| 多属性决策理论在矿山开采规模中的应用 |
矿山的开采是矿山企业经营活动中的重要环节,而矿山开采规模方案的选择直接影响到矿山建设和生产及其经济效益[1],因此,确定生产规模必须进行深入细致的调查研究,在多种方案中进行技术经济比较选出最优者才能使企业实现利益最大化;另一方面,由于影响矿山生产规模的因素众多,所以评价工作需采用多属性指标体系.在综合评判工作中,面对的是相互冲突、度量不统一的指标,而且各个指标对综合评价目标的贡献也不一样.因此,矿山的开采方案评价就构成了一个典型的多属性决策问题.
1 多属性决策理论的基本原理 1.1 基本概念多属性决策(Multi-Attribute Decision Making problem,MADM)是指从有限个待选方案中经过综合权衡各个属性后,对方案集进行排序并选出最满意方案的过程,它是决策理论研究的重要内容之一[2-4].多属性决策理论有多种评价方法,本文采用理想点法来对矿山开采方案进行比选.
理想点法是根据理想点原理,寻求距理想点最近的方案作为最终的评价决策选优方案,从而避免不同决策评价者因偏好不同而引起最终决策的差异.
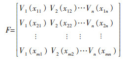
1.2 方法原理在实际的多目标问题中,完整的评价决策模型可以描述为:方案集A={Ai}(i=1, 2,…,m);属性集X= {Xj}(j=1, 2…,m),属性值为xij,属性向量为xi=(xi1,xi2,…,xin).目标集为Y={Yk}(k=1, 2,…,p),目标值为yik,即为第i个方案第k个目标的目标值.通过目标函数fk(x)建立方案Ai的属性向量xi与目标Yk的关系,即yik=fk(xi).因此,得到决策矩阵
|
|
这样就得到了包含m个方案、p个目标和n个属性的模型,若每个属性均构成目标时,则上述模型的目标为n个.目标函数fk(x)为评价属性的价值函数Vj(xij),则可以得到典型的多属性评价模型[5-6],即
|
(1) |
在目标体系中包含两类目标,即目标值越大越好的目标和目标值越小越好的目标.一般地,决策者希望自己所选的决策方案具有的各项属性目标值均达到或接近最优值,即理想值.但寻找理想点往往是很困难的,这时可以只在可供选择的方案中寻找相对最优,即通过将评价属性价值函数的取值进行比较来确定.若目标函数没有函数解析表达式,则由实验求得或由专家提出各目标函数的近似理想值.通过确定近似理想点,可以构建近似理想方案,记为I,则
|
(2) |
其中:
|
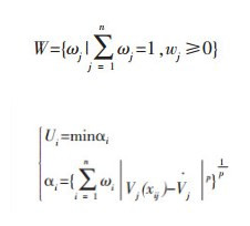
这样就可以找一个决策方案Ai,使得该方案点到近似理想点的距离最小.若各属性目标的重要性不同,可以引进权重集
|
(3) |
式(3)中,αi表明决策方案Ai与理想方案
在我国,铜是非常紧缺的有色金属矿种.目前铜市场价格趋稳,尤其自2009年下半年以来,铜价格在波动中增长.某些矿山铜资源的开发与利用前景广阔,经济效益较好,是矿山企业壮大与发展的绝好机会,对矿业公司进一步完善自身产业链,增加矿产资源储备,增强财务现金流,是非常有帮助的.下面以江西某铜矿为例进行分析.
2.1 矿山概况 2.1.1 矿山地质资源条件该矿区分 A、B两个区段、共3条主矿体,即A区段的V1、V2矿体和B区段的V3矿体.其中V1、V2矿体呈不规则的透镜状产出,产状较缓.而V3赋存于B区段的北东东向构造带内,其形态较简单,呈脉状产出.
A区段位于矿区东部,V1矿体赋存标高550~ 610 m,走向长220 m,延深180 m,厚度1.15~49.38 m,厚度变化系数为127.29 %,铜品位0.404 %~1.690 %,品位变化系数为69.18 %.V2矿体位于V1矿体南部约400 m处,赋存标高520~600 m.V2矿体走向长200 m,延深180 m,厚度6.70~25.29 m,厚度变化系数为75.83 %,铜品位0.434 %~0.765 %,品位变化系数为23.76 %.V1、V2矿体埋藏浅、走向、厚度及延深均具有一定规模,适于露天开采.
B区段V3矿体位于A区段V1矿体西侧,二者相距约1000 m.矿体赋存标高100~400 m,走向长160~ 240 m;矿体形态简单,呈脉状透镜状;矿脉薄,平均厚度仅2.05 m,矿体延深大,适于地下开采.
B 区段V3 矿体规模小、相对独立,待进一步地质工程控制后再统一纳入矿区开采规划.本文仅考虑规模较大、储量较集中的A区段V1、V2矿体的开发利用.因此,本文的研究对象为A区段的V1、V2号矿体.
矿区内铜矿体大部分赋存在隐爆角砾岩与变质岩的接触带附近,矿体埋藏浅,位于当地侵蚀基准面以上,水文地质条件为较简单类型.矿区范围内人烟稀少,区内具有较好的环境地质条件.
矿区地质储量丰富,截止2006年7月矿山保有储量1490万t,按设计院设计的规模(1000 t/d)生产,矿山可以稳产40 a,因此,矿山具备扩大生产规模的资源条件.
2.1.2 生产经营技术经济指标分析(1)生产产量情况.2010年1~6月份为生产阶段,公司生产因3~4月份电力供应出现问题,导致生产期间停产达40多天,严重影响了公司的处理量,其余各阶段采选生产规模也未达到设计生产规模,其中1月份最大,采矿规模为677 t/d,见表 1.因此,应深入分析未达产原因,进一步稳定矿山生产能力.
| 表 1 采矿、选矿、精矿生产情况 |
![]() |
| 点击放大 |
2010年上半年度选厂共处理矿石78879 t,日均处理矿石量526 t,这主要是受采出矿石量未达到设计生产规模的影响;矿石平均入选品位0.6 %,铜精矿品位18 %,硫精矿品位35 %,均达到设计要求.
(2)费用发生情况.①产品销售费用.该公司2010年1~6月产品销售费用为11.53万元,吨矿费用1.46元,比较合理; ②管理费用.2010年1~6月管理费用为391.03万元,吨矿费用49.57元,比较高.其主要原因是:由于矿山目前露采生产规模为1000 t/d,达到了中型矿山生产规模,其合理服务年限应在18 a以上,但设计院设计矿山服务年限为仅为8 a,导致固定资产折旧、无形资产摊销,尤其是长期待摊费用摊销等都比较高.因此,为提高矿山生产经营效益,需改善矿山生产规模方案,以延长矿山服务年限,降低矿石生产成本; ③财务费用.2010年1~6月财务费用为191.0万元,吨矿费用24.21元,占合计吨矿费用的32.17 %,可见财务费用较高.能否降低财务费用成为能否降低单位矿石生产成本的关键因素之一.
(3)利润情况.2010年1~7月,矿山已实现销售收入831.47万元,实现利润为-247.86万元.一旦矿山服务年限延长,折旧费、摊销费等降低后,可以达到单位矿石生产成本138.26元/t,而设计单位矿石成本为90.83元/t,仍然高出47.43元/t;单位铜成本4.76万元/t,高于类似矿山生产成本,但低于市场价格6.5万元/t,因此,只要矿山能够稳产,产品生产成本能够进一步降低,那么是有一定的利润生存空间的.
基于以上对部分生产经营技术经济指标的分析,该矿山可以扩大生产规模以降低生产成本,因此,本文在原有设计生产规模方案的基础上又提出两种生产规模方案,如何对这些方案进行选择才能使该矿山企业实现利益最大化,这正是本文所要研究的主要问题.
2.2 主要技术经济指标 2.2.1 评价指标体系构建的原则指标体系的构建,首先,应当遵循科学性原则.指标体系总体结构的设计是否合理,直接关系到统计检测和评价的数据质量.指标的选取必须以公认的科学理论为依据,要具有合理性;其次,应当遵循实用性原则.设计的指标要能够满足矿产资源技术经济评价的要求;再次,应当遵循可操作性原则.设计的指标要避免过于繁琐,无论是指标概念还是表达方法都要做到含义清晰,方便实用,具有一定的统计基础或通过努力能够做到的,以便于进行数量分析[7].
2.2.2 评价指标体系的设计根据该矿区资源量以及目前生产情况,进行评价指标体系设计[8],本文在原设计生产规模1000 t/d的基础上提出1500 t/d和2000 t/d的生产规模方案,3个采选生产方案进行分析比较,选择合适的方案,可以提高矿山企业的经济效益.其主要技术经济指标见表 2.
| 表 2 设计方案评判指标体系 |
![]() |
| 点击放大 |
由此就构成了一个3个方案7个属性的多属性决策问题,即A={Ai}(i=1, 2, 3), X={Xj}(j=1, 2, …,7).对表 2中X3和X4指标采用10分制打分,使其量化.规定:易(大)为9,较大为7,较小或难为5.
设I1、I2分别为极大型指标集合和极小型指标集合.这里X2、X3、X6属I1集合,其余指标属I2集合.
选用标准化函数为:
|
(4) |
则标准化矩阵
|
采用相对比较法计算各指标的权重,计算过程如下:将所有的评价指标Xj(j=1, 2, …, n)分别按行和列排列,构成一个正方形的表;再根据三级比例标度对任意两个指标的相对重要关系进行分析,并将评分值计入表中相应的位置;将各个指标评分值按行求和,得到各个指标的评分总和;最后做归一化处理,求得指标的权重系数.
三级比例标度两两相对比较评分的分值为qij,则标度值及其含义如下:
|
则评分构成的矩阵Q=(qij)n×n,显然,qij=0.5, qij+qij= 1.指标Xi的权重系数为:
|
使用该方法得到各个评价指标的重要性指标系数(权重)为:
W=(0.1 0.2 0.06 0.18 0.16 0.15 0.15)T
则加权标准化矩阵为
|
此时,
|
利用式(3)求各个设计方案与理想点的近似度,取p=2,则α1=0.103,α2=0.056,α3=0.120.因此,3个设计方案的排序为A2、A1、A3,设计方案推荐为A2.
3 结论基于多属性决策理论的理想点法,能够对矿山生产规模的各方案给出科学合理的综合评价.评价结果直观,精确度和可靠度较高,是一种有效的方案优选方法.经过本文的分析计算,得出样本矿山生产规模为1500 t/d,经济利用价值较大.建议矿山尽早统筹规划,合理开发,变资源优势为经济效益.
| [1] |
李万亨.
矿山建设项目可行性研究及经济评价[M]. 北京: 地质出版社, 1998.
|
| [2] |
Stewart T. A critical Survey on the Status of Multiple Criteria Decision Making Theory and Practice[J].
OMEGA, 1992, 20(3): 569–586. |
| [3] |
Weber M, Borcherding K. Behavioral Influences on Weight Judgments in Multi-attribute Decision Making[J].
European Journal of Operational Research, 1993, 67(1): 1–12. DOI: 10.1016/0377-2217(93)90318-H. |
| [4] |
Lootsma F A. Multi-criteria Decision Analysis in a Decision Tree[J].
European Journal of Operational Research, 1997, 101(3): 442–451. DOI: 10.1016/S0377-2217(96)00208-1. |
| [5] |
叶义成, 柯丽华, 黄德育.
系统综合评价技术及其应用[M]. 北京: 冶金工业出版社, 2006.
|
| [6] |
郑明贵, 蔡嗣经. 基于理想点法的金属矿山扩建方案选择[J].
金属矿山, 2008(7): 5–8.
|
| [7] |
郑明贵, 蔡嗣经. 海外铜矿产资源开发技术经济评价研究[J].
矿业研究与开发, 2009(2): 102–105.
|
| [8] |
李万亨, 傅鸣珂, 杨昌明, 等.
矿产经济与管理[M]. 武汉: 中国地质大学出版社, 2000.
|
2011, Vol. 2
