| 助熔剂对Y3Al5O12:Ce荧光粉的影响 |
2. 江西理工大学材料与化学工程学院,江西 赣州 341000
2. Faculty of Material and Chemical Engineering, Jiangxi University of Science and Technology, Ganzhou 341000, China
白光LED具有体积小、耗电量低、寿命长、安全环保、易开发成轻巧产品等优点,被誉为继白炽灯、荧光灯和高强度气体放电灯后的第四代照明光源[1-4].于一般照明来说,人们更需要的是白色的光源.目前, 利用LED技术实现白光的方法主要有3种:①采用红绿蓝三色LED芯片组装形成白光LED光源; ②采用蓝光LED芯片激发黄色荧光粉; ③采用紫外、深紫外LED芯片激发三基色荧光粉[5-7].
荧光粉的制备方法很多[8],目前主要的合成方法有:高温固相反应法[9-10]、软化学方法(溶胶-凝胶法、均相沉淀法、低温燃烧合成法、水热合成法)、微波辐射合成法、化学气相沉积法、表面扩散法等.其中高温固相反应法因其工艺流程简单,适合于工业批量生产而得到了最广泛的应用.
传统的高温固相法制备荧光粉所需的温度常常很高,相对成本也就高,而且也不利于粉体的生成.如果加入适当的助熔剂,可以改善这种情况.因为在采用高温固相反应来制备荧光粉的过程中,采用助熔剂有利于降低反应温度,促进高温固相反应的进行.同时,助熔剂不仅有利于高温固相反应中生成物的结晶成核,提高荧光粉的结晶度,而且对生成物不同结晶面的生长也有影响; 在发光体形成过程中起着帮助熔化和溶媒的作用,使激活剂容易进入基质,促进荧光粉颗粒表面熔解,提高掺杂效率; 促进微晶生长,消除表面缺陷; 引入气相或液相反应,带走某些杂质; 增加空位的流动,帮助电荷补偿; 某些助熔剂还可以抑制晶体生长,防止晶粒粗化[11].
常用的助熔剂有卤化物、碱金属和碱金属的盐类等,用量一般为基质的百分之几.助熔剂的种类、含量及纯度都对荧光体的发光性能有直接影响.在采用高温固相法准备Y3Al5O12:Ce荧光粉的工艺中,一般采用上述的一种助熔剂或者两种以及两种以上的助熔剂的混合体做助熔剂.
1 实验按照YAG:Ce化学计量比准确称量Y2O3(99.99 %),Al2O3(99.99 %),CeO2(99.99 %),再加入一定量的助熔剂.在玛瑙研钵中进行研磨,充分混合均匀后装入刚玉坩埚中,放入高温炉中,在1600 ℃下焙烧,再将所得中间产物粉碎,在1350 ℃还原气氛下恒温4 h合成,所得产物经粉碎,洗涤,烘干,筛分,制得YAG:Ce黄色荧光粉.
样品的晶体结构采用日本D/max-rA型转靶X射线衍射仪测定,所用阳极金属为Cu靶, X射线波长为0.15405 nm,管电压40 kV,管电流250 mA.样品的激发光谱和发射光谱用日本日立公司的F-4500荧光光谱仪样品的测定.样品的粒度用珠海欧美克科技有限公司的LS603激光粒度分析仪测定.
2 结果与讨论 2.1 添加助熔剂和不添加助熔剂对YAG:Ce性能的影响图 1是本实验制备的YAG:Ce荧光粉XRD图谱,其中1#样品没有加入助熔剂,2#样品添加了H3BO4和SBL作为助熔剂.与标准图谱(JCPDS33-0040)相比可知,1#和2#样品均与Y3Al5O12同一结构,属于立方晶系,空间群为la3d(230,a=1.2 nm)[12].比较1#和2#样品的XRD图谱可知,助熔剂的添加并没有引入杂相,也没有引起晶胞参数的改变.而比较两样品的峰行和衍射强度可知,2#样品比1#样品结晶更好.
![]() |
| 图 1 Y3Al5O12:Ce的XRD图谱 |
图 2为Y3Al5O12:Ce在监测波长为530 nm下的激发光谱,其中1#没有加入助熔剂,2#添加了H3BO4和SBL作为助熔剂.可以看出该荧光粉适合在460 nm左右波长的蓝光激发,比较可知2#样品的激发主峰要比1#的高,说明2#样品能被460 nm波长的蓝光高能有效地激发; 此外2#样品的激发峰相对1#样品的激发主峰也要宽一些,这样2#样品适合的激发波长范围也要宽一些.
![]() |
| 图 2 Y3Al5O12:Ce荧光粉的激发光谱(监控波长530nm) |
图 3为Y3Al5O12:Ce荧光粉在激发波长460 nm时发射光谱,1#样品和2#样品荧光粉的发射光谱比较可知:添加助熔剂H3BO4和SBL的2#样品要比不添加助熔剂的样品1#样品发射强度要高,从图 1和图 2说明添加助熔剂制的荧光粉发光性能更好.
![]() |
| 图 3 Y3Al5O12:Ce荧光粉的发射光谱(激发波长460 nm) |
2.2 不同助熔剂对荧光粉性能的影响
按照表 1分别制备9个样品.从表 2中可以看出加入助熔剂后,样品的发射强度都有较大的提高(相对亮度以无助熔剂样品为标准).而加入两种助溶剂比单独加入一种助溶剂的样品发射强度要高,粒度分布也要好一些.其中添加0.4 %的H3BO4和0.2 %的SBL所得荧光粉中心粒径D50较小,粒度分布范围相对也较窄,发射强度比不加入助溶剂的荧光粉高110 %.综上可知,H3BO4和SBL同时作为助溶剂效果最好.(D10:一个样品的累计粒度分布百分数达到10 %时所对应的粒径.它的物理意义是粒径大于它的颗粒占90 %,小于它的颗粒也占10 %.)
| 表 1 样品编号及助溶剂的种类与用量 |
![]() |
| 点击放大 |
| 表 2 样品的相对发射强度和粒度 |
![]() |
| 点击放大 |
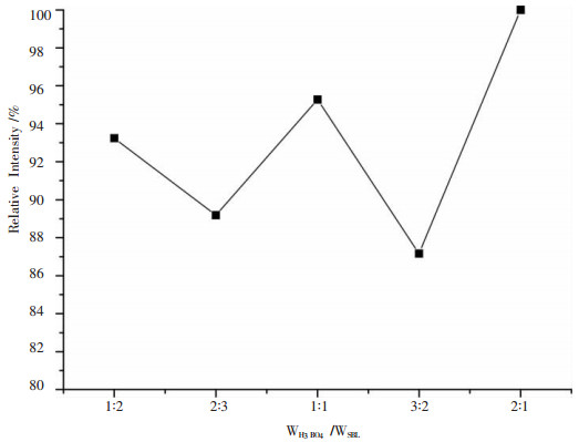
2.3 H3BO4和SBL比例对Y3Al5O12:Ce性能的影响
图 4为在制备Y3Al5O12:Ce荧光粉中加入不同比例的H3BO4和SBL作为助溶剂时发射强度的比较.可以看出当比例为2:1时荧光粉的发射强度最高(以助熔剂比例为2:1作为标准),所以H3BO4和SBL作为助溶剂时2:1比例最合适.
![]() |
| 图 4 H3BO4和SBL比例对Y3Al5O12:Ce性能的影响 |
3 结论
(1) 在制备Y3Al5O12:Ce荧光粉的烧结过程中添加H3BO4和SBL作为助溶剂时荧光粉的发射强度最高.
(2)制备过程中加入质量分数为0.6 %的助溶剂样品中,H3BO4和SBL比例为2:1时荧光粉的发射强度最高,中心粒径较小,粒径分布范围较窄,比不加助溶剂的样品发光强度高110 %,效果最佳.
| [1] |
顾洪洪. 人类照明领域的第三次革命—半导体照明[J].
道路交通管理, 2004(11): 44–46.
|
| [2] |
余武隆. LED:人类照明领域的第三次革命[J].
中国科技奖励, 2005(10): 16–18.
|
| [3] |
刘梅. 半导体照明:引发照明领域的第三次技术革命[J].
天津科技, 2007(2): 18–19.
|
| [4] |
王占庆, 石瑞林. 发光二极管(LED)将引发照明领域的革命[J].
灯与照明, 2005, 29(3): 48–51.
|
| [5] |
Zorenko Yu, Gorbenko V, Konstankerych I, et al. Single Crystalline Films of Ce Doped YAG and LuAG Phosphors:Advan -tages Over Bulk Crystals Analogues[J].
Journal of Luminescence, 2005, 114(2): 85–94. DOI: 10.1016/j.jlumin.2004.12.002. |
| [6] |
Tang Y J, Yang Y G, Yang Z J, et al. Fabrication and Pmpertles of white Luminescence Conversion LEDs[J].
Chinese Journal of Lumi nescence, 2001, 22(10): 91–94. |
| [7] |
Kasuya R, Isobe T, Kuma H, et al. Glyethelmal Synthesis and Photoluminescence of YAG:Ce3+[J].
Journal of Alloys and Compounds, 2006, 408: 820–823. |
| [8] |
蒋大鹏, 赵成久, 侯凤勤, 等. 白光发光二极管的制备技术及主要特性[J].
发光学报, 2003, 24(4): 385–38.
|
| [9] |
Sun X Y, Zhang J H, Zhang X, et a1.Chinese J Lumines—cence, 2005, 26(3):404.
http://www.sciencedirect.com/science/article/pii/S1002072112603433 |
| [10] |
Li D P, Miao C Y, Liu L F, et al. Progress on Research of Blue LED Converted White Materials YAG:Ce3+[J].
Chinese Journal of Liquid Crystals and Displays, 2005, 20(6): 526–531. |
| [11] |
刘祖武.
现代无机合成[M]. 北京: 化学工业出版社, 1999.
|
| [12] |
刘如嘉, 石景仁. 白光发光二极管用钇铝石榴石荧光粉配方与机制研究[J].
中国稀土学报, 2002(12): 495–501.
|
2011, Vol. 2




