| 基于可变模糊集理论的采空区围岩稳定性评价 |
2. 江西理工大学资源与环境工程学院, 江西 赣州 341000
2. Faculty of Resources and Environmental Engineering, Jiangxi University of Science and Technology, Ganzhou 341000, China
矿床开采过程中形成了大量的采空区,采空区稳定性是矿山安全生产的前提和保证.空区围岩稳定性受多种复杂因素的影响,其中主要有岩体质量、岩石单轴抗压强度、采空区形状及规模、地下渗水量、围岩节理裂隙、采矿方法、矿柱状况等.对采空区稳定性进行评价就是将各因素影响与采空区稳定性联系起来,通过量化处理,得出采空区稳定性状况[1].目前对采空区围岩稳定性分析的方法主要有模糊数学[2]、人工神经网络[3]、灰色理论[4]、可拓工程[5]、支持向量机[6]等,空区围岩由于受到岩体自身结构及外部环境因素等综合作用,其稳定性具有模糊不确定的特性,故本文应用可变模糊集[7-10]综合评价的方法,结合某矿山工程实例,建立矿山采空区围岩稳定性可变模糊综合评价模型,对该矿山空区稳定性进行分析,得出现场实际状况相吻合的评价结果.
1 可变模糊集理论最大隶属度原则是经典模糊集中的重要判断、预测与决策准则,被广泛地用于模糊模式识别、模糊综合评判、模糊决策等许多方面,并且被推广到其他系统领域.而在模糊概念分级条件下,用最大隶属原则对级别归属进行识别会导致错误的判断、识别、预测的结果[11].为了克服模糊概念分级条件下最大隶属原则的不适用性,陈守煜教授提出级别(类别)特征值概念与公式,作为可变模糊集理论判断、识别、决策、预测准则[8].
可变模糊评价方法基本原理为:
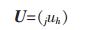
(1) 设有n个待评样本,每个样本按m个指标进行综合评价,则待评样本特征值矩阵为:
|
(1) |
式(1)中,xij为样本j指标i的特征值;i=1, 2, …, m;j= 1, 2, …,n.
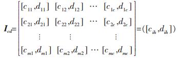
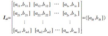
(2) 样本按m个指标c个级别进行综合评价,设级别指标标准值区间矩阵即可变模糊集合的吸引域区间矩阵为:
|
(2) |
对越大越优型指标,a>b;对越小越优型指标,a<b.式(2)中i=1, 2, …, m;h=1, 2, …, c.
(3) 依据矩阵Iab中各级指标标准值区间两侧相邻区间的上下限值确定级别h指标i的范围值区间为:
|
(3) |
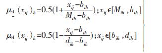
(4) 根据对指标i的物理分析和工程实际情况,确定吸引域区间中相对隶属度等于1的点值矩阵:
|
(4) |
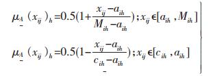
(5) 根据待评样本j指标i的特征值xij与级别h指标i的Mih进行比较,若xij落在Mih的左侧,则对递增系列,xij<Mih;对递减系列,xij>Mih.其相对隶属函数公式为:
|
(5) |
若xij落在Mih的右侧,则对递增系列,xij>Mih;对递减系列,xij<Mih.其相对隶属函数公式为:
|
(6) |
(6) 根据式(5)、式(6)计算样本j指标i对各个级别的相对隶属度矩阵:
|
(7) |
(7) 确定指标权向量:
|
(8) |
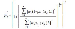
(8) 根据文献[7], 可变模糊评价模型为:
|
(9) |
式(9)中,a为模型优化准则参数;p为距离参数.a、p通常有4种组合:①a=1,p=1;②a=1,p=2;③a=2,p= 1;④a=2,p=2.
(9) 通过计算,得出综合相对隶属度矩阵并进行归一化处理:
|
(10) |
(10)应用文献[8]中提出的级别特征值公式,求样本j级别特征值向量:
|
(11) |
判定准则:当1<Hj≤1.5时,Hj隶属于1级;
当h-0.5<Hj≤h+0.5时,Hj隶属于h级(h= 2, 3, …, c-1);
当c-0.5<Hj≤c时,Hj隶属于c级.
2 应用实例以某铁矿采空区稳定性分析为例,根据围岩稳定性评价指标选取原则,确定5个评价指标:岩体质量、岩石单轴抗压强度、顶板暴露面积、节理间距和地下水情况.其中,岩体质量评价指标是通过岩石质量指标RQD进行1-RQD换算获得.RQD值该法是回次钻进所取岩芯中,长度大于10 cm的岩芯段长度之和与该回次进尺的比值.并将围岩稳定等级分为5个等级:稳定、基本稳定、稳定性差、不稳定、极不稳定.评价指标各级标准值区间[9, 12]见表 1.采空区实测各指标值见表 2.
| 表 1 采空区围岩稳定性评价指标分类标准 |
![]() |
| 点击放大 |
| 表 2 样本实测值 |
![]() |
| 点击放大 |
(1) 由表 2可确定该铁矿采空区围岩的指标特征值向量为:
|
(2) 由表 1可得到指标标准值区间矩阵Iab、范围值区间Icd及M矩阵为:
|
(3) 根据矩阵Iab确定样本每个指标特征值对各级的相对隶属度,得到归一化相对隶属度矩阵为:
|
(4) 确定指标权向量:①采用等权重向量w1= (0.2, 0.2, 0.2, 0.2, 0.2);②采用二元比对方法(见表 3)得出权重向量w2=(0.185, 0.19, 0.2, 0.165, 0.26);③进行比较,采用文献[12]中权重向量w3=(0.208, 0.210, 0.161, 0.177, 0.244).
| 表 3 二元比对法采空区围岩稳定性影响因子的权重系数确定 |
![]() |
| 点击放大 |
(5) 计算得到各级综合相对隶属度向量为:
|
(6) 应用级别特征值公式H=(1,2,…,c)U,求出Hj值:①H1=3.372;②H2=3.294345;③H3=3.231612.根据判定准则:当h-0.5<Hj≤h+0.5时,Hj隶属于h级(h=2, 3, …, c-1),可知在3种隶属度向量下的Hj均隶属于3级,即采空区围岩稳定性等级为:稳定性差.
而从矿山采空区现场调查情况来看,一些矿柱因排列不规整、直立性差、应力集中有压裂、剥落、片帮现象,稳定性较差.评价的结果与矿山实际情况较为相符.
3 结束语(1) 采空区围岩稳定性分级是一个多因素识别问题,稳定、基本稳定、稳定性差、不稳定、极不稳定的概念都是模糊概念.因而建立基于可变模糊集理论的评价模型,较符合实际,为矿山采空区围岩稳定性评价提供了一种新的、可行的方法.
(2) 模型考虑了相对隶属度的全部信息和权重变化,提出在3种不同权重向量下的评价模型,通过对比分析,与矿山实际结果进行验证分析,提高了评价结果的准确性和可靠度.
(3) 该模型评价因素为工程地质勘查中常规指标,选用方便,建模过程思路清晰明确,与传统的模糊评价模型相比,具有评价区间、隶属度函数动态可变的特点,避免了实际工作中主观因素的影响,便于在不同矿山空区稳定性评价推广应用.
(4) 另外,采空区围岩稳定性可变模糊集综合评价在稳定性分级、评价指标选取、权重确定等方面还存在不完善的地方,还有部分影响采空区稳定性的因素未考虑进去,比如采矿方法、采动影响、爆破震动、矿柱情况等,许多问题还有待进一步深入研究.
| [1] |
钟春晖, 赵奎, 郭秋根, 等. 基于关系矩阵和模糊理论的采空区稳定性综合评价[J].
矿业研究与开发, 2006, 26(s): 44–46.
|
| [2] |
盛继亮. 地下工程围岩稳定性模糊综合评价模型研究[J].
岩石力学与工程学报, 2003, 22(增1): 2418–2421.
|
| [3] |
杨朝晖, 刘浩吾. 地下工程围岩稳定性分类的人工神经网络模型[J].
四川联合大学学报:工程科学版, 1999, 3(4): 66–72.
|
| [4] |
冯玉国. 灰色优化理论模型在地下工程围岩稳定性分类中的应用[J].
岩土工程学报, 1996, 18(3): 62–66.
|
| [5] |
连建发, 慎乃齐, 张杰坤. 基于可拓方法的地下工程围岩评价研究[J].
岩石力学与工程学报, 2004, 23(9): 1450–1453.
|
| [6] |
赖永标, 乔春生, 刘开云, 等. 支持向量机在围岩稳定性分类中的应用[J].
水利学报, 2006, 37(9): 1092–1096.
|
| [7] |
陈守煜.
可变模糊集理论与模型及其应用[M]. 大连: 大连理工大学出版社, 2009.
|
| [8] |
陈守煜.
工程模糊集理论与应用[M]. 北京: 国防工业出版社, 1998.
|
| [9] |
陈守煜, 韩晓军. 围岩稳定性评价的模糊可变集合工程方法[J].
岩石力学与工程学报, 2006, 25(9): 1857–1861.
|
| [10] |
陈守煜, 胡吉敏, 李敏. 水电站导流洞围岩稳定性的可变模糊评价方法[J].
北京工业大学学报, 2009, 35(4): 464–469.
|
| [11] |
陈守煜. 模糊概念在分级条件下的模糊识别理论[J].
控制与决策, 1995, 10(4): 347–351.
|
| [12] |
高峰, 周科平, 胡建华. 采场稳定性的模糊物元评价模型及应用研究[J].
采矿与安全工程学报, 2006, 23(2): 164–168.
|
2011, Vol. 2

