国家教育部主管、北京师范大学主办。
文章信息
- 曹碧华, 黄小梅, 杨丽, 李红, 李富洪. 2017.
- CAO Bihua, HUANG Xiaomei, YANG Li, LI Hong, LI Fuhong. 2017.
- 亮度对空间-数字反应编码联合效应的影响
- The Impact of Luminance on the Spatial-Numerical Association of Response Codes
- 心理发展与教育, 33(4): 394-400
- Psychological Development and Education, 33(4): 394-400.
- http://dx.doi.org/10.16187/j.cnki.issn1001-4918.2017.04.02
2. 辽宁师范大学心理学院, 大连 116029;
3. 深圳大学心理与社会学院, 深圳 518060
2. School of Psychology, Liaoning Normal University, Dalian 116029;
3. College of Psychology and Sociology, Shenzhen University, Shenzhen 518060
数字加工一直是认知心理学研究的热点。Dehaene,Bossini和Giraux(1993) 通过奇偶判断任务发现被试对小数反应时左手更快,而对大数做判断时右手更快。这种现象被称为空间-数字反应编码联合效应(the Spatial-Numerical Association of Response Codes,即SNARC效应),他们认为这是由于人们将数字表征在一条左右朝向的心理数字线(mental number line)上。大量研究表明被试在不同年龄阶段(van Galen & Reitsma,2008;Yang,Chen,Zhou,Xu,Dong,& Chen,2014;胡林成,熊哲宏,2016) 对不同符号的数字词(Hung,Hung,Tzeng,& Wu,2008;Nuerk,Wood,& Willmes,2005;刘超,买晓琴,傅小兰,2004)、点阵(Hurewitz,Gelman,& Schnitzer,2006;Pansky & Algom,2002;司继伟,周超,张传花,仲蕾蕾,2013) 进行奇偶判断或大小比较时都存在数字的SNARC效应。
Walsh(2003) 认为SNARC效应不仅存在于数字加工,也存在于其它量级的加工。他提出的量级理论模型(A Theory of Magnitude,ATOM)认为时间、空间和数量是一般量级系统的一部分,并将独立于量级类型的一般机制命名为空间-量级反应编码联合效应(spatial quantity association of response codes,SQUARC),这是对SNARC效应的扩展与完善。后续研究支持了量级理论模型,发现亮度和实物概念(胡林成,熊哲宏,2011;Ren,Michael,Ma,& Chen,2011;Fumarola, Prpic, Da Pos, Murgia Vmilta, & Agostini,2014)、时间(杨林霖,张志杰,顾艳艳,周文杰,2013;刘馨元,张志杰,2017),物理大小和面积(胡林成,熊哲宏,2013)等产生了与反应相联系的空间编码效应,即类SNARC效应(SNARC-like effect)。例如,胡林成和熊哲宏(2011) 让被试比较白色背景上目标圆与标准圆之间的亮度高低。结果发现空间与亮度之间的关联,被试左手对亮度较高的圆反应更快,右手对亮度较低的圆反应更快。这表明亮度也存在类SNARC效应,是以空间编码的形式进行心理表征的。
既然亮度和数字都是以空间编码的方式表征的,那么亮度和数字是否会相互影响呢?Pinel,Piazza,Bihan和Dehaene(2004) 使用数字Stroop范式首先探讨了亮度和数字之间的关系,他们采用数字对和字母对作为实验刺激,要求被试分别比较数字对的数值大小、物理大小和亮度高低,以及字母对的物理大小、亮度高低。结果发现数字、字母的物理大小和亮度高低比较时,虽然一致条件反应都更快,不一致条件反应都更慢,但并未发现亮度与数值之间存在某种联系,表明亮度和数值之间没有相互影响。Kadosh和Henik(2006) 认为这可能是由于数字的物理大小维度掩蔽了二者之间的影响。为此他们只设计了数值和亮度两个维度,要求被试对白色背景上的数字分别进行数值大小和亮度高低的比较。结果发现对数值小更亮(或数值大更暗)的数字反应更快,说明数值和亮度之间存在相互影响。Kadosh,Kadosh和Henik(2008) 考察了背景为黑色的数值大小和亮度高低比较的加工机制,结果表明亮度与数值也存在相互干扰,但对数值大亮度高(或数值小亮度低)的数字反应更快。Gebuis和van der Smagt(2011) 使用灰色背景并设计了更亮和更暗各半的数字,要求被试完成数值大小和亮度高低比较任务。结果表明当数值大亮度对比大(或数值小亮度对比小)时,被试的反应更快,说明和数字相互影响的真正因素并不是亮度的绝对值,而是数字和背景的亮度对比(luminance contrast)。
尽管以往研究考察了数字和亮度的空间表征,以及亮度和数值之间的关系,但存在如下问题:一是只探讨了亮度和数字之间会相互干扰,那么,亮度对数字的空间表征是否也会产生影响,机制如何?二是以往研究大多使用数字Stroop范式,尽管后期研究排除了数字的物理大小因素,但同时呈现多个亮度水平的数字对,在知觉上易引起这两个维度之间的相互干扰。如果每个试次只呈现一种亮度水平的数字,进一步降低亮度和数值在知觉上的影响后,亮度是否仍会对数字的空间表征产生影响?三是以往研究均要求完成亮度高低和数值大小比较任务,这需要被试直接对亮度和数量进行有意加工,更容易导致亮度和数字这两个维度的各个量级相互干扰。那么,当实验任务并不要求对亮度高低和数值大小进行直接判断时,亮度是否会影响数字的空间表征?
本研究旨在探讨亮度对比是否会对数字的空间表征产生影响及其机制,并以数字的SNARC效应作为考察指标,只要求被试完成与亮度无关的奇偶判断任务。一方面,为了模拟数学教师课堂教学时在黑板上用粉笔书写数字的情况,三个实验将电脑屏幕的背景均设计为亮度值为0的黑色,其结果能够为学校数学教学提供一定的理论和实践指导意义。由于背景的亮度值均为0,故数字刺激的亮度值就是数字和背景的亮度对比。
另一方面,尽管以往研究一般使用5-9个逐渐增加的亮度值,但其研究目的是考察亮度是否存在类SNARC效应,或亮度与数值之间是否相互干扰。为初步考察不同的亮度对数字的空间表征是否存在影响,本研究只设置了三个依次减小、层层递进的亮度对比值,探讨被试在单一高亮度对比(实验一:255)、两种高亮度对比(实验二:255-213),以及亮度对比一高一低(实验三:213-42) 下的加工机制。
2 实验一本实验使用亮度为最高值255的阿拉伯数字为刺激,即在单一的高亮度对比下要求被试完成奇偶判断任务,考察是否会出现数字的SNARC效应。
2.1 被试年龄在18~25岁(M=22.30,SD=2.45) 之间的20名大学生参加了本实验,其中男生8名,女生12名。所有被试均为右利手,视力或矫正视力正常。
2.2 刺激材料和仪器实验材料为阿拉伯数字1-9(5除外),分别定义为小数(1、2、3、4)和大数(6、7、8、9)。数字的亮度值通过Microsoft Office Word 2007软件中的HSL色彩模式设置。实验一的所有数字刺激为白色,亮度值为255,Times New Roman字体,90号大小。实验通过17英寸彩色显示器的联想M4计算机完成,刷新率是75 Hz,屏幕分辨率为1024×768。被试与计算机相距大约60 cm。
2.3 程序实验流程如下:首先在屏幕中央呈现注视点“+”,持续500 ms;为了避免被试掌握刺激出现的规律而形成定势反应,接着呈现500~800 ms的随机空屏;然后将数字刺激呈现于屏幕中央,按键后刺激消失。若1500 ms内未做出反应,则自动进入下一试次;每个试次之间的间隔是1000ms。所有刺激以伪随机的方式呈现,要求被试尽可能快地准确反应(图 1)。
|
| 图 1 实验一流程图 |
被试首先需要进行16次练习,练习中每做一次反应立即给予反馈并报告累积正确率,当累积正确率达到90%以上时进入正式实验。正式实验包括两部分,第一部分要求被试呈现奇数时按“F”键,呈现偶数时按“J”键;第二部分则相反,当刺激为奇数时按“J”键,当刺激为偶数时按“F”键。按键在被试内平衡,一半被试先做第一部分再做第二部分,另一半被试正好相反。正式实验时每个数字出现24次,两部分各12次,则每部分有96个试次,共192个试次(张丽,陈雪梅,王琦,李红,2012;Dehaene et al., 1993)。
2.4 结果因所有被试的正确率都超过95%,故仅对反应时进行分析。首先,剔除了每个被试平均反应时正负三个标准差之外和按键错误的反应时数据,剔除率为5.2 %。然后,对反应时进行2(数字大小:大数,小数)×2(反应手:左手,右手)的重复测量方差分析。结果表明数字大小和反应手的主效应不显著,大小:F (1, 19)=2.42,p > 0.05;反应手:F (1,19)=0.10,p > 0.05;数字大小和反应手的交互作用显著,F (1, 19)=10.11,p < 0.01,η2=0.35,即出现了数字的SNARC效应。简单效应分析发现小数反应手的主效应显著,F (1, 19)=4.43,p < 0.05,η2=0.19,左手(503 ms)的反应显著快于右手(530 ms);大数反应手的主效应也显著,F (1, 19)=5.77,p < 0.05,η2=0.23,右手(512 ms)的反应显著快于左手(545 ms)的反应(图 2)。这些结果表明单一高亮度对比下,被试能自动激活空间-数字编码之间的联系,存在数字的SNARC效应。
|
| 图 2 实验一中数字大小和反应手的交互作用 |
实验一证明了亮度为最高值255时存在数字的SNARC效应,即在单一的高亮度对比时能够自动激活数字的空间表征。以往研究表明不同的亮度和数字大小之间存在相互干扰,那么,当增加一个仍较高的亮度对比时,是否也能自动激活数字的空间表征呢?实验二对两种高亮度对比时数字的空间表征进行考察。
3.1 被试20名年龄在18~25岁(M=22.80,SD=2.35) 之间的大学生参加了本实验,其中男生9人,女生11人。所有被试均为右利手,视力或矫正视力正常,未参加过实验一。
3.2 刺激材料参照以往研究设置两个亮度对比值较小的比例为1.2左右,而255是213的1.2倍,实验二增加了亮度值213(胡林成,熊哲宏,2011;Gebuis & van der Smagt,2011)。此时,数字的亮度值为最高的255和较高的213,均属于高亮度对比,且二者之间的距离较小。根据二者的关系,将其分别定义为高、低两种水平。色调和饱和度不变,其余均与实验一相同。
3.3 程序程序与实验一相同。高、低亮度的数字刺激共16个,每个数字在两部分实验中各出现12次,每个部分有192个试次。整个实验每个数字出现24次,共384个试次(张丽等,2012;Dehaene et al., 1993)。
3.4 结果因正确率非常高,也只对反应时进行分析。剔除所有被试平均反应时正负三个标准差之外和按键错误的数据,剔除率为4.3 %。对反应时进行2(数字大小:大数,小数)×2(亮度:高,低)×2(反应手:左手,右手)的重复测量方差分析。结果表明数字大小的主效应显著,F (1, 19)=6.71,p < 0.05,η2=0.26,被试对小数的反应(555 ms)快于大数(567 ms);但亮度的主效应不显著,亮度:F (1, 19)=0.49,p > 0.05,η2=0.03,说明高亮度与低亮度的反应时差异不显著;反应手的主效应也不显著,反应手:F (1, 19) < 0.001,p > 0.05,η2 < 0.001,说明左手和右手的反应时不存在显著差异。数字大小和反应手的交互作用显著,F (1, 19)=5.05,p < 0.05,η2=0.21,即仍存在数字的SNARC效应。简单效应分析表明,当左手按键时数字的大小效应显著,F (1, 19)=15.07,p < 0.01,η2=0.44,左手对小数的反应(549 ms)显著快于对大数的反应(572 ms);右手按键时,数字大小主效应不显著,F (1, 19)=0.05,p > 0.05,右手对大数和小数的反应时分别为560 ms和561 ms。然而,大小和亮度的交互作用不显著,F (1, 19)=0.02,p > 0.05,η2=0.001;亮度和反应手的交互作用不显著,F (1, 19)=1.23,p > 0.05,η2=0.06;亮度、反应手以及数字大小三者之间的交互作用也不显著,F (1, 19) < 0.001,p > 0.05,η2 < 0.001(图 3)。这些结果表明两种高亮度对比下,空间和所有数字编码的联系仍能自动激活,依然存在数字的SNARC效应。但是,实验二没有发现亮度存在类SNARC效应,说明被试此时并未将亮度以空间编码的方式表征。
|
| 图 3 实验二中数字大小和反应手的交互作用 |
实验二中设置了两个较高的亮度对比水平,发现数字的SNARC效应均依然存在。通过实验后的口头报告,了解到被试认为所有数字都是相同的亮度。为了便于与实验二进行直接比较,实验三保留了亮度值213,并增加了另一个很低的亮度,考察亮度对比一高一低时是否仍会激活数字的空间表征。
4.1 被试22名年龄在18~25岁(M=21.60,SD=1.89) 之间的大学生参加了本实验,男女各半。所有被试均为右利手,视力或矫正视力正常,没有参加过实验一和实验二。
4.2 刺激材料根据以往研究对低亮度值的设置,实验三在保留实验二亮度值213的基础上,增加了亮度值42(胡林成,熊哲宏,2011;Gebuis & van der Smagt,2011)。此时,数字的亮度值为较高的213和很低的42,亮度对比一高一低,且二者之间的距离很大。根据二者的关系,将其分别定义为高、低两种水平。
4.3 程序与实验二相同。
4.4 结果因正确率较高,只对正确反应时进行分析,剔除平均反应时正负三个标准差之外的试次,剔除率为4.7 %。对反应时进行2(数字大小:大数,小数)×2(亮度:高,低)×2(反应手:左手,右手)的重复测量方差分析。结果发现数字大小和亮度的主效应均十分显著,数字大小:F (1, 21)=8.12,p < 0.05,η2=0.28,被试对小数的反应(554 ms)显著快于对大数的反应(566 ms);亮度:F (1, 21)=79.01,p < 0.001,η2=0.79,被试对高亮度的反应(550 ms)显著快于低亮度(570 ms),这可能是由于被试对高亮度的数字易识别使反应更快,而低亮度的数字由于不易被识别使反应更慢。反应手的主效应不显著,F (1, 21)=1.29,p > 0.05,η2=0.06,左手与右手的反应之间没有显著差异(562 ms vs. 558 ms)。数字大小和反应手的交互作用不显著,F (1, 21)=2.37,p=0.14,η2=0.10,这表明数字的SNARC效应消失了。大小和亮度的交互作用不显著,F (1, 21)=0.01,p > 0.05,η2 < 0.001;亮度和反应手的交互作用不显著,F (1, 21)=0.98,p=0.34,η2=0.04;数字、亮度和反应手三者的交互作用也不显著,F (1, 21)=0.33,p=0.57(图 4)。这些结果一方面表明亮度对比值很大时,空间与数字编码间的联系未自动激活,数字的SNARC效应消失了;另一方面,与实验二的结果相似,依然没有发现亮度的类SNARC效应,即被试此时仍未将亮度信息以空间编码的方式表征。
|
| 图 4 实验三中数字大小和反应手的交互作用 |
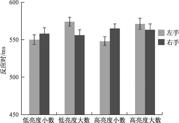
由于实验二和实验三均设置了亮度值为213的条件,但结果表明实验二仍存在数字的SNARC效应,而实验三中数字的SNARC效应却消失了。为了考察后者是否由于任务难度增加引起的,我们对两个实验中亮度值213条件的正确率和反应时进一步分析。结果表明被试在这两个实验中的正确率都在95%以上。另外,对反应时进行2(实验:实验二,实验三)×2(数字大小:大数,小数)×2(反应手:左手,右手)的重复测量方差分析。其中,自变量中的实验是被试间因素,数字大小和反应手是被试内因素。结果表明只存在数字的大小主效应,F (1, 19)=10.15,p=0.005,η2=0.35,被试对小数的反应(547 ms)显著快于大数(556 ms)。实验和反应手的主效应均不显著,实验:F (1, 19)=0.45,p=0.51,η2=0.02,被试在实验二和实验三对亮度值213数字的反应时分别为559 ms和544 ms;反应手:F (1, 19)=1.64,p=0.22,η2=0.08。实验、左右和大小三者之间的交互作用也不显著,F (1, 19)=0.87,p=0.36,η2=0.04。这些分析表明实验二和实验三中亮度值为213时结果不同的原因并不是任务难度导致的。
5 讨论本研究通过三个实验考察了亮度是否会对数字空间表征产生影响。由于背景的亮度值均为0,数字的亮度值即数字与背景之间的亮度对比值。通过设置不同的亮度值,结果发现在亮度对比均较高时存在数字的SNARC效应,说明此时自动激活了数字在心理数字线上的空间位置,促进了数字的空间表征(实验一、二)。然而,当亮度对比一高一低时,此时不仅很低亮度的数字不存在SNARC效应,也会导致另一个亮度相对较高的数字的SNARC效应消失,即抑制了数字的空间表征(实验三)。这些结果表明亮度会对数字的SNARC效应产生促进或抑制的影响,可能分别与亮度对比值的大小有关。
与以往的研究结果一致,实验一中数字的亮度为最高值255,结果表明被试左手对小数反应更快,右手对大数反应更快,即存在数字的SNARC效应(Dehaene et al., 1993;张丽等,2012)。由于本实验使用的是奇偶判断任务,被试无需直接比较数值大小,但反应时仍出现了数字的SNARC效应,表明此时数字的大小得到了自动加工,并按大小顺序从左至右表征在心理数字线上(Dehaene et al., 1993;Hung et al., 2008;张丽等,2012)。这不仅进一步验证了数字SNARC效应的普遍性,也说明在单一高亮度对比时数字的空间表征是自动被激活的(Dehaene et al., 1993;Ren et al., 2011;张丽等,2012)。
实验二在亮度值255的基础上,增加了较高的亮度值213,考察两种高亮度对比对数字空间表征的影响。与以往研究一致,实验二发现了数字的大小效应,被试对小数的反应比大数更快,这是由于被试对小数字的反应比大数字更容易引起的(陈亚林,刘昌,张小将,徐晓东,沈汪兵,2011;Reynvoet & Brysbaert,1999)。另外,这两种亮度对比水平的数字均依然存在SNARC效应,表明被试对两种高亮度对比的数字进行与大小无关的奇偶判断时,仍自动激活了数字的空间表征。通过实验后的访谈了解到被试对这两种亮度的口头报告是相同的,他们并没有注意到不同试次数字的亮度已经变化,也无需占用额外的注意资源,故可能是仍存在数字SNARC效应的原因。
实验三在保留亮度值213的基础上,增加了一个非常低的亮度值42,考察亮度对比一高一低时对数字空间表征的影响。与实验二和以往研究类似,实验三也发现数字的大小效应,被试对小数的反应显著快于大数。另外,亮度的主效应也十分显著,被试对高亮度数字的反应快于低亮度的数字,这可能是由于高亮度的数字易识别但低亮度的数字不易被辨识,所以造成对前者反应更快而后者更慢(Gebuis & van der Smagt,2011;Ren et al., 2011)。然而,并没有发现数字大小与反应手之间的交互作用,即数字的SNARC效应消失了。简单效应分析表明无论亮度值是与实验二相同的213,还是很低时都没有发现数字SNARC效应。那么,实验三亮度值为213时数字的SNARC效应消失是否由于任务难度增加引起的呢?即低亮度值为42的数字本身不易辨识,且与亮度为213的数字随机呈现,前者的难于识别是否加大对后一种数字的判断难度,从而使数字的SNARC效应消失?为此,我们对被试在实验二和实验三中亮度值为213的正确率和反应时进行了统计,分析表明两个实验的正确率都在95%以上,且反应时并没有显著差异。这说明实验三中亮度为213的数字SNARC效应消失并不是由于任务难度引起的。
当亮度值很小时会对数字的空间表征产生干扰和抑制,真正原因可能与注意资源的分配和视空间客体特征信息有关。一方面,以往研究表明数字的SNARC效应与注意有关(Fischer,Castel,Dodd & Pratt,2003)。只有当几乎不消耗注意资源,也不需要有意努力时才会自动激活数字在心理数字线上的空间表征(Kadosh & Walsh,2009)。实验三中当亮度对比很小时,被试首先必须付出相当多的注意资源才能辨识清楚数字,然后对其进行有意的语义加工才能正确完成任务,这可能导致数字与空间反应的联合编码受到抑制而不能被自动激活,因此数字的SNARC效应消失了(刘超等,2004;Kadosh & Walsh,2009)。另一方面,数字的SNARC效应也与视空间信息的加工紧密相关(司继伟等,2013;Herrera et al., 2008)。实验三中被试在关注亮度较小数字的同时,与数字无关的视空间客体特征信息(亮度)也得到了编码和加工,占用了原本用于数字加工的有限的认知资源。无关的亮度信息对数字-空间联结的激活产生了一定干扰,因此大脑不能自动地将数字和空间联系起来,数字SNARC效应就消失了(司继伟等,2013;Herrera et al., 2008)。另外,由于不同亮度的数字以伪随机的方式呈现且刺激间的间隔很短,亮度较大的数字也会受到亮度很小数字的影响,不能自动将数字和空间有效联结,才使亮度较高和很低的两种数字都没有SNARC效应。这进一步验证了SNARC效应体现数字空间表征的自动性和无意识性,也表明只有当数字的亮度高、人们非常容易辨识的条件下才会出现数字的SNARC效应(徐晓东,刘昌,2006;张丽等,2012;Dehaene et al., 1993)。本研究的结果对教育领域的启示是:字体本身的亮度以及字体与背景的亮度对比都可能影响学生对书写内容的认知。当学生感知的字体的亮度较低时,不仅不利于识别,还可能因为对认知资源的过度消耗而影响学生对感知内容的自动化加工。因此,无论是在黑板上板书还是在屏幕上呈现教学内容,都要注意避免过低的亮度或对比度对学生学习效率的影响。
不同于以往研究,本研究仅在实验三发现被试对高亮度的反应快于低亮度,但并没有发现亮度与反应手之间的类SNARC效应(Fumarola et al., 2014;Ren et al., 2011)。这可能有两个原因,其一与每个实验使用的亮度数量有关。以往研究一般使用了5-9个不同的亮度值,亮度值逐渐增加(胡林成,熊哲宏,2011;Fumarola et al., 2014;Pinel et al., 2004;Kadosh & Henik,2006; Kadosh et al., 2008;Ren et al., 2011),而本研究的实验最多只有两个水平,亮度值之间缺少逐渐变化的过程。其二可能由于本研究的亮度是与实验任务无关的间接因素,而以往有关亮度类SNARC效应的研究大多需要被试直接判断亮度的高低(胡林成,熊哲宏,2011;Gebuis & van der Smagt,2011;Ren et al., 2011)。后续研究可从增加亮度值和直接比较亮度高低这两方面入手,既进一步探讨促进和抑制数字空间表征的亮度对比阈限值,又考察亮度的空间表征在何时能与数字的空间表征同时被激活。
6 结论本研究考察了亮度对数字空间表征的影响,结果发现当亮度对比均较高时,被试进行奇偶判断时存在数字的SNARC效应,表明高亮度对比与数字的空间表征自动激活有关;当亮度对比一高一低、差别很大时,数字的SNARC效应消失,表明很低的亮度对比会抑制数字的空间表征。数字的亮度会对其空间表征产生激活或抑制的影响,具体与亮度对比值的高低及所消耗的认知资源多少有关。
| Kadosh R. C., & Henik A. (2006). A common representation for semantic and physical properties, a cognitive-anatomical approach. Experimental Psychology, 53(2), 87-94. DOI: 10.1027/1618-3169.53.2.87. |
| Kadosh R. C., Kadosh K. C., & Henik A. (2008). When brightness counts:the neuronal correlate of numerical-luminance interference. Cerebral Cortex, 18(2), 337-343. DOI: 10.1093/cercor/bhm058. |
| Kadosh R. C., & Walsh V. (2009). Numerical representation in the parietal lobes:abstract or not abstract?. Behavioral and Brain Sciences, 32(3-4), 313-328. DOI: 10.1017/S0140525X09990938. |
| Dehaene S., Bossini S., & Giraux P. (1993). The mental representation of parity and number magnitude. Journal of Experimental Psychology, 122(3), 371-396. DOI: 10.1037/0096-3445.122.3.371. |
| Fischer M. H., Castel A. D., Dodd M. D., & Pratt J. (2003). Perceiving numbers causes spatial shifts of attention. Nature Neuroscience, 6(6), 555-556. DOI: 10.1038/nn1066. |
| Fumarola A., Prpic V., Da Pos O., Murgia M., Umilta C., & Agostini T. (2014). Automatic spatial association for luminance. Attention, Perception, Psychophysics, 76(3), 759-765. DOI: 10.3758/s13414-013-0614-y. |
| Gebuis T., & van der Smagt M. J. (2011). Incongruence in number-luminance congruency effects. Attention, Perception, Psychophysics, 73(1), 259-265. DOI: 10.3758/s13414-010-0002-9. |
| Herrera A., Macizo P., & Semenza C. (2008). The role of working memory in the association between number magnitude and space. Acta Psychologica, 128(2), 225-237. DOI: 10.1016/j.actpsy.2008.01.002. |
| Hurewitz F., Gelman R., & Schnitzer B. (2006). Sometimes area counts more than number. Proc Natl Acad Sci, 103(51), 19599-19604. DOI: 10.1073/pnas.0609485103. |
| Hung Y., Hung D. L., Tzeng O. J. L., & Wu D. H. (2008). Flexible spatial mapping of different notations of numbers in Chinese readers. Cognition, 106(3), 1441-1450. DOI: 10.1016/j.cognition.2007.04.017. |
| Nuerk H. C., Wood G., & Willmes K. (2005). The universal SNARC effect. Experimental Psychology, 52, 187-194. DOI: 10.1027/1618-3169.52.3.187. |
| Pansky A., & Algom D. (2002). Comparative judgment of numerosity and numerical magnitude:attention preempts automaticity. Journal of Experimental Psychology:Learning, Memory and Cognition, 28(2), 259-274. DOI: 10.1037/0278-7393.28.2.259. |
| Pinel P., Piazza M., Bihan D.L., & Dehaene S. (2004). Distributed and overlapping cerebral representations of number, size, and luminance during comparative judgments. Neuron, 41(6), 983-993. DOI: 10.1016/S0896-6273(04)00107-2. |
| Ren P., Nicholls M. E. R., Ma Y. Y., & Chen L. (2011). Size matters:non-numerical magnitude affects the spatial coding of response. Plos One, 6(8), e23553. DOI: 10.1371/journal.pone.0023553. |
| Reynvoet B., & Brysbaert M. (1999). Single-digit and two-digit Arabic numerals address the same semantic number line. Cognition, 72(2), 191-201. DOI: 10.1016/S0010-0277(99)00048-7. |
| van Galen M. S., & Reitsma P. (2008). Developing access to number magnitude:A study of the SNARC effect in 7-to 9-year-olds. Journal of Experimental Child Psychology, 101(2), 99-113. DOI: 10.1016/j.jecp.2008.05.001. |
| Walsh V. (2003). A theory of magnitude:common cortical metrics of time, space and quantity. Trends in Cognitive Science, 7(11), 483-488. DOI: 10.1016/j.tics.2003.09.002. |
| Yang T., Chen C. S., Zhou X. L., Xu J. H., Dong Q., & Chen C. H. (2014). Development of spatial representation of numbers:A study of the SNARC effect in Chinese children. Journal of Experimental Child Psychology, 117(1), 1-11. |
| 陈亚林, 刘昌, 张小将, 徐晓东, 沈汪兵. (2011). 心算活动中混合策略选择的ERP研究. 心理学报, 43(4), 384-395. |
| 胡林成, 熊哲宏. (2011). 刺激模拟量的空间表征:面积和亮度的类SNARC效应. 心理科学, 34(1), 58-62. |
| 胡林成, 熊哲宏. (2013). 物理大小和面积的无意识空间表征. 心理科学, 36(6), 1369-1374. |
| 胡林成, 熊哲宏. (2016). 符号数量和非符号数量的空间表征:5岁儿童的SNARC效应和距离效应. 心理科学, 39(2), 364-370. |
| 刘超, 买小琴, 傅小兰. (2004). 不同注意条件下的空间-数字反应编码联合效应. 心理学报, 36(6), 671-680. |
| 刘馨元, 张志杰. (2017). 空间-时间关联的中介共同表征结构:来自反转STEARC效应的证据. 心理学报, 49(4), 427-438. |
| 司继伟, 周超, 张传花, 仲蕾蕾. (2013). 不同加工深度非符号数量信息的SNARC效应:眼动证据. 心理学报, 45(1), 11-22. |
| 徐晓东, 刘昌. (2006). 数字的空间特性. 心理科学进展, 14(6), 851-858. |
| 杨林霖, 张志杰, 顾艳艳, 周文杰. (2013). 空间-时间联合编码效应:来自手动和眼动证据. 心理科学, 36(6), 1347-1354. |
| 张丽, 陈雪梅, 王琦, 李红. (2012). 身体形式和社会环境对SNARC效应的影响:基于具身认知观的理解. 心理学报, 44(10), 1309-1317. |
2017, Vol. 33


