| 程潮铁矿西区疏干沉降及监测数字化研究 |
疏干沉陷是一种常见的地质灾害现象, 深入研究其机理及规律, 制订妥善的处理方案, 对于指导矿山开采、隧道开挖及城市地下水抽排等引起沉陷的防治, 具有重要意义。笔者通过对程潮铁矿地质资料的分析和监测结果的数字化处理, 探讨了该矿西区疏干沉陷的机理及规律。
1 矿区概况 1.1 矿区地质矿区在大地构造上位于淮阳山字型构造之前弧西侧, 靠近弧顶的部位, 处于程潮—李升逆断层带上。北西西向的山字型构造是矿区的主干构造, 构造形迹表现形式主要为断层和裂隙, 褶皱极不发育。矿区出露地层较少, 主要由第四系、侏罗系和三迭系组成。水文地质垂直分带为3种:0 m以上为裂隙岩溶充填隔水带; 0 ~ -150 m为裂隙岩溶强含水带; -150 m以下为构造裂隙弱含水带。
1.2 开采沉陷程潮铁矿采用无底柱分段崩落法开采, 开采引起地表沉陷与破坏。沉陷、破坏的发展可分为以下两个阶段:第一阶段(1966~ 1970年), 出现柱状、筒状和漏斗状等规模不大的小塌陷坑; 第二阶段(1971年至今), 地表塌陷坑逐渐扩大形成塌陷盆地, 围岩失稳加剧, 地表建筑物受到影响。
地表重要工业建筑物位于软硬不均的地基上, 受采矿和地下疏干影响而出现不均匀沉陷、破裂, 矿区主要建筑物破坏等级如下[1]:东主井和修罐室属Ⅱ级; 卷扬机房属Ⅱ~ Ⅲ级; 东采区办公室属Ⅱ ~ Ⅲ级; 矿车修理间属Ⅱ~ Ⅲ级。
2 基于渗流耦合分析的矿区疏干沉陷规律程潮铁矿属含水岩土体下开采, 进行疏干沉陷分析时, 应考虑开采应力变化、渗流、沉陷及其耦合作用。
2.1 渗流耦合分析不同的水文地质构造有不同的应力渗流耦合特征。因此, 分清地下水体的类别是研究耦合作用的前提。
(1) 岩溶水体、溶腔水体:其本身分布及溶腔形态, 对沉陷分布将起重大影响。
(2) 连续水体:有时用先期强排疏干来进行采矿作业, 其先期疏干水平位置、疏干降落漏斗的形态等, 将影响其沉陷分布。
(3) 储量不大的孔隙或裂隙水体:原始含水层分布、厚度、形态及疏干状况决定了地表沉陷分布。
程潮铁矿以裂隙岩溶为主的含水带构造决定了矿区地下水体以第一和第三种情况为主。
2.2 采动应力渗流耦合作用机理当开采裂隙带波及含水层时, 地下水涌入采区, 导致含水层原岩应力变化, 引起含水层压力明显降低, 从而进一步加剧地表沉陷。
2.3 应力渗流耦合作用下疏干沉陷规律疏干沉陷规律应从以下两个方面进行研究。
2.3.1 含水层应力变化造成地表移动与沉陷假设某一含水地层, 其应力发生变化时, 大孔介质颗粒半径发生变化, 其变量为[2]:
|
(1) |
式中:R、R0—分别为变化前、后的介质颗粒半径;
γ—泊松比;
E—弹性模量;
Δσ—张应力增量取“ +”, 压应力增量取“ -”。
由此引起整个含水层厚度变化量Δh为:
|
(2) |
|
(3) |
式中:h—含水层变化后的厚度;
h0—含水层原来厚度。
由此引起含水层地表位移系数qw为:
|
(4) |
式中:Δε—应变量。
对于多个含水层, 由应力变化导致地表位移可采用叠加原理来计算。
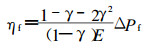
在采矿工程中, 矿体开采后, 在垂向上引起应力变化值相对较大些, 作为一阶近似可进一步简化上列公式, 即只考虑垂向应力影响。当含水层疏干受压时, 由此引起地表下沉, 沉陷系数η为:
|
(5) |
或
|
(6) |
对于某一含水层, 当η=0.5时, 影响显著。
2.3.2 水压力下降造成地表沉陷按水压力变化ΔPf的Hooke定律为:
|
(7) |
一般情况下, 含水层厚度远远小于其他两个方向长度, 由此可知侧向位移与垂向位移相比很小, 即:
|
(8) |
为此, 可不考虑侧向位移, 即Δεx=Δεy=0时:
|
(9) |
由式(7)可得:
|
(10) |
当含水层厚度为h时, 含水层厚度变化量为:
|
(11) |
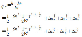
在含水层的上覆岩层应力变化保持常量, 即Δσz=0时, 由水压下降而造成的地表沉陷值Δhf及下沉系数ηf为:
|
(12) |
|
(13) |
可见, 地表下沉值与含水层厚度成正比, 与J.什泰拉克研究结果相似, 即:
|
(14) |
式中:w0—下沉量;
c—常数。
3 疏干沉降监测结果的数字化处理 3.1 地表监测地表变形监测的特点是要求观测速度快、观测全面、精度高[4], 以便为掌握沉陷规律提供第一手资料。程潮铁矿矿区变形控制网采用与该矿建筑施工相同的坐标系, 使用TC200全站仪, 并用精密水准仪观测工业场地等重要部位高程, 其余测点高程以三角高程代替。观测频率为:控制点每月观测一次, 各测点每3个月全面观测一次, 重要部位每月观测一次, 岩层移动异常时则加强观测。
3.2 矿区地下水位监测矿区主要水位观测线按地质、地貌、水文地质条件变化量最大的方向布置。钻孔为疏排、回灌和动态长期观测合用孔, 做到“一孔多用” [5]。若要取得主要含水层自然水位资料时, 必须隔离不同含水层进行换浆洗孔, 分层观测水位[6]。
3.3 基于渗流耦合规律的监测结果数字化处理 3.3.1 处理目标根据程潮铁矿地表沉降及地下水位监测资料, 利用公式(14), 求出适合该矿区的含水层渗流耦合系数c。这一过程采用C语言编程完成。
3.3.2 算法设计首先将8个观测孔的水位观测值和12个地表测点的高程观测值输入, 然后分别求出两次水位观测值的差值和两次高程观测值的差值, 接着分别求出水位观测差值和高程观测差值的平均值。
3.3.3 处理结果取观测数据中时间段最接近的沉降值与水位观测值进行处理, 结果见表 1。
| 表 1 计算成果表 |
![]() |
| 点击放大 |
考虑到矿区地层分布不可能绝对平均, 取c值为0.0018。
3.4 基于GIS的矿区地表及水位监测信息化建设矿区监测信息化主要包括两方面:数字化监测实施与监测系统GIS软件开发。其中数字化监测实施过程包括数据采集、计算机内业处理、信息输出3个过程, 如图 1。
![]() |
| 图 1 数字化监测过程 |
地表移动和地下水位监测GIS设计包括如下几个方面[7~8]。
3.4.1 系统目标完成日常地表、地下水位监测, 地下水赋存及渗流耦合分析研究所需数据的存贮更新、查询检索, 统计分析和制图制表等任务, 提高监测内业效率; 对地表及建筑物的稳定性作出正确评价, 准确地作出地表沉陷范围和程度预测, 提出决策辅助信息。
3.4.2 信息源选取野外地表沉降, 水位变化观测数据, 由勘探钻井获得的地层信息数据; 各种统计数据; 已有地形图、各种专业地质图、矿图、测点与钻井分布图等; 其他来源, 如系统数据等。
3.4.3 系统功能模块分为空间数据输入与转换、图形及属性编辑、空间数据库管理系统、空间查询与分布、制图与输出5个子系统, 其功能模块见图 2。
![]() |
| 图 2 系统功能模块 |
3.4.4 主要分析模型
模型分析是通过针对存在于实体之间的信息及其变化机制的模拟和分析, 来研究人类生存环境的发展规律[9], 该系统主要采用以下3个模型:
(1) 拟稳平差模型, 用于测点变形分析;
(2) 地下水动力模型, 用于反映地下水位变化趋势[10];
(3) 渗流耦合分析模型, 用于预测沉陷量。
4 结语通过对程潮铁矿地质资料和观测数据的分析, 可得出以下结论:
(1) 程潮矿区地质条件能够导致疏干沉陷的发生;
(2) 渗流耦合分析表明地表下沉值与含水层厚度成正比;
(3) 对观测资料的数字化处理, 可得出渗流系数近似值;
(4) 矿区监测进行信息化建设, 可以极大地提高效率。
| [1] |
颜荣贵.
地基开采沉陷及地表建筑[M]. 北京: 冶金工业出版社, 1995.
|
| [2] |
M鲍莱茨基, M胡戴克. 矿山岩体力学[M]. 于振海, 刘天泉泽. 北京: 煤炭工业出版社, 1985.
|
| [3] |
贺跃光, 邱斌. 废弃矿井和岩溶矿区引起地表陷落的监测与保护措施探讨[J].
江西有色金属, 2000, 14(3): 1–3.
|
| [4] |
王树元.
大地与建筑物变形测量[M]. 北京: 冶金工业出版社, 1994.
|
| [5] |
伍天培.
水文地质学[M]. 北京: 地质出版社, 1986.
|
| [6] |
许国柱, 王文昭.
专门水文地质学[M]. 北京: 地质出版社, 1987.
|
| [7] |
龚健雅.
地理信息系统基础[M]. 北京: 科学出版社, 2001.
|
| [8] |
张超, 陈丙咸, 邬伦.
地理信息系统[M]. 北京: 高等教育出版社, 1995.
|
| [9] |
陈述彭, 鲁学军, 周成虎.
地理信息系统导论[M]. 北京: 科学出版社, 1999.
|
| [10] |
赵阳升.
矿山岩石流体力学[M]. 北京: 煤炭工业出版社, 1998.
|
2002, Vol. 16


