| 主应力空间等向强化数学方程与几何描述 |
|
(1) |
本文给出了稳定材料比例加载条件下后续屈服当硬化指数f′≈n≠E=tanα时,式(1)数学方程的具体形式并几何描述强化曲面.
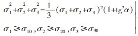
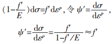
1 单向拉伸强化如图 1,A点对应弹性应变的应力球分量为:
|
(2) |
![]() |
| 图 1 单向拉伸初始与后继屈服 |
式(2)中:σ2=σ3=0;σs0为初始屈服点.
B点为σ1=σs,σs>σs0,
|
(3) |
|
(4) |
|
(5) |
|
(6) |
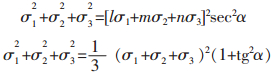
(5)、式(6)表明单向拉伸后续屈服极限σs的增加伴随着εm与σm的增加.在等倾空间εm的变化取决于屈服柱面轴线oH与原点O的距离,如图 2.称该距离为球应力矢量[4-5],即ON02 =3σ2 m0,为此σm的增加意味着材料的硬化使后续屈服柱面的垂直截面沿H离原点越来越远.由于多数强化材料后续屈服发生总伴随一定递增的平均应力,故平均应力增加幅度决定了初始屈服轨迹与后续屈服轨迹在Mises柱面上沿H移动的垂直距离(若存在异号主应力,且σm=σ1+σ2+σ3=0,则π平面经过原点,σm与强化无关);而屈服半径的增加决定于偏差应力增加的幅度或后续硬化指数f′.
![]() |
| 图 2 屈服柱面 |
2 等斜率强化曲面方程
如图 2,设复杂应力状态在等倾空间上的位置为P0(σ10,σ20,σ30),且该点发生初始屈服.于是

|
令初始屈服时应力矢量
|
(7) |
需指出,对比例加载,当应力矢量在Mises空间的方向不改变,即后续屈服发生时硬化指数为常数或f′=tgα时,则初始屈服柱面内各点均处于弹性状态,故图 2中以H为轴心,矢量
|
上式表明在H上的点满足σ1=σ2=σ3.
对于
|
(8) |
|
(9) |
sinα=PN/OP,将式(8)、式(9)代入得:
|
展开、整理并注意到[6]sec2α=1+tg2α,得:
|
(10) |
式(10)即为图 2弹性锥面Oaa′的曲面方程.对比例加载,且f′=tgα为常数,将式(7)代入式(10)得
|
(11) |
式(11)中σ10,σ20,σ30为初始屈服应力矢量端点的坐标,α为弹性硬化锥角.式(10)、式(11)为主应力空间以坐标σ1,σ2,σ3为变量的弹性二次锥面方程的不同形式.圆锥轴线σm等倾54°44′.
欲检验式(10)与式(11)的可靠程度,将弹性锥面边界点P0(σ10,σ20,σ30)代入式(11)得:
|
展开并整理得:
|
(12) |
即为初始Mises屈服准则.说明式(11)无误.
设后续屈服某瞬时强化材料的屈服应力为σs,应力矢量为
|
(13) |
由高等数学(x1-x2)2+(x2-x3)2+(x3-x1)2=3R2可知式(13)是半径为

|
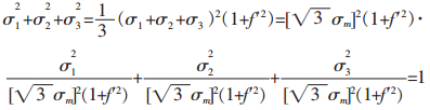
![]() |
| 图 3 强化指数为常数tanα的硬化曲面 |
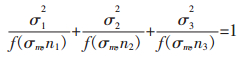
注意到柱面与锥面方程联立表示一条空间曲线即柱面与锥面的交线,于是联立有:
|
(14) |
式(14)即为等向强化后续屈服轨迹在主应力空间上的曲线方程[7],其在π平面上的投影为一系列半径线性递增同心圆.求解式(14)得:
|
(15) |
式(15)仅是式(14)的不同形式.因此比例加载下强化曲面则为图中以初始屈服轨迹aa′为底、由这些同心圆组成的圆台aa′bb′的侧表面[7]如图 3.其物理意义在于:随着强化进行,尽管屈服半径和轨迹离原点距离同时增加,但二者比值不变,且半径增大直至材料失稳破断为止.其数学方程为下式,
|
(16) |
然而绝大多数材料初始屈服后强化斜率发生变化,且dσ/dε<σ/ε(切线斜率小于割线斜率)即
|
此时单向拉伸曲线发生弯曲,后续屈服有
|
(17) |
将其代入到σ=f(ε)中,后求导有[8]:
|
该式变形为:
|
(18) |
这是因为

|
把f′表达式代入到式(10)经整理得:
|
(19) |
式(19)为标准球面方程[9].该式表明强化球面的半径
|
|
(20) |
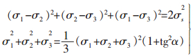
式(20)中K是强度系数即产生塑性真应变为1时的真应力值;n是硬化指数;注意到拉伸塑性失稳时[12-13]
|
(21) |
如三轴强化系数满足上式并相等, 强化曲面为球面[9]
|
(22) |
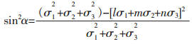
实际上尽管屈服柱面的同一截面上具有相同的静水压力,但多数情况下因材料性能差异致使三轴在比例加载条件下硬化指数也不能完全一致,即:n1≠ n2≠n3≠n,于是硬化曲面的标准方程变为
|
(23) |
![]() |
| 图 4 变斜率等向化曲面几何描述及数学方程 |
曲面具有如下性质:
如果两向拉伸硬化指数相等,即f′1=n1=f′2=n2,则强化椭球面变成回转椭球面,强化状态对称于oσ3轴.
如果三向拉伸的强化系数都相等,即n1=n2=n3= n=f′,则强化曲面变成圆球面,此时球面强化方程为式(19)及式(22).
如果两向拉伸且强化系数都不等,即n1≠n2,σ3=0,则强化曲面轨迹变成二维椭圆[9],如图 5.此时强化方程满足:
|
(24) |
![]() |
| 图 5 后续随动等向强化σ3=const的轨迹 |
还应特别指出:对无包辛格效应材料,在应力状态为负时,相应硬化曲面图形与图 3、图 4、图 5沿OH负向相对o点对称.以上讨论仅适合严格按Drucker公设的稳定材料.
4 结论(1) 随动线性强化的曲面为圆台面,后续轨迹为一系列同心圆,特点为比例加载条件下f′=n=tanα不变.方程满足式(15)、式(16).
(2) 
(3) 满足幂率方程的强化材料,若三轴强化系数相同即f′=n1=n2=n3时,比例加载的随动强化曲面为球面.方程满足式(22).
(4) 以上结论仅适合满足Drucker公设的稳定材料.
| [1] |
Slater R A C.
Engineering plasticity, theory and application to metal forming processes[M]. The Macmilan Press Ltd., 1977: 82.
|
| [2] |
William F H.
Metal forming mechanics and metallurgy[M]. PrenticeHall, Inc. Englewood Cliffs, 1983: 49-54.
|
| [3] |
MAO Hong-yu.
Unified strength theory and its applications[M]. Springer Berlin, 2004: 20-21.
|
| [4] |
赵德文.
材料成形力学[M]. 沈阳: 东北大学出版社, 2002: 52-53.
|
| [5] |
王平, 崔建忠.
金属塑性成形力学[M]. 北京: 冶金工业出版社, 2010: 52-54.
|
| [6] |
数学手册编写组.
数学手册[M]. 北京: 人民教育出版社, 1979: 38.
|
| [7] |
赵德文, 王国栋, 张强. 应力空间内强化方程与其几何描述[J].
机械强度, 1992, 14(3): 77–79.
|
| [8] |
王国栋, 赵德文.
现代材料成形力学[M]. 沈阳: 东北大学出版社, 2004: 141.
|
| [9] |
同济大学数学教研室.
高等数学(第6版)下册[M]. 北京: 高等教育出版社, 1996: 25-31.
|
| [10] |
ZHU XK, BRIAN NL. Average shear stress yield criterion and its application to plastic collapse analysis of pipelines[J].
Int J of Pressure Vessels and Pipe, 2006, 83: 663–671. DOI: 10.1016/j.ijpvp.2006.06.001. |
| [11] |
Iain Le May.
Principles of Mechanical Metallurgy[M]. New York: Edward Arnold Ltd, 1981: 64-66.
|
| [12] |
Hill R.
The mathematical theory of plasticity[M]. Oxford: Oxford University PressOxford University Press, 1950.
|
| [13] |
Taylan Altan, Soo-Ik Oh, Harold L.
Gegel. Metal forming: fundamentals and applications[M]. America: United States of America, 1983.
|
2011, Vol. 2






