| 胶结充填法采场围岩与充填体相互作用研究 |
近十年来, 胶结充填采矿法广泛地使用于黄金矿山、有色金属矿山及其他稀有金属矿山.并且正在向高浓度全尾砂充填的方向发展。一般说来, 矿山使用胶结充填采矿法, 主要是由于开采地质条件恶劣, 用充填体抵抗采场围岩特别是上盘和顶板的位移、变形及破坏, 以维护采场的稳定, 尽量减少矿石的损失和贫化; 或者是当矿块划分为矿房、矿柱两步回采时, 使用胶结充填体作为自立性人工矿柱, 以利于进行第二步回采作业研究胶结充填法采场围岩与充填体的相互作用机理,具有理论上与实践土两方面的意义:揭示充填体的支撑作用, 指导矿山设计, 降低生产成本等。
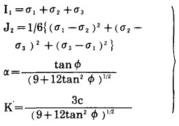
研究采场围岩与充填体的相互作用, 必然首先涉及到围岩和胶结充填材料的力学特性。胶结充填法采场围岩常见的是一种碎裂结构的不稳定岩体, 其力学特征为典型的弹一塑性模型[1], 可用Drucker-Parger准则判断其强度:
|
(1) |
式中:
|
(2) |
其中: c, ϕ分别为岩体的内聚力和内摩擦角。
目前广泛使用的胶结充填材料是脱泥尾砂, 这种材料的典型应力一应变本构关系如图 1所示.可见, 当水泥含量低时, 材料的塑性变形或粘塑性流动很明显; 然而, 当水泥含量较高, 或应变较小时, 材料的弹性变形特征也很明显。
![]() |
| 图 1 胶结充填材料的实验曲线[2] |
1 力学模型及其解答
考虑最一般的情况, 若胶结充填体即作为支撑采场围岩的工程结构体, 又作为第二步回采时的自立性人工矿柱, 则取一个已开采完毕并充填满了胶结充填料的采场作为解析模型来研究, 如图 2所示。设其走向方向宽度为W, 高度为H, 倾向方向长度为L, 矿体倾角θ。胶结充填料的力学性质由图 1决定, 充填料的体重为下.取坐标系如图 2所示.为简单起见, 设采场的底板和下盘稳定, 充填体两侧面的矿体为刚性约束, 只有采场的上盘及顶板产生位移并压缩充填体, 则在充填体与围岩的接触带上, 充填体所受的外载荷及自重应力为:
|
(3) |
![]() |
| 图 2 力学模型及边界条件式中 |
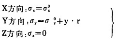
式中:σx0、σy0为均布的外载荷, y·r为充填体自重应力。
充填体的位移边界条件为:
|
(4) |
式中:U、V、W1分别为x、y、z方向的位移。
据图 1, 在充填体被压缩初期, 其变形为弹性响应, 当变形达到一定程度则为非弹性响应。因此, 可分别讨论弹性解答及非弹性解答。
1.1 弹性解答使用张量符号, 充填体的体积变形为:
|
(5) |
剪切变形为:
|
(6) |
上两式中:
|
其中: E,v为材料的弹性常数。
对于分析充填体与围岩的相互作用, 接触带上的剪应力并不重要, 因此, 可假定接触带上的剪应力为零, 即:
|
为求弹性解答, 可分别考虑σx0、σy及摩擦力的影响, 然后将各部分的解答叠加。从式(5)及式(6), 得到的弹性解答的结果为:
|
(7) |
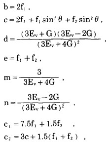
式中:
|
在接触带上,充填体与上盘岩体的摩擦系数为f2, 与其它各面岩体的摩擦系数为fl。
1.2 非弹性解答图 1所示的胶结充填材料的力学特性, 可用Bingham模型来描述[3]。如图 3, 材料的变形由两部分组成:
|
(8) |
![]() |
| 图 3 Bingham力学模型 |
式中:εe—弹性变形:
εp—粘塑性变形。
Bingham力学模型的本构关系方程为:
|
(9) |
式中:
f、k、E为材料常数, 见图 3。
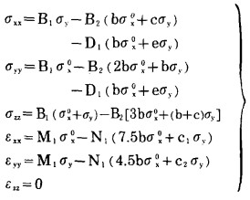
式(9)所示的为线性流变材料, 可使用对应原理, 得到采场围岩与充填体的相互作用为:
|
(10) |
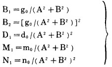
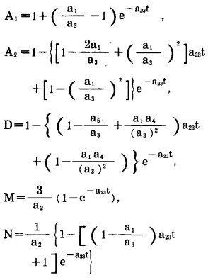
式中: B1, B2, D1, M1飞和N1为与时间有关的参数, 其表达式较为繁杂, 详细推导可见参考文献3。其它符号的意义同式(7)。
当时间t→∞时, 有:
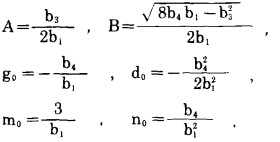
|
(11) |
式中:
|
其中:


b4= fG1
另外, 若考虑充填料刚充人采空区时与围岩的作用, 则可将未脱水的充填料视作一种液态的流变体, 使用Maxwell模型描述其力学性态。此时, 本构关系方程为:
|
(12) |
式中:各符号的意义同式(9)。
据式(12), 液态充填料与围岩的相互作用为:
|
(13) |
式中:
|
其中:
|
其余各符号的意义同式(7)。
2 解析分析的实用意义上述力学模型的解析结果, 可应用于矿山设计与生产实践中, 下面仅举两例。
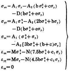
2.1 胶结充填体的所需强度设计式(7)可用于设计胶结充填体的所需强度。例如, 某黄金矿山的缓倾斜矿床.其上盘为断层碎裂岩, 平均厚度40m, 碎裂岩体重2.73t/m3。采用分层充填法开采, 矿房胶结充填, 矿柱非胶结充填, 如图 4。当回采胶结充填体两侧的矿柱时, 充填体的一侧将暴露一定高度h, 在h高度上σzz=0。因此, 胶结充填体所需的抗剪强度τc为:
|
(14) |
![]() |
| 图 4 某黄金矿山采矿方法简图 |
式中: p1= W/(L·sinθ), p2= W/h,c、ϕ分别为胶结充填体的内聚力和内摩擦角。其余符号的意义同式(7)和图 2。
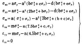
设作用于胶结充填体上的外载荷衅σk0, σy0等于原岩应力场测定值的1/2, 再加上矿体上盘碎裂岩体的重量, 则该矿的一205m中段上有:
|
并且取W=7m, L=30m, h=5m,
H=26m, 矿体倾角θ=29°。
据式(7), 可计算出接触带上的应力为:
σxx=0.43MPa,
σyy=0.57MPa,
σzz=2.27MPa。
对于一般胶结尾砂充填料, 取ϕ=43°则据式(14), 胶结充填体所需的内聚力为:
c=0.105MPa
根据实验, 有下列关系:
|
(15) |
式中:σc为胶结充填体的单轴抗压强度; A、B为实验常数。一般情况下, 胶结脱泥尾砂可取A=0.019, B=0.067。因此, 有
σc=2.00MPa
上值即可作为该矿山设计胶结充填体强度的参考数据。
2.2 挡料墙的强度设计式(13)可用来设计采场底部挡料墙的强度。例如, 取σx0=3.87MPa
σy0=0, 则σy=y·r MPa
t=24小时=8.64×104秒
η=1.3×1011MPa·秒
则按式(13)计算, 有:
σzz=2.15MPa
该值可作为挡料墙的设计强度。
| [1] |
王思敬.
岩体工程地质为学中的数值方法.岩体工程地质力学问题(八)[M]. 科学出版社, 1987.
|
| [2] |
Thomas, E. G. etal, Fill Teehnology in Under-ground Metalliferous Mines, Intern. Aead. Sery. Ltd..Kingston, Canada, 1979
|
| [3] |
蔡嗣经. 新城金矿分层充填法采场围岩力学响应特性研究[J].
北京科技大学, .
|
1992, Vol. 6




