| 砷、磷、硅渣酸法处理工艺 |
含砷、磷、硅较高的黑钨矿经碱分解后,得粗钨酸钠溶液,必须先净化方可供经典流程合成白钨或直接沉淀钨酸。净化时采用盐酸中和沉淀除硅(镁盐法除砷、磷),得含As、P、SiO2的沉淀物—砷、磷、硅渣。该渣呈胶状,高压下才能用板框过滤机过滤。其成分如表 1。
| 表 1 砷、磷、硅渣化学成分 |
![]() |
| 点击放大 |
目前,该渣的处理方法,主要是板框压滤-调浆-碱浸-离子交换,由离子交换得到的Na2WO4溶液返回主流程,据报道,该法总除砷率达99%,钨回收率达93~95%。但是,该法的缺点是碱浸后不溶物难过滤,不易洗涤,回收率随操作波动很大。另外,流程也较复杂,且消耗工业上紧缺的烧碱。消除砷、磷、硅渣的产生,是钨湿法冶炼的方向之一,下面介绍的渣的处理新方法,实践证明,有一定的现实意义。
二、 酸法处理流程砷、磷、硅渣酸法处理流程见图 1。
![]() |
| 图 1 酸法处理流程 |
三、 酸法处理的原理
1.渣浆的盐酸分解
1) 充分利用渣成絮状的特点,使盐酸分解速度快。
2) 分解过程采用倒加法,能得到易过滤和洗涤的黄钨酸。
3) 适当控制终点PH值,使胶体SiO2易沉淀。
4) 各种元素按下式进行反应:
|
过程中,SiO2不参加反应,与H2WO4共沉在固相中,过滤后,砷、磷杂质元素随废液排走。
2.粗钨酸加Na2CO3溶液溶解
|
粗钨酸中的SiO2不与Na2CO3溶液起反应,随不溶物一起与钨分离。
四、 试验及结果1.取50克干渣(成份如表 1)调成体积为100ml的渣浆,采用倒加法加入含HCl为30%的工业盐酸中,加热至60℃,在机械搅拌下分解一小时,过滤后得干粗钨酸18克,废液250ml,粗钨酸成份如表 2,废液成份如表 3。
| 表 2 粗钨酸成份 |
![]() |
| 点击放大 |
| 表 3 废液成分 |
![]() |
| 点击放大 |
2.用4N的Na2CO3溶解粗钨酸,得到1.5克不溶物/成份见表 4,得到130ml钨酸钠溶液,成份见表 5。
| 表 4 Na2CO3不溶物成份 |
![]() |
| 点击放大 |
| 表 5 钨酸钠溶液成份 |
![]() |
| 点击放大 |
表 4显示出Na2C2不溶物含WO3达37.5%,可返碱浸。
表 5表明钨酸钠溶液符合合成白钨的要求,可和净化液一起送入下段工序。
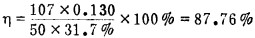
全过程钨的回收率(不含返碱浸部分):
|
砷的脱除率为:
|
1989, Vol. 3

