| 稳定空区地表受建筑物荷载作用活化规律研究 |
2. 中南工业大学,长沙 410083
2. ${affiVo.addressStrEn}
地表活化因开采影响区域的水文地质、工程地质、构造因素、岩性、矿床陚存条件及开采自身的影响而分成六类。其一是岩溶发育区,存在着规模不等的喀斯特溶洞,由于矿井排水、钻孔抽水、放水等,形成地下水在其通道内的运动、联系,造成动态平衡破坏,产生正、负压力效应及失托增荷作用而引起;二是由断层、破碎带、地质陷落柱等引起地表活化,这种现象可能突然发生,也可能逐渐形成;三是指急倾斜矿体开采时,沿矿体露头断断续续地出现许多塌陷坑,并可能出现台阶状平地塌陷盆地;如是存在着流砂层等软弱地基,当导水裂缝带达到含水流砂层时,由于水和流砂的部分流失,可能导致地表活化;五是地表因厚层坚硬顶板,如硬砂岩、石灰岩等,在开采过程中周期性折断而活化;六是开采影响区地表因建筑物附加荷载等触发而引起的地表活化。废弃的浅埋旧巷稱顶板可能自行突然垮落,在附加荷载作用下,其垮落可能性更大。
建筑物荷载作用下采空区地表活化规律研究是建立在老采空区位置判定、地表尚余变形量的获得的基础上,通过已冒落地表再失稳判断及当有暗空场存在时,其上覆岩层稳定性及矿柱压坏可能性研究的一门关键技术。
1 采空区地表稳态判别技术当地表移动已趋于稳定,即不存在残余地表变形的采空区地表,根据其原有空区尺寸及稳定状况的不同,在建筑物荷载作用下,可能存在三种活化状况:浅部开采时,开采宽度较大或深部开采时开采宽度超过充分开采所需的宽度(2r), 顶板岩层非坚硬而随开采冒落,碎胀岩块充满整个采空区,此时建筑物附加荷载作用下采空地表的活化应从空区上方冒落带、裂缝带是否贯通地表及附加荷载的扰动深度等方面加以探讨;当浅部开采后空区上方形成压力平衡拱,或采深较大时,采宽小于地表移动起动距或充分开采时,拐点平移距至开采边界之间的未压实区,即煤矿统称为非充分采动区或未压实区,而有色、冶金、化工等矿山所指的暗空场问题。暗空场上方,在新建建筑物附加荷载作用下顶板是否会重新冒落,导致地表重新活化;对上述暗空场问题,新建建筑物附加荷载对矿柱或岩柱的影响究竟有多大?是否会引起其压垮而导致地表重新活化。
稳态判别技术包括上述三方面内容,下面将加以讨论。
2 已冒落空区地表再失稳判别采空区冒落后,由下往上一般会形成冒落带、裂缝带和连续变形带。三带高度与开采条件、地质条件及岩石碎胀性有关。当采深较小时,冒落带或裂缝带可能直通地表;采深较大时,地表连续变形带内受力状态可能受建筑物附加荷载作用而发生改变,此类活化问题的核心是建筑物荷载扰动深度与冒、裂带交迭与否。
2.1 冒落带、裂缠带高度冒落带岩块破坏具有不规则性、碎胀性、密实性等特点,冒落带的高度主要取决于岩层倾角、岩性及碎胀系数,对于近水平煤层开采有:
|
(1) |
式中:M-单一煤层采厚或厚煤层分层开采的累积厚度,m; Hw—冒落带的高度,m;K—冒落岩块的碎胀系数;∆M—冒落前因覆岩下沉缩小的开采空间厚度,m.
裂缝带的覆岩破坏由下而上扩散,且具有明显的分带性,通常可分为严重断裂、一般开裂和微小开裂三个部分,且空区边界部分的破坏高度往往大于中央部分的高度。
弯曲带又称整体移动带,此带内岩层基本上是处于水平方向双向受压缩状态,因而其密实性及塑性变形能力得到提高。
冒、裂带的高度与覆岩岩性、采厚、开采分层数明显相关,其经验公式如表 1。
| 表 1 冒、裂带高度与开采厚度及岩性关系 |
![]() |
| 点击放大 |
在水平及缓倾斜开采条件下,冒落、裂缝带总高度可用下式表示:
|
(2) |
式中:h1—冒、裂带总高度,m;
∑M—煤层开采总厚度,m.
2.2 附加荷载的扰动深度空区地表建筑物的类型、基础分布型式不同,其作用在地基上的附加应力的分布形式、位移分量及扰动深度也各异。现探讨桩基等集中荷载的扰动深度。
对桩基及其它单独基础建筑物,当基础直接作用于基岩且荷载较大,接触面积较小时,可归纳为集中荷载作甩问题,如图 1所示,这类问题的应力边界条件为:
![]() |
| 图 1 集中荷载力扰动深度 |
|
(3) |
其平衡方程为:
|
(4) |
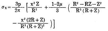
求解基粑底面下部岩层内任意点M的主应力
|
(5) |
|
(6) |
|
(7) |
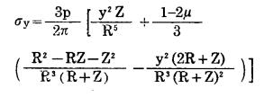
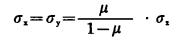
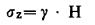
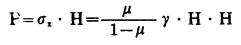
式中:σx、σy、σz—正应力;P—作用于0点的法向集中力;R—M点至0点的距离;θ-R线与Z座标轴夹角;μ-岩体的泊松比。
由于桩基正下方的σx/σz、σy/σz值一般很小,从弹性空间体的应力星圆看,上述σx、σy及剪应力对主应力σ1、σ2、σ3的量级影响小于σz的影响,因此,在考虑建筑物扰动深度时可只考虑桩下基岩中的附加应力σz。
由于σz的最大值位于Z轴上(R=Z, X =0, y =0), 因此式(7)可简化为:
|
(8) |
由计算知,在粧底下7m处,附加荷载不到粧端荷载P的1%,满足工程精度,因而考虑桩长为1,附加荷载的荷载扰动深度h2可表示为:
|
(9) |
由于σz在地基中发生应力扩散作用,分布在荷载面积以外相当大的范围内,且愈向下衰减越快,衰减幅度与基础形式也有关,加之以上考虑的是柔性荷载和均质各向同性基岩情况,而各向异性地基可能发生应力集中或应力扩散,因而可根据具体工程问题确定该工程的临界采深H。此不作详细说明。
2.3 原已雷落空区再失稳判别设开采深度为H,前述冒、裂带总高度为h1,建筑物荷载扰动深度为h2,当
|
(10) |
时,建筑物附加荷载不会重新活化已冒落稳定空区地表,当:
|
(11) |
此时或是冒、裂带本身已贯通地表,或是建筑物的扰动深度与冒、裂带交迭而改变原有应力平衡状态,造成稳定地表活化,此时必须单独或综合采取地下、地面措施。
当H与h1+h2接近时,需进一步査清开采条件、地质条件、岩性及其它因素,深入研究.
3 未冒落暗空场上覆岩层稳定性判别未冒落暗空场存在形式及其与新建建筑物的相对位置是该类问题的判别基础。受开采扰动影响的暗空场上覆岩层力学结构不同,其破坏形式、地压显现及所用计算方法也各异。此处按两种极限状态,即松散岩体与完整岩体,求取地表活化的临界采深的上、下限h01和h02, 其它各种形式均在此范围内,据此可进行初步判断。
3.1 散体岩柱重新冒落判别采空区上覆岩体主要受重力、侧向主动土压力、建筑荷载综合作用而保持平衡:
|
(12) |
式中:Q—单位长度暗空场岩柱所受垂向力;G-单位长度暗空场岩柱重量,G= 2ay·H;2a—暗空场宽度;y-松散岩柱的平均加权容重;H—暗空场顶板到地表距离;S—建筑物荷载对单位长度暗空场岩柱的垂向作用力,S = 2a·R0;R0—建筑物对地基的平均荷载;T—松散体岩柱两侧壁的摩擦力.。
侧向压力可按挡土墙原理考虑,如图 2。
![]() |
| 图 2 松散体岩柱主动土压力计算 |
|
(13) |
|
(14) |
当θ=(90°+φ)/2时,Pa的最大值为:
|
(15) |
|
(16) |
式中:φ-岩体加权平均摩擦角;C—作加权平均内聚力;Pa-上的侧向主动土压力。
如图 3, 当Q=0时,散体岩柱处于极限平衡状态,此时所对应的深度H01使岩柱处于极限平衡状态的临界采深。当H>H01时,岩柱不会下冒,地表不会活化,其表达式为:
![]() |
| 图 3 空场上方松散岩柱受力 |
|
(17) |
弹性岩柱与散体岩柱的根本区别在于侧向受压,如图 4。
![]() |
| 图 4 弹性岩柱受力 |
|
(18) |
|
(19) |
|
(20) |
|
(21) |
当εx=εy=0, 有:
|
(22) |
|
(23) |
故弹性岩柱两个侧壁上摩擦力为:
|
(24) |
式中:P—压力;μ-岩体的泊松比。
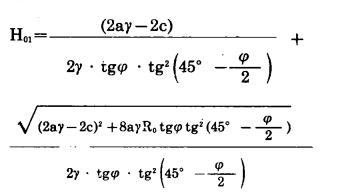
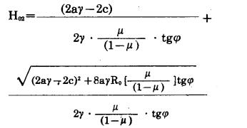
由此可得在建筑物荷载R0作用下,弹性岩柱冒落的临界采深H02为:
|
(25) |
根据实际开采深度,在前述分析基础上,可提供如下判别程式:
a.当H>H01>H02时,暗空场地表不会因特定建筑物附加荷载作用而呈现活化,因而空区地表可直接用于大型建筑利用。
b.当H < H02 < H01时, 必须修改建筑方案或采贼础稳定措施与监测手段,方可利用。
c.当H02 < H < H02,需作进一步分析。
4 矿柱压坏可能性探讨当存在未冒实暗空场,残留矿柱或岩柱还未压垮时,附加荷载引起的活化,除考虑前述顶板冒落外,还应考虑矿、岩柱压坏而导致地表活化可能。通常对煤柱的设计多采用应力分析法及经验设计法。而分析影响时用增加静荷载对安全系数的影响来考虑.
4.1 矿柱设计的应力分析法在多向受力状态下岩体强度关系式为:
|
(26) |
式中:σ1、σ3—最大、最小主应力;
m、s—岩石材料常数,见表 2。
| 表 2 岩石材料常数计算 |
![]() |
| 点击放大 |
令y=(σ1—σ3)2,x=σ3,则抗压强度σc为:
|
(27) |
对方形矿岩柱,平均应力σp为:
|
(28) |
式中:σp-矿岩柱的平均应力;
w0、wp—采空区宽度及矿柱宽度;
γ、H-岩体容重与采深。
强度与应力的比值σc/σp相当于矿柱的安全系数,在通常情况下设计值大于1.5, 当接近1时,矿柱会部分倒塌或突然全部倒塌。
4.2 矿柱的经验设计法南非、美国的一些学者常用经验法设计煤柱,Salamon和munro采用下述形式表示煤柱强度:
|
(29) |
|
(30) |
式中:c=(b—2a)/3,d=(a+b)/3
k-立方米煤的强度,Salamon根据98个稳定及27个倒塌煤柱统计资料分析得k=7 176kPa; wP、h—煤柱的宽与高;V一煤柱体积。
而a、b、c、d为表 3中所列参数。
| 表 3 a、b、c、d参数值 |
![]() |
| 点击放大 |
其建议采用的安全系数为1.6。
4.3 附加荷载影响判别在浅部开采时,当建筑物所占的面积比矿房、矿柱总面积大得多时,可采用通常的增加静荷法来计算建筑物附加荷载的影响。
|
(31) |
式中:[R]—煤柱允许承载能力;
y、H-上覆岩体容重与开采深度;
R0—建筑物附加荷载;
L、L0—巷道间距与煤柱宽度。
在深部开采条件下,建筑物荷载作用下的岩体内部受力状态是一个三维问题,随开采深度增加,建筑物荷载作用大部分已传递至所研究的矿柱、矿房联合工程以外地域,因而有下式:
|
(32) |
式中:f(S, H, L, L0)为由深度、建筑面积、矿房矿柱尺寸所决定的函数值。
当深度超过一定值时,f(S, H,L, L0)→0, 从而对矿柱原有安全系数的影响可忽略不计。据此,可在不改变原有安全性态或安全系数的允许变化范围内,反求矿房矿柱不因附加荷载作用而压坏的临界采深H3。
5 工程实例某大型特钢厂房于1987年建成投产,厂房面积达30000m2, 布置有30t电炉4座,桥式吊车14台,最大者Q=75t,年产特钢35万t。厂区工程地质勘察揭籍地层岩土自上而下为人工土、轻亚粘土、细砂、中砂、粗砂层、卵石层及页岩,表土及冲积层厚度9.4~12.3m。
厂区地下分别于1930、1981、1982年采出厚度为2.3m, 倾角为3°的4个块段煤层。走向长壁工作面,全冒落处理顶板,煤层沿走向平均采深为800m,两个较大块段沿走向开采长度为96m及64m, 由地表移动观测资料知其顶板已充分冒落。两个较小块段中的较大者,走向为50m宽,它们的开采影响未波及地表,这由变形预计与实测资料对照可以判定,其顶板可能存在两种祆况:一是顶板已充分冒落,直至由于碎胀岩块充满了整个空间,没有暗空场;二是地表活化可能由暂时稳定的暗空场顶板重新冒落或暂时稳足的矿柱压垮所引起。
5.1 已冒落地表活化判别此处采厚2.Sm, 据前述公式得冒、裂带总高度h1=43m;该厂房采用预制钢筋混凝土桩,其长度8~l0m, 则h2=20m,h1+h2=43 + 20=63<<H=759m, 故绝无建筑物附加荷载使原先已冒落地表重葑活化可能。
5.2 暗空场顶板雷落可能性a. 按散体岩柱判别时,在这里取(2a)max=50m, y = 2.7t/m3, c = 36t/m2, φ = 4 0º,(R0)max= 30t/m2,代入公式(17)得h01=148.4m, 考虑柱长得该工业厂房荷载作用下松散岩体顶板冒落而导致地表活化临界采深为158.4m。
b. 按弹性体岩柱判别时,考虑c=40t/m2, φ=45º,μ= 0.3,代入式(25)得h02=83.4m, 考虑柱长,其相应临界采深为93.4m。
由于松散体及弹性体为两种极限状态,因而真正的临界采深值介于93.4~158.4m之间,远小于此处实际采深,故不需进一步考虑地表活化采深,即不存在暗空场顶板垮落而致地表活化问题。
5.3 矿柱压坏可能性在深部开采条件下,建筑物荷载作用下的岩体内部受力状态是一个三维问题,在这里采深接近800m,容重为2.7t/m3, R0为30t/m2,且
|
(33) |
因此.建筑物附加荷载不会对近800m深处的矿柱产生有感影响,不存在矿柱因附加荷载而压坏的任何可能性。
6 结语因矿业开发而发展起来的城市及工矿密集区,建筑用地与矿山占地之间的矛盾越来越突出。利用采矿稳定地表进行建筑,判定建筑物荷载作用下地表是否会重新活化,是该类地区建筑决策及建筑安全措施的重要依据之一。本文通过分析归类,研究了已冒落采空区地表、未冒落暗空场上覆岩层及矿柱在附加荷载作用下的活化机理及判定方法,并以工程实例加以验证,获得了理想的效果,从而对该类问题研究作了有益的尝试。
参考文献 略
1994, Vol. 8




