| 金属矿山硐室发生岩爆的数学判据的研究 |
2. 中南大学 土木建筑学院,湖南 长沙 410083
2. School of Civil Engineering and Architecture, Central South University, Changsha 410083, Hunan
众所周知,岩爆是地下工程中常发生的比较严重的自然灾害。在我国发生过的岩爆数以千计。据不完全统计,1949~1985年间,我国矿山遭受岩爆破坏的巷道总计达13km,同时造成回采工作面停产1300多天[1]。近年来,随着国际国内对各种金属需要量的不断加大,金属价格日益攀升,从而导致了金属矿山的数量、规模及其深度日益增长,金属矿山发生岩爆的现象越来越突出,人员伤亡和财产损失也愈来愈大[1-3]。据不完全统计,我国金属矿山发生岩爆的矿山数量正在呈不断上升的趋势。目前广大的科技工作者加大了对岩爆的研究力度。而研究岩爆的最终目的就是预防岩爆的发生,将岩爆消失在萌芽状态,其中至关重要的是预测是否有岩爆发生。为此,笔者探讨了一种可以作为预测金属矿山岩爆发生的临界深度的数学判据。
1 金属矿山岩爆的数学判据的探讨金属矿山岩爆常发生在地下巷道和硐室中[4-5],这种岩爆的发生部位一般在硐室的拱顶和底板附近。然而,研究岩爆必须把岩石与应力放在第一位,不谈岩石,何以谈“爆”?下面笔者以此为核心建立一个预测金属矿山岩爆的数学判据。
由于岩石处于自重应力条件下,深度H处的岩石所受应力,根据海姆(Heim)的结论有:
|
(1) |
式中:γ为岩石的容重;H为上覆盖岩的深度;μ为泊松比;σv、σh为分别为硐轴高程的垂直和水平分应力。
文献[6]的研究结果表明,当开挖或开采深度较大时,σv比σh大得多,成为最大主应力。这样就有:
|
(2) |
|
(3) |
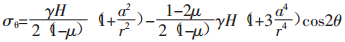
一般金属矿山巷道多为矩形或近似于圆形硐室,根据数学的拟合原理,同时也为了方便研究,所以其横截面取圆形,再根据弹性力学中的无穷平面开挖一圆孔,其圆孔附近的环向应力为:
|
(4) |
将(2)、(3)式代入(4)式可得圆孔附近的环向应力为:
|
(5) |
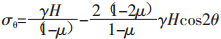
而此时孔边(即取r=a)的环向应力为:
|
(6) |
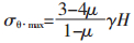
由(6)式中很显然得出,最大的孔边环向正应力σθ·max发生在与σv成

|
(7) |
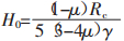
再根据目前国内常采用α法(α=


|
(8) |
我们把上式作为金属矿山岩爆发生的数学判据。
2 实例笔者用此判据预测了冬瓜山铜矿的岩爆的发生情况,岩石多为坚硬的沉积岩,一共做了一组10个试验,所得数据为:Rc=140~170MPa,γ=28.6kN/m3,μ=0.25,由上述数学判据公式计算出临界深度H0=367.1~445.8m。这表明采深大于这一数值, 很可能有岩爆发生。目前冬瓜山铜矿的采深近600m以上,实际上已发生了岩爆。这与事实一致。
此外对湘西金矿也进行了岩爆的预测。现按试验结果, 根据判据公式得出其临界深度H=428.6~482.1m。目前该矿山采深在500m以上,已经发生了轻微的岩爆。
3 结语本文通过实践与理论上的分析,建立了一种可以预测金属矿山岩爆发生的数学判据,并通过实例验证了其正确性,这对今后预测有关此类岩爆具有一定的指导意义。不过在此特别说明一点:由此数学判据得出的临界深度只能作为判别岩爆的必要条件,也就是说,达到了判别的临界深度,很可能发生岩爆,但未必一定发生。
| [1] |
陈宗基. 岩爆的工程实录:理论与控制[J].
岩石力学与工程学报, 1987, 8(1): 4–8.
|
| [2] |
潘长良, 曹平. 岩爆机理研究的综合详述[J].
中南大学学报, 1999(2): 19–21.
|
| [3] |
唐宝庆, 曹平. 岩爆研究现状的分析[J].
湖南有色金属, 1996(6): 7–10.
|
| [4] |
Heunis R. The development of rock-burth control strategies for south africa gold[J].
.I.S..Afr.Inst.Min, 1998, 180: 139–150. |
| [5] |
周正濂. 矿山的岩爆问题[J].
国外采矿技术快报, 1985(6): 12–18.
|
| [6] |
潘长良, 曹平, 王文良, 等. 岩爆预测理论与技术研究: 国家"九五"重点科技攻关成果报告(96-116-01-01-02)[R]. 长沙: 中南大学, 1999: 34-42.
|
| [7] |
耶格J S, 库克N G W.
岩石力学基础[M]. 北京: 科学出版社, 1982: 460-461.
|
| [8] |
杰里米克M L.
岩石力学在硬岩开采中的应用[M]. 北京: 冶金工业出版社, 1988: 141-144.
|
2009, Vol. 23
