\frac{{{Q^{1/3}}}}{R}} \right)^{1.820\;7}} $ | (3) |
| 表3 爆区不同岩性的k,a值 |
![]() |
| 点击放大 |
| 表4 岩石性质 |
![]() |
| 点击放大 |
4 结论
1)对db5、db8、sym7等常用的3种小波基函数对信号进行分解、重构,并求重构误差,得出sym7函数为处理所测爆破振动信号的最佳小波基.
2)对爆破振动信号进行尺度为5的小波分解,并heursure、rigrsure、sqtwolog、minimaxi 4种阈值函数对高频系数dj-k去噪处理,得出rigrsure阈值函数去噪效果最佳.
3)对所测源始信号和经rigrsure阈值函数去噪后的信号分别进行萨道夫斯基公式拟合,去噪后相关系数R得到了提高,去噪后得到的公式更符合该矿的岩性.
| [1] | 夏红兵, 汪海波, 宗琦. 爆破震动效应控制技术综合分析[J]. 工程爆破, 2007, 13(2): 83–86. |
| [2] | 唐飞勇, 王意堂, 梁开水. 爆破振动信号特征分析的应用探讨[J]. 爆破, 2010, 27(4): 109–112. |
| [3] | 徐学勇, 程康. 爆破震动信号模极大值小波消噪方法的改进[J]. 爆炸与冲击, 2009, 29(2): 194–197. |
| [4] | 吕涛, 石永强, 黄诚, 等. 非线性回归法求解爆破振动速度衰减公式参数[J]. 岩土力学, 2007, 28(9): 1871–1877. |
| [5] | 陈士海, 魏海霞, 杜荣强. 爆破震动信号的多分辨小波分析[J]. 岩土力学, 2009(30): 135–139. |
| [6] | 林键, 林从谋, 林丽群. 爆破振动荷载作用下3~4层房屋结构响应测试研究[J]. 振动与冲击, 2010, 29(3): 48–50. |
| [7] | 中国生, 徐国元, 赵建平. 基于小波变换的爆破地震信号阈值去噪的应用研究[J]. 岩土工程学报, 2005, 27(9): 1055–1059. |
| [8] | 文莉, 刘正士, 葛运建. 小波去噪的几种方法[J]. 合肥工业大学学报:自然科学版, 2002, 25(2): 167–172. |
| [9] | 张旭东, 詹毅, 马永琴. 不同信号的小波变换去噪方法[J]. 石油地球物理勘探, 2007, 42: 118–123. |
| [10] | 唐进元, 陈维涛, 陈思雨. 一种新的小波阈值函数及其在振动信号去噪分析中的应用[J]. 振动与冲击, 2009, 28(7): 118–120. |
| [11] | 赵建平, 徐国元, 李永刚, 等. 基于小波变换的爆破振动信号分解与重构[J]. 江西有色金属, 2007(2): 11–14. |
| [12] | 中国生.基于小波变换爆破震动分析的应用基础研究[D].长沙:中南大学, 2006. http://cdmd.cnki.com.cn/Article/CDMD-10533-2007172808.htm |
| [13] | 李永刚.基于小波与小波包变换爆破振动分析的应用研究[D].长沙:中南大学, 2006. http://cdmd.cnki.com.cn/Article/CDMD-10533-2007172808.htm |
| [14] | 张天军, 马锐, 乔宝明, 等. 爆破震动中萨道夫斯基拓展式的回归分析[J]. 湖南科技大学学报:自然科学版, 2012, 27(1): 12–16. |
2014, Vol. 5











