| Mg2+, Ca2+, Ba2+离子部分取代对SrAl2O4 : Eu2+, Dy3+晶体结构和发光性能的影响 |
自从20世纪初长余辉发光现象被发现以来, 长余辉发光材料的研究取得了长足的进展.尤其是近几年来, 随着新长余辉发光材料的不断发现及性能提高, 现已广泛地应用到了涂料、玻璃、陶瓷、塑料以及标牌等领域[1-4].早期的长余辉发光材料是以ZnS和CuS为主的硫化物, 这种发光材料具有余辉时间短(一般为20~30 min), 发光亮度低, 化学性质不稳定等缺点.为了寻找性能更好的长余辉发光材料, 各国学者进行了不懈努力.1968年, Palilla [5]等首先报道了SrAl2O4 : Eu2+荧光粉的长余辉特性, 在此基础上各国学者进行了详细研究, 我国以宋庆梅[6]、唐明道[7]、肖志国[8]等为代表的众多学者也对此进行了深入的研究, 并发现了以SrAl2O4 : Eu2+, Dy3+为代表的多种稀土离子共掺杂的碱土铝酸盐发光材料.目前, 以Eu2+为激活剂的碱土铝酸盐以发光效率高, 余辉时间长, 化学性质稳定, 无放射性污染等优点占据着长余辉材料研究的主流地位[9], 但涉及的基质比较单一.本文通过Mg2+, Ca2+, Ba2+离子部分取代SrAl2O4:Eu2+, Dy3+中的Sr离子, 研究不同基质组成对SrAl2O4:Eu2+, Dy3+光谱性质和余辉特性的影响.
1 实验(1) 原料和试剂. Eu2O3(99.99%)、Dy2O3(99.95%)、MgO(99.9%)、CaCO3(分析纯)、SrCO3(分析纯)、BaCO3 (分析纯)、Al2O3(99.9%)、H3BO3(分析纯).
(2) 荧光粉的制备.按化学计量比用电子天平精确称取Eu2O3、Dy2O3、MgO、CaCO3、SrCO3、BaCO3、Al2O3及适量的助熔剂H3BO3.在玛瑙研钵中进行研磨, 充分混合均匀后装入刚玉坩埚中, 放入高温炉中, 于1350 ℃高温下置于弱还原气氛(10% H2和90% N2)下还原4 h, 随炉冷却后, 取出研碎即得荧光粉.
(3) 表征.荧光粉的晶体结构采用日本D/max-rA型转靶X射线衍射仪测定, 所用阳极金属为Cu靶, X射线波长为0.15405 nm, 阳极电压为40 kV.荧光粉的室温激发光谱和发射光谱用日立F-4500荧光光谱仪测定.荧光粉的余辉特性采用浙大三色PR-305余辉特性测试仪测试.
2 结构与讨论 2.1 样品的晶体结构分析样品的XRD图见图 1.
![]() |
| a.SrAl2O4 : Eu2+, Dy3+;b.Sr0.9Mg0.1Al2O4 : Eu2+, Dy3+;c.Sr0.9Ca0.1Al2O4 : Eu2+, Dy3+;d.Sr0.9Ba0.1Al2O4 : Eu2+, Dy3+ 图 1 荧光粉的XRD图 |
虽然不同的Mg2+, Ca2+, Ba2+离子都能与Al2O3形成属于鳞石结构(尖晶石结构)的化合物, 但是由于Mg2+、Ca2+、Sr2+、Ba2+离子半径不同, 所形成化合物的晶体结构也存在明显的差别.在鳞石结构中, 平行于(0001)面的方向有一个[SiO4]层, 四面体通过顶角相连, 形成一个六边环, 六边环中的四面体上下交替排.MAl2O4(M=Mg、Ca、Sr、Ba)的结构以[AlO4]四面体代替鳞石英中的[SiO4].M离子位于六边形孔洞中, 导致四面体网状结构扭曲严重, 对称性差.在MAl2O4体系中, MgAl2O4为立方晶系, CaAl2O4和SrAl2O4同为单斜晶系, 但CaAl2O4是具有C52h-P21空间群结构的单斜晶系, β=90°17″, 而SrAl2O4是具有P21空间群, 晶格常数为a=0.844 nm, b=0.882 nm, c=0.516 nm, β=93.41°的单斜晶系.BaAl2O4为填充式鳞石结构, 六角晶系, 晶格常数a=0.104 49 nm, c=0.879 3 nm, 属于C66-P63空间群[9].试验中, 用Mg2+, Ca2+, Ba2+离子取代SrAl2O4基质中10%的Sr2+.图 1为Mg2+, Ca2+, Ba2+离子取代后荧光粉的XRD图.从图 1中可以看出, 虽然Mg2+(0.072 nm), Ca2+(0.099 nm), Ba2+(0.135 nm)离子半径各不相同, 但是取代SrAl2O4基质中10%的Sr2+后, 荧光粉的晶体结构没有变化, 都为SrAl2O4单斜晶系, 且其衍射主峰与JCPDS标准卡片34-0379完全吻合.在衍射图中除了有衍射主峰外, 还存在一些无规律的杂峰, 这可能是荧光粉在烧成后出现了非晶态的玻璃相.
2.2 样品的光谱性质![]() |
| a.SrAl2O4:Eu2+, Dy3+;b.Sr0.9Mg0.1Al2O4:Eu2+, Dy3+;c.Sr0.9Ca0.1Al2O4:Eu2+, Dy3+;d.Sr0.9Ba0.1Al2O4:Eu2+, Dy3+ 图 2 荧光粉的激发光谱 |
![]() |
| a.SrAl2O4 : Eu2+, Dy3+;b.Sr0.9Mg0.1Al2O4:Eu2+, Dy3+;c.Sr0.9Ca0.1Al2O4:Eu2+, Dy3+;d.Sr0.9Ba0.1Al2O4:Eu2+, Dy3+ 图 3 荧光粉的发射光谱 |
图 2为Mg2+, Ca2+, Ba2+离子部分取代基质中Sr的激发光谱.从图 2中可以看出, Mg2+, Ca2+, Ba2+离子部分取代Sr后, 荧光粉激发光谱的波形没有变化, 都是一个从250~450 nm范围内的宽激发带, 在266 nm、320 nm、360 nm、416 nm处各有一个激发峰.这说明样品能被315 nm或360 nm的紫外光有效的激发, 且在250~450 nm范围的光都能激发材荧光粉发光, 因此可以用阳光或者日光灯激发荧光粉发光.
图 3为Mg2+, Ca2+, Ba2+离子部分取代基质中Sr的发射光谱.从图 3中可看出, 与激发光谱相同, Mg2+, Ca2+, Ba2+离子的引入也没有改变荧光粉的发射光谱的形状, 发射光谱都为主峰位于516nm附近的宽带发射, 这是荧光粉发光中心Eu2+典型的4f65d→4f7跃迁发射.Mg2+, Ca2+, Ba2+离子引入后, 荧光粉发射主峰的位置并没有按照碱土金属原子系数的递增而有规律从短波向长波方向移动, 而是Sr0.9Ba0.1Al2O4: Eu2+, Dy3+<Sr0.9Mg0.1Al2O4:Eu2+, Dy3+ < SrAl2O4:Eu2+, Dy3+ < Sr0.9Ca0.1Al2O4: Eu2+, Dy3+.这可能是受晶体场影响的结果.在Eu2+电子层中, 5d电子层屏蔽了4d电子层, 使得4d电子层对基质晶体场不敏感, 但5d电子层是裸露在外的, 受晶体场影响较大, 晶体场的强弱直接影响5d能级的劈裂程度[10].由于Mg2+, Ca2+, Ba2+离子的半径不同, 当其对Sr进行取代后, 引起了晶格收缩或膨胀, 从而改变了Eu2+周围的晶体场, 使得4f65d→4f7跃迁受到影响, 因而导致发射主峰位置的发生变化.
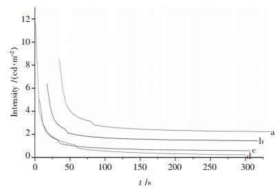
2.3 样品的余辉特性样品的衰减曲线见图 4.
![]() |
| a.Sr0.9Mg0.1Al2O4:Eu2+, Dy3+;b.Sr0.9Ca0.1Al2O4:Eu2+, Dy3+;c.Sr0.9Ba0.1Al2O4:Eu2+, Dy3+;d.SrAl2O4:Eu2+, Dy3+ 图 4 荧光粉的余辉衰减曲线 |
MAl2O4:Eu2+, Dy3+荧光粉的余辉现象是由于晶格的畸变产生了缺陷能级, 此缺陷能级位于Eu2+的激发态和基态之间, 当电子受激发从激发态到基态后, 一部分电子跃迁回低能级产生发光, 另一部分电子通过弛豫过程储存在缺陷能级中, 当缺陷能级中的电子吸收能量时, 重新受激回到激发态能级, 跃迁回基态能级而发光.余辉寿命的长短取决于缺陷能级的深浅, 能级太浅, 缺陷能级中的电子容易受激回到激发态能级, 导致余辉寿命短; 能级太深, 缺陷能级中的电子受激回到激发态能级需要较高的能量, 导致电子只能储存在缺陷能级中, 而不能返回Eu2+的激发态能级[11].在MAl2O4:Eu2+, Dy3+的热释光谱中, 各物质的峰温为Mg:59℃, Ca:40℃, Sr:46℃, Ba:38℃.热释峰温越高, 说明其能级越深, 所需能量越高, 反之则越低.
图 4为荧光粉的余辉衰减曲线.由图 4可知, 初始亮度和余辉时间d>b>a>c.这可能是因为Mg2+, Ca2+, Ba2+离子的取代使得基质晶格发生了形变, 从而产生了缺陷能级.从热释峰温分析, Mg的取代可能会提高荧光粉的峰温(即缺陷能级变深), 使得Eu2+电子只能储存在缺陷能级中而难以跃迁回激发态, 因而导致余辉时间变短.Ba的取代则可能会降低了荧光粉的峰温(即缺陷能级变浅), 使得Eu2+的电子很容易受激回到激发态能级, 从而导致余辉寿命短.Ca的取代也可能会降低了荧光粉的峰温(即缺陷能级变浅), 但相对Ba的取代而言, 缺陷能级变浅的程度较小, 使得Eu2+的电子受激回到激发态能级的速率相对较慢, 进而导致余辉时间相对较长.
3 结论(1) 虽然Mg2+、Ca2+、Ba2+离子的离子半径不同, 但部分取代SrAl2O4基质中的Sr后, 基质晶体结构并没有发生改变.
(2) Mg2+、Ca2+、Ba2+离子取代后荧光粉激发光谱和发射光谱的波形都没有变化, 激发光谱都是一个从250~450 nm范围内的宽激发带, 在266nm、320nm、360nm、416nm处各有一个激发峰.发射光谱中Mg2+和Ba2+离子的取代使波长出现蓝移, 而Ca2+离子的取代使波长出现红移.
(3) 余辉测试结果表明, Ca2+离子取代后的余辉时间长于Mg2+和Ba2+离子的取代.
| [1] |
罗昔贤, 于晶杰, 林广旭, 等. 长余辉发光材料研究进展[J].
发光学报, 2002, 23(5): 497–502.
|
| [2] |
唐明道. 蓄光型自发光材料及制品发展概况[J].
发光与照明, 2003(2): 8–14.
|
| [3] |
刘应亮, 丁红. 长余辉发光材料研究进展[J].
无机化学学报, 2001, 17(2): 181–187.
|
| [4] |
倪海勇, 黄奇书, 傅汉青, 等. 中国稀土蓄光材料产业现状[J].
稀土, 2007, 28(4): 99–101.
|
| [5] |
Palilla F C, Levine A K, Tamkus M R. Fluorescent Properties of Alkaline Earth Aluminates of the Type MAl2O4 Activated by Divalent Europium[J].
J Electrochem Soc, 1968, 115(6): 642–644. DOI: 10.1149/1.2411379. |
| [6] |
宋庆梅, 黄锦斐, 吴茂钧, 等. 铝酸锶的合成与发光的研究[J].
发光学报, 1991, 12(2): 144–50.
|
| [7] |
唐明道, 李长宽, 高志武, 等. SrAl2O4:Eu2+的长余辉发光特性的研究[J].
发光学报, 1995, 16(1): 51–56.
|
| [8] |
肖志国, 罗昔贤.
蓄光型发光材料及其制品[M]. 北京: 化学工业出版社, 2005.
|
| [9] |
廖峰, 王银海, 胡义华, 等. Sr1-xBaxAl2O4:Eu, Dy磷光体的制备及其发光特性[J].
发光学报, 2009, 30(3): 399–404.
|
| [10] |
谢伟, 王银海, 胡义华, 等. Ca2+离子取代对Sr4Al14O25:Eu2+, Dy3+结构和发光性能的影响[J].
物理学报, 2010, 59(2): 1148–1153.
DOI: 10.7498/aps.59.1148. |
| [11] |
张天之, 苏锵, 王淑彬. MAl2O4:Eu2+、RE3+长余辉发光性质的研究[J].
发光学报, 1999, 20(2): 170–175.
|
2011, Vol. 2




