| 基于Fuzzy理论的东乡铜矿V号矿体采矿方法的选择 |
在矿山开采设计中,采矿方法的选择至关重要,根据矿体的赋存条件,依据实际情况选取最优的采矿方法对于该矿山的生产将起到至关重要的作用,甚至起到决定一个矿山生产生存的重要地位[1-4].在实际工作中,针对具体情况,选择合理的采矿方法是矿山工作人员的重要使命.
1 东乡铜矿V号矿体赋存特征东乡铜矿矿区铜矿床由大小不等的6个铜矿体、Ⅰ个硫矿体组成.Ⅰ、Ⅷ为次生富集铜矿体,Ⅱ、Ⅳ、Ⅴ、Ⅶ为原生硫化铜矿体,Ⅲ为硫矿体.
Ⅴ号矿体为矿区规模最大的原生硫化铜矿体,分布于矿区中部19~63勘探线间,受F3 (19~63线)和F1(47~63线)断裂破碎带控制,全长约1200 m,走向NE~SW,倾向SE.
矿体主要赋存在梓山组上段(C1z2)中部,矿体一般呈较厚的似层状,在27线为透镜状.从39线往西,矿体分成两支,浅部矿体较小,只延至51线;深部矿体则延至63线,且厚度较大.矿体埋藏深度0~-500 m标高,但一般都在-450 m标高以上.矿体沿倾向延伸长度最大达580 m(35线).矿体倾角一般40~48°,深部稍有变缓的趋势.矿体最大厚度62.58 m,一般厚10~ 36 m.Ⅴ号矿体赋存于碎屑粘土岩和花岗闪长斑岩的结合部位,受F3和F1层间断裂破碎带控制,矿岩交代作用比较强烈,矿化围岩以细砂岩和粉砂岩为主.矿石以原生黄铜矿石为主,胶状黄铁矿和黄铁矿次之,矿石构造以散染状和块状矿石为主.黄铜黄铁矿石中的裂隙不太发育,如没有成矿后的小断层破坏,岩体比较完整和稳定.
开采范围内矿体上盘围岩以砂页岩和花岗闪长斑岩为主,岩体裂隙较发育、破碎,间接顶板多为第三系下部砾岩的岩溶含水带,透水性较强;矿体下盘围岩以中细粒石英砂岩和粉砂岩为主、构造角砾岩、页岩和粘土岩次之,岩体裂隙发育、容易吸水而膨胀,给底盘的坑道布置和维护带来一定的困难.从总体稳定性来看,顶板最差、底板次之,矿体较好.但从-235 m中段的实际开拓情况表明,矿体下盘围岩十分破碎,极易膨胀垮塌,井巷工程难以布置,因此局部矿段底板围岩的稳定性要比顶板情况更为恶劣.
由于矿石含硫较高,且胶状黄铁矿含量在原生矿中较大,矿山的实践表明、胶状黄铁矿与空气接触易氧化发热,有时甚至可能自燃着火.
2 采矿方法初选根据东乡铜矿的开采技术条件及矿体赋存条件,技术上可行的采矿方法主要有:1分段空场、单元回采嗣后高水胶结充填法;2分段充填采矿法;3下向六角形倾斜进路胶结充填法.
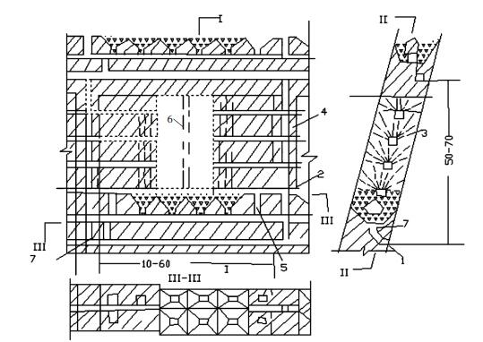
2.1 分段空场、单元回采嗣后高水胶结充填法当矿体水平厚度小于15 m时,矿块沿走向布置,不分矿房、矿柱;当矿体水平厚度大于15 m时,矿块垂直走向布置,每个矿块分为矿房、矿柱,两步骤回采.矿房、矿柱均采用“分段空场、单元回采、嗣后高水胶结充填法”回采.采矿方法见图 1.
![]() |
| 1.穿脉;2.出矿平巷;3.装矿斜巷;4.堑沟拉底巷道;5.切割天井;6.切割平巷;7.分段凿岩巷道;8.溜矿井;9.阶段运输巷道;10.斜坡道;11.上山 图 1 分段空场、单元回采嗣后高水胶结充填法 |
(1)矿块构成要素
矿块垂直矿体走向布置时,矿块宽25 m,高45 m,长为矿体水平厚度,分成矿房、矿柱,两步骤进行回采.矿房、矿柱各宽12.5 m,在矿房垂直矿体走向的方向,间隔20~25 m左右布置回采单元,回采单元之间留有4 m厚的间柱,作为永久损失;当矿岩稳定性逐步变好时,回采单元可适当加大,回采单元间柱甚至可以不予设置.矿房不留顶柱,底柱13 m(其中堑沟式底部结构高8 m),底柱以上设有4个凿岩分段,分段高度为8 m.当矿块沿走向布置时或回采矿柱时,矿块构成要素基本相同.
(2)采准切割工作
人行通风井:每隔50 m设置2条,由相邻两个矿块共用,分别设在出矿巷道两端,两条井在矿块顶、底板围岩里与各分段凿岩坑道和穿脉运输坑道均相连,前端的人行通风井用作各采场作业人员和设备材料的进出,尾部的人行通风井主要作为安全行人、回风井使用.
出矿巷道及装矿横巷:在矿块中央穿脉运输巷上部从前端的人行通风天井掘出矿巷道至尾部人行通风井,并每间隔8~10 m掘进装矿横巷,装矿横巷与堑沟巷道相连,保证铲运机的出矿作业.
溜矿井:在穿脉运输巷道中掘一条溜矿井与上部出矿巷道相连,将铲运机卸下的矿石溜至中段运输巷道.
堑沟巷道:在装矿横巷的端部、矿房中央掘进一堑沟巷道,在其中钻凿扇形中深孔,爆破后形成堑沟底部结构.
分段凿岩巷道及分段联络道:在底部结构以上每间隔8 m为一分段掘凿岩巷道和分段联络道,在凿岩巷道中钻扇形中深孔进行回采作业,而每一矿房凿岩巷道经分段联络道相连以方便各矿块人员设备通行.
切割天井和切割横巷:在矿房的分段凿岩巷道中,每回采单元掘一连通上下分段的天井,作为切割槽形成的初始自由空间,并在天井下部垂直分段凿岩巷道掘出切割横巷.
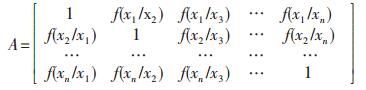
2.2 分段充填采矿法综合无底柱分段崩落法和上向水平分层充填法的优点发展起来的一种新型采矿法,该法在一些矿山进行了试验研究和应用,取得了较好的效果,但该法对矿体形态、厚度、倾角变化的适应性较差,受不稳固围岩的影响也比较大.采矿方法见图 2.
![]() |
| 1.阶段运输巷道;2.拉底巷道;3.分段凿岩巷道;4.人行天井;5.斗颈;6.切井;7.溜井 图 2 分段充填采矿法 |
(1)矿块构成要素
当矿体水平厚度小于15 m左右时,矿块沿走向布置,不分矿房、矿柱;当矿体水平厚度大于15 m时,矿块垂直走向布置,每个矿块分为矿房、矿柱,两步骤回采.
矿块垂直矿体走向布置时,矿块宽20 m,高45 m,长为矿体水平厚度,分成矿房、矿柱,两步骤进行回采.矿房、矿柱各宽10 m.当矿岩稳定性逐步变好时,矿块宽度可适当加大.当矿块沿走向布置时或回采矿柱时,矿块构成要素基本相同.
(2)回采工艺
在中段穿脉运输巷道和分段平巷旁,开凿采场溜矿井.溜矿井与上部各无轨分段运输平巷相连,将铲运机卸下的矿石溜至中段运输巷道.在矿块顶板或底板围岩中开凿回风充填天井连接各分段凿岩、出矿坑道.采场出矿穿脉利用探矿巷道修复而成,采场顶部回风巷道利用上水平探矿穿脉巷道.切割工作主要有切割平巷和切割天井.在分段回采之前沿切割平巷和切割天井拉切割槽.
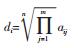
2.3 下向六角形倾斜进路胶结充填法下向六角形倾斜进路胶结充填法是适用于矿石和围岩都极不稳定状态下的一种采矿方法,这种采矿方法对矿体形态、厚度、倾角变化的适应性强,安全性较好.但由于矿块生产能力较低、采矿成本高,贫化损失率小,一般主要用于回采高品位或价值较高的矿石.采矿方法见图 3.
![]() |
| 1.充填天井;2.充填平巷;3.充填小井;4.进路;5.人行天井;6.溜井;7.分层平巷;8.电耙绞车;9.绞车硐室;10.废钢绳;11.碎矿石层;12.第一次崩矿炮孔;13.第二次扩帮炮孔 图 3 下向六角形倾斜进路胶结充填法 |
(1)矿块构成要素
采场沿矿体走向布置,长度一般为50 m,高45 m,宽为矿体水平厚度.
采场内,分层道垂直走向布置,回采进路沿走向布置.溜矿井和人行通风井布置在采场中央.分层道高度与分层高度一致,为2.0 m,宽度为2.5 m.回采进路长度一般为25 m,断面高为4 m,顶底宽2 m,腰5.4 m.
(2)回采工艺及设备
采场实行下向分层进路间隔回采,采用YT-27型凿岩机凿岩,2DPJ-30型电耙出矿.采场内设3台电耙,分层道1台,两个回采进路各1台.回采进路工作面的矿石,由1台电耙耙入分层道后,再由分层道电耙耙入采场溜矿井.在溜井底部用振动放矿机将矿石装入矿车,由电机车运往主溜矿井.采场也可采用WJD-0.75型电动铲运机或矿山现有的风动装载机出矿.
3种采矿方法的各项技术经济比较如表 1.
| 表 1 采矿方法技术经济比较表 |
![]() |
| 点击放大 |
3 采矿方法方案的确定 3.1 模糊数学法基本原理
Fuzzy数学理论方法是把客观的许多模糊性加以数学化,数字化,以便于利用人们所熟悉的经典数学理论和方法进行分析和处理,从而得出准确的和精确的结果.方便人们选择与总结,是数学基础理论发展史上的一个新飞跃.所谓的模糊性是指客观事物差异的中间过渡的不分明性[5-8].Fuzzy数学理论采用隶属函数描述模糊现象.隶属函数表示元素属于模糊集合的程度,它在[0-1]区间连续取值,矿体处于复杂的地质环境中,开采条件具有很大的模糊性,不能把各项技术经济比较直接进行定量的计算,因而在进行采矿方法的选择时也存在较多的模糊性,不能单纯的依赖技术经济条件进行选择.而Fuzzy数学理论是将各种模糊或者主关因素转化为量化形式,运用经典数学理论和方法把各个方案的评价指标量化,使采矿方法方案的选择更加合理、科学、可靠[9-11].
3.2 模糊数学评判采矿方法的基本步骤模糊数学评判模型如下:
|
式中:B-各采矿方法的相对选择矩阵
A-各因数的权矩阵
R-模糊关系隶属度矩阵
3.3 模糊矩阵的确定 3.3.1 定量指标隶属度的确定定量指标隶属度按下面的公式计算:
对于正指标(越大越优):
|
(1) |
对于负指标(越小越优):
|
(2) |
式中:tij中j为方案i为指标的隶属度;
dimin中i为指标的下限值;
dimax中i为指标的上限值.
选取矿块综合生产能力,损失率,贫化率,千吨采切比,采掘成本定量数据,根据式(1)、式(2)及表 1的数据计算各采矿方法定量指标的隶属度矩阵.
|
采用指标二元对比排序法求隶属度.将2个指标按其相对重要性程度划分成5个等级,采用4级标度法,按表 2的赋值方法请有经验的专家赋值.
| 表 2 定性指标赋值表 |
![]() |
| 点击放大 |
bij=fji/fij,且满足bij=1,bij=1/bji,当bji≥1时,令bji=1.于是对于每个定性评价指标,都可得N元对比排序法的矩阵B=bji,对矩阵每行取最小值,就得到各方案对该指标的隶属度.将定性指标的隶属度与定量指标的隶属度组合在一起,得到所有评价指标隶属度的模糊矩阵[4].
选取安全性,工艺简单程度,矿适应条件3个定性指标,各定性指标的隶属度见表 3至表 5.
| 表 3 安全性 |
![]() |
| 点击放大 |
| 表 4 工艺简单程度 |
![]() |
| 点击放大 |
| 表 5 矿体适应条件 |
![]() |
| 点击放大 |
综合指标隶属度矩阵R为:
|
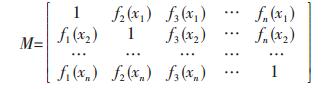
设待排序对象全体构成的集合为论域C = {X1, X2,…,XN}, 论域C中可以根据某些性质对任意两个元素进行比较,从而确定元素间的优劣.所以,可针对论域C中的任意两个元素Xi,Xj定义一个“二元相对比较级”Fj(Xi)它表示Xi相对于Xj而言所具有的优越性;而Fi(Xj)则表示Xj相对于Xj而言所具有的优越性.此外,Fi(Xi)规定为1.
其论域C中各元素对某一性质贡献的相对大小,可确定任意两个元素Xi,Xj的“二元相对比较级”:Fj(Xi)之后便可建立二元相对比较矩阵M:
|
(3) |
根据二元相对比较矩阵M中的各元素,可进一步计算出“相对函数” “F(XI/XJ)”, 其定义为:
|
(4) |
式(4)中符号“∨”表示为取大值运算.
根据式(4)计算各“相对函数”,由此便可构造各因素权矩阵A:
|
经计算得权矩阵A为:
|
|
(5) |
计算各因素的权重值:
其中,a1 =0.9672,a2 =0.6248,a3 =0.7810,a4 = 0.4361,a5=0.2374,a6=0.1055,a7=0.8954,a8=1.0000.
权矩阵A为:
(0.9672, 0.6248, 0.7810, 0.4361, 0.2374, 0.1055, 0.8957, 1.0000).
根据公式B=A×R计算出各采矿方法的相对选择矩阵为B=(3.8668, 2.1163, 2.8269).
对矩阵B中的各数据作归一化处理,得到相对权重向量为(0.4389,0.2402,2.8269).
由此可以看出,适合东乡铜矿的采矿方法依次为:分段空场单元回采高水胶结充填法,分段胶结充填法,下向六角形倾斜进路胶结充填法.
4 结语(1)模糊数学能够直观的选择出最优的采矿方案,克服了传统上通过技术经济比较的弊端,为采矿方法的选择提供了新的思路,具有较好较广泛的经济和使用价值.
(2)模糊数学通过对定量和定性指标隶属度的计算将采矿方法方案中的各个指标定量化,为采矿方法的选择提供了可靠,科学的新方法.
(3)模糊数学简单易懂,计算简单,采矿方法的选择经济效益最大化,计算的结果符合矿山的实际情况,具有较好的经济价值.
| [1] |
解世俊.
金属矿床地下开采[M]. 北京: 冶金工业出版社, 1979.
|
| [2] |
刘洪露. 黄沙矿区采矿方法的优化及应用[J].
中国矿山工程, 2006, 35(1): 12–15.
|
| [3] |
万国春, 方结平. 金山金矿采矿方法的优化选择[J].
有色冶金设计与研究, 2009, 30(1): 1–3.
|
| [4] |
赵奎, 许振华, 吴贤振. 某钼矿采矿方法的优化设计[J].
江西理工大学学报, 2006, 27(1): 16–18.
|
| [5] |
饶运章, 吴红. 东乡铜矿分段崩落阶段矿房嗣后充填组合采矿法实验研究[J].
有色金属矿山部分, 2004, 56(3): 13–15.
|
| [6] |
李文秀.
FUZZY理论在采矿及岩土工程中的应用[M]. 北京: 冶金工业出版社, 1998: 8.
|
| [7] |
吴邦强, 吴仲雄, 林关群. 模糊数学在德保铜矿Ⅷ矿段采矿方法选择中的应用[J].
有色金属矿山部分, 2009, 61(6): 8–10.
|
| [8] |
安文龙, 王青海. 运用模糊决策理论优化采矿方法[J].
黄金科学技术, 2005, 13(6): 23–26.
|
| [9] |
淡永富. 模糊数学在金矿采矿方法选择中的应用[J].
有色金属设计, 2003, 30(2): 11–16.
|
| [10] |
李兴德. 模糊数学在东升庙铅锌矿采矿方法选择中的应用[J].
甘肃冶金, 2007, 29(4): 4–7.
|
| [11] |
畅文生, 黄晓乃, 伍衡山, 等. 模糊数学在采矿方法优化选择中的应用[J].
长沙大学学报, 2000, 16(4): 54–57.
|
2011, Vol. 2




