西北大学学报哲学社会科学版  2017, Vol. 47 Issue (4): 32-39  DOI: 10.16152/j.cnki.xdxbsk.2017-04-006

经济研究

引用本文 

郭俊华, 许佳瑜. 工业化、信息化、城镇化、农业现代化“四化”同步协调发展测度与对策研究——以陕西为例[J]. 西北大学学报哲学社会科学版, 2017, 47(4): 32-39. DOI: 10.16152/j.cnki.xdxbsk.2017-04-006.
[复制中文]
GUO Jun-hua, XU Jia-yu. Research on the Measurement and Countermeasures of the Coordinated Development of Industrialization, Informatization, Urbanization and Agricultural Modernization:Take Shaanxi as an Example[J]. Journal of Northwest University(Philosophy and Social Sciences Edition), 2017, 47(4): 32-39. DOI: 10.16152/j.cnki.xdxbsk.2017-04-006.
[复制英文]

基金项目

西安市社会科学基金项目(17J139), 陕西省教育厅哲学社会科学重点研究基地(15JZ067);西北大学研究生自主创新项目(YZZ14064)

作者简介

郭俊华,男,陕西武功人,西北大学教授,博士生导师,从事理论经济学研究。

文章历史

收稿日期:2017-03-11
工业化、信息化、城镇化、农业现代化“四化”同步协调发展测度与对策研究——以陕西为例
郭俊华, 许佳瑜     
西北大学 经济管理学院, 陕西 西安 710069
摘要:工业化、信息化、城镇化和农业现代化之间相互联系、相互影响、相互促进, “四化”同步协调发展对于我国现阶段转变经济发展方式, 实现可持续发展及经济增长具有重要的理论与实践意义。在对国内外学者关于“四化”及其关联性的研究的基础上, 构建“四化”协调相关指标体系, 运用协调发展测度模型对陕西“四化”同步协调状态进行测度分析, 并对促进“四化”同步发展提出对策建议。
关键词工业化    信息化    城镇化    农业现代化    四化同步    协调发展    
一、问题的提出

改革开放近四十年来, 中国经济持续高速发展, 综合国力、居民收入和生活水平都得到了极大的提升。工业化、信息化、城镇化和农业现代化的发展, 一方面有力地推动了我国经济的快速增长和全面小康社会建设进程; 另一方面, 使人们在获得各种改革发展红利的同时, 加深了对经济发展理念的认识, 提出以可持续的新型发展方式促进社会全面健康发展。党的十八大提出中国“四化”协调发展的新经济发展方式, 即“坚持走中国特色新型工业化、信息化、城镇化、农业现代化道路, 推动信息化和工业化深度融合、工业化和城镇化良性互动、城镇化和农业现代化相互协调, 促进工业化、信息化、城镇化、农业现代化同步发展。2015年, 十八届五中全会提出:“坚持协调发展, 必须牢牢把握中国特色社会主义事业总体布局, 正确处理发展中的重大关系, 重点促进城乡区域协调发展, 促进经济社会协调发展, 促进新型工业化、信息化、城镇化、农业现代化同步发展, 在增强国家硬实力的同时注重提升国家软实力, 不断增强发展整体性。”这是党基于对“四化”的重要性和关联度的科学分析做出的符合现阶段国情的新型战略决策。具有中国特色的新“四化”同步协调发展关系到我国经济持续健康高水平的发展, 是区域经济均衡发展的全新动力,更是推动我国社会经济健康可持续发展的新动能。

陕西省的工业基础较为雄厚, 工业体系齐全, 经过多年的积累, 形成了装备制造、高新技术、历史文化旅游等支柱产业, 在多个工业领域已经建成一批具有影响力的工业基地。近年来陕西工业实力不断增强, 工业对经济增长的贡献率不断增加, 工业结构不断优化, 呈现又好又快的发展势头。2015年陕西全省GDP为18 171.86亿元, 其中第二产业GDP为9 360.30亿元, 工业产值为7 507.34亿元, 同比上年增长7.3%, 占51.5%。全年全部工业增加值7 634.19亿元, 比上年增长6.9%。其中, 规模以上工业增加值增长7.0%。尽管陕西工业取得较大进展, 但在新型工业化进程当中仍出现诸多问题, 要实现跨越式发展, 追赶超越, 仍需不断改进。农业作为经济可持续发展的基础, 是陕西稳步推进“四化”同步发展的动力、供给侧改革的新方向。2015年陕西第一产业生产总值为1 597.63亿元, 占全省GDP的8.8%, 同比增长5.1%。陕西农业发展基础条件良好, 科技资源得天独厚, 未来随着新型城镇化加速, 耕地面积逐年减少, 资源型农业必然会被淘汰。因此, 陕西应整合农业资源禀赋, 通过技术手段改造传统农业提高农业生产率, 加快农业现代化进程, 使现代农业成为经济增长的新动力。

作为工业化的必然结果, 陕西城镇化水平明显提高, 发展速度不断加快。2015年陕西城镇人口数达到2 045.12万人, 较2014年增加了60.54万人, 城镇化率为53.92%, 比2014年提高了1.35个百分点。陕西全省设有10个省辖市、1个计划单列市和杨凌农业高新技术示范区、3个县级市和74个县, 城市和重点城镇的空间分布以全省生产力布局为基准, 关中城市群西起宝鸡, 东到华阴城市间绵延相接, 形成完善的网络城市体系, 是西北地区最大的城市群。陕北和陕南城镇空间处于散点式分布, 辐射带动作用有限, 仍需加强和改善。“十一五”以来, 陕西政府高度重视全省信息产业的发展, 不断加大对信息产业的扶持力度, 为其发展升级创造良好的机遇和创新环境。目前陕西电子信息领域创新体系日益完善, 科技成果不断涌现, 先后建设了一批国家级创新平台, 成功获得一批核心关键技术, 有力支撑了传统电子信息产业结构的调整和优化升级。未来应继续推动信息技术在各行各业中的融合运用发展, 推动陕西经济社会全方位跨越式发展。明确当前陕西“四化”协调水平是否有利于全省经济持续健康发展, 如何促使区域“四化”协调发展, 是实现陕西社会经济跨越式发展的关键。本文将在充分分析陕西省“四化”现状的基础上, 对区域“四化”协调水平进行系统的测度, 评估当前“四化”协调水平和存在的问题, 并为陕西“四化同步”协调发展提出相关建议。

二、相关文献评述

国外学者对于工业化、信息化、城镇化和农业现代化分别建立了比较成熟、系统化的研究体系。库兹涅茨(Kuznets, 1971)认为工业化是社会资源从农业领域向工业领域转移的过程。通过实证研究, 认为当第一产业的比重降到20%以下, 且第二产业的比重上升在GDP结构中比重最大时, 工业化进入中期阶段; 当第一产业的比重降低到10%左右, 且第三产业的比重上升至最高时, 工业化进入结束阶段[1](P172-173)。钱纳里(H.Chenery, 1989)认为工业化的过程就是制造业产值不断增长的过程, 同时提出运用地区制造业产值占国民收入的比重来衡量区域工业化发展水平[2](P93-97)。诺瑟姆(Ray M. Northam, 1975)提出了城市化的经济动力理论, 认为一个国家的城市化水平与当地社会经济发展水平之间存在线性相关关系[3](P62-65)。20世纪80年代后期, 部分国外学者开始考虑到国际资本、信息技术等因素对城市化发展的影响, 认为城市本身所拥有的集聚经济会导致各种相关经济主体在空间上彼此接近, 从而降低成本, 提高效率, 导致报酬递增, 最终形成循环累积的因果机制, 促使城市集聚的不断推进, 直至过剩的农业人口全部吸收。20世纪60年代, 神岛(Kamishima, 1964)首次使用了信息社会概念, 并认为日本最适合成为信息产业主导的社会[4]。西蒙·诺拉(Simon Nora, 1977)在为政府撰写的《社会的信息化》报告中使用了信息化的概念[5](P31-42)。早期的信息化是从产业结构演进的角度出发, 特指是从物质生产占主导地位的社会向信息产业占主导地位的社会发展的过程。而近年来国外学者对于信息化界定, 侧重从社会演变的角度, 指出信息化是工业社会向信息社会前进的过程, 即加快高科技信息产业发展及其产业化, 提高信息技术在经济和社会各领域推广应用水平并推动经济社会发展的过程。关于农业现代化, 舒尔茨(W.Schultz, 1987)认为, 发展中国家的经济有赖于当地农业的稳定增长, 但是传统的农业并不具备迅速且稳定的增长能力, 因此必须通过技术手段将传统农业改造为现代农业, 实现农业现代化发展[6](P29-32)

国外关于“四化”的相关研究很丰富, 但是有关“四化”之间同步协调发展的研究并不多。阿瑟·刘易斯(W.Arthur Lewis, 1954)最早提出二元经济模型, 并构建了依赖于城镇化和工业化的经济发展模式, 模型从农业部门为工业部门提供劳动力的角度将农业与工业发展联系到一起, 成为发展经济学的核心理论[7](P26)。舒尔茨(1964)从农业发展对工业化与城镇化的影响分析入手, 认为现代农业是促进工业化与城镇化发展的关键[6](P16)。速水佑次郎(Yujiro Hayami, 2005)基于农业现代化的角度, 认为农业现代化中科学技术因素是促使工业化与城镇化发展的原因, 要改变过去重视工业化忽视农业化的结构主义倾向。并指出农业现代化的发展依赖于科学技术的发展和变革, 农业现代化为农村劳动力向城市转移创造了条件, 这就是农业现代化、城镇化及工业化协调发展的过程[8](P70-75)

自党的十八大提出“四化”同步协调发展后, 国内很多学者开始着手关于工业化、信息化、城镇化和农业现代化的研究。关于“四化”内涵方面的研究, 王守智(2012)指出“四化”是一个整体系统, 工业化创造供给, 为城镇化提供经济、产业支撑; 城镇化创造需求, 为工业化提供服务空间和条件; 工业化、城镇化可带动农业现代化; 农业现代化则为工业化、城镇化提供支撑和保障; 信息化则能有力地推进其他“三化”的发展进程[9]。“四化”之间是相互影响、相辅相成的。关于“四化”同步的对策研究方面, 薛桂霞和钟钰(2015)认为我国目前处于向高收入国家迈进的阶段, 要想成功跨越“中等收入陷阱”, 必须从全局角度推进农业现代化与工业化、信息化、城镇化的协调发展, 主张优化公共资源配置机制, 提高农业现代化资源环境支撑力, 减缓农业现代化高成本压力, 以及深化体制机制改革, 加快拆除制约“四化”融合互动的藩篱[10]。关于“四化”同步发展的实证研究方面, 郭俊华等(2014)运用主成分分析方法和协调度测度模型对中国“四化”协调状态进行实证分析, 结果表明中国经济总体发展水平与“四化”协调发展水平存在地区分布不一致, 信息化的发展对地区“四化”的协调尤为重要, 提出信息化与工业化、城镇化、农业现代化的相互协调融合是我国“四化”协调发展的核心动力[11]。张亚滨(2015)[12]、熊巍(2014)[13]和任志安(2014)[14]分别对我国广西、湖北和皖北地区“四化”同步协调发展进行了测度实证研究, 并根据“四化”同步发展影响因素提出促进地区“四化”同步协调发展的对策建议。

三、陕西“四化”同步协调发展的指标建立及测度 (一) 指标设计与数据选取

本文通过深入分析“四化”本质,构建“四化”评价指标体系, 通过指标反映“四化”间的协调程度。本文指标体系如表 1所示包括四个方面。

表 1 工业化、信息化、城镇化、农业现代化发展水平评价指标体系

一是工业化评价子系统。从工业化发展的程度、效益水平和可持续发展能力三个方面入手,评价工业化发展水平。二是信息化评价子系统。考虑相关因素在时间跨度上的完整性和数据的可得性, 本文选取反映陕西信息资源水平和信息产业对居民生产生活影响力的数据指标。三是城镇化评价子系统。城镇化发展水平的高低体现了城镇经济发展程度、城镇基础设施是否完善以及城镇居住环境和生活质量。四是农业现代化评价子系统。农业现代化发展水平的评价包括农业经济发展程度、科技投入水平、产业规模水平和农业可持续发展能力。

(二) “四化”同步协调状态测度模型 1. 评价指标标准化处理

本文对于多属性指标的对象进行评价时, 为了消除量纲影响, 首先对评价指标值做出标准化处理。将不同量纲的指标通过适当的变化, 转化为无量纲的标准化指标, 确保指标指向的一致性。评价指标分为正向指标、负向指标和适中指标, 正向指标的值越大则说明状态越好, 而逆向指标的值越小说明状态越好, 适中指标越接近某个数值说明发展状态越好。在本文指标体系中的工业成本费用利润率、城镇失业率和农村居民恩格尔系数为逆向指标, 其余基础性评价指标均为正向指标。使用极差变化法对原始指标数值进行标准化处理。

2. “四化”整体协调状态测度

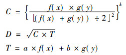
本文通过借鉴学者廖崇斌设计的经济与环境变量间协调度和同步发展程度的测度模型, 针对“四化”发展之间的协调度进行测度。协调测度模型为:

其中, C为变量间的协调度, f(x)和g(y)分别表示两个子系统的发展水平, k(k≥2)为模型的调节系数; D为协调发展度; T表示两个系统的整体发展水平, 其中, ab为待定权重。

本文根据上述模型, 以此类推构造测度“四化”协调度和协调发展度的模型如下:

其中, C为变量间的协调度, IFUA分别代表陕西工业化、信息化、城镇化和农业现代化的综合发展水平指数。本文认为“四化”的四个方面发展同等重要, 即a=b=c=da+b+c+d=1, 因此取权重a=b=c=d=0.25, 为保证D取值在0—1范围之间, 因而将对“四化”综合发展水平得分进行一次极差标准化处理。

(三) 陕西“四化”同步协调发展测度结果

首先, 本文利用2010—2015年《陕西省统计年鉴》《陕西省国民经济和社会发展统计公报》等资料获取相关指标的数据, 运用SPSS16.0软件对原始数据进行标准化处理后, 采用主成分分析法对相关数据进行主成分分析。根据软件计算出每个子系统的主成分得分, 进行一次极差标准化处理,分别计算出工业化、信息化、城镇化和农业现代化的综合发展水平指数。随后, 采用相同的权重系数值, 计算子系统变量间的协调度。

表 2所示的协调度等级划分和表 3统计测算的陕西“四化”整体协调发展度水平可以看出, 陕西省“四化”同步发展协调度在不断优化。从2009年陕西“四化”同步发展濒临失调的状态, 逐渐改善到2011年“四化”同步发展状态勉强协调, 2014年“四化”同步发展达到初步协调状态。六年间, 陕西“四化”之间两两协调的程度也不断优化提高。根据目前陕西“四化”协调发展水平综合评价结果可预测, 未来“四化”同步协调发展状态将会越来越好, 成为社会经济发展的重要驱动力。

表 2 协调度等级划分

表 3 陕西省“四化”整体协调发展度

表 3中看“四化”间两两关联协调发展度,2014年工业化和城镇化以及城镇化和信息化之间的同步发展已达到优质协调状态; 工业化和信息化达到良好协调状态; 农业现代化和城镇化目前为勉强协调状态; 农业现代化和工业化处于濒临失调状态。

基于陕西实际, 通过分析原始数据和结论数据, 发现阻碍“四化”同步发展进程的主要因素在于农业现代化发展相对滞后, 导致其在“四化”中基础地位不牢固。表 3中协调发展关联度分析中, 2009年至2014年工业化与农业现代化同步发展协调度和城镇化与农业化同步发展协调度从0.33和0.41提高到0.49和0.54, 仍处于最低端的协调状态, 甚至濒临失调。而工业化和城镇化协调度从0.66初步协调上升至0.9优质协调状态, 说明农业现代化是胁迫区域同步协调发展的最主要因素。陕西农业发展基础条件较好, 科技资源得天独厚, 有全国独一无二的杨凌农业高新技术示范区及农林高校西北农林科技大学。制约农业现代化发展的主要因素是农业的规模和农业可持续程度。目前陕西农业发展也面临一些问题:耕地面积逐年减少导致资源型农业生产难以为继; 农产品附加值低, 经营模式亟待转型; 生态环境脆弱, 农业生产条件恶化等。以上问题制约农业现代化的发展, 从而导致整体“四化”同步协调速度减慢。

此外, 城镇化和工业化与农业现代化的融合互动仍处于局部运用阶段。在陕西经济建设总体战略中, “工业优先, 城市偏向”的主导思维模式始终存在, 导致产业投资向二三产业和城市过度集中。尽管农村金融改革在逐步发展, 但是随着农业现代化金融需求的增加, 农业金融供需矛盾更加突出。农业现代化的生产条件下, 新型经营主体包括公司、大户、家庭农场日渐成为农业现代化建设的主体。与传统产业相比, 现代农业资金需求额度更大, 运作周期更长, 但是受到金融机构贷款政策限制, 难以获得合理利率和足量贷款支持。陕西目前还没有完善的促进“四化”协调发展的体制机制, 部门分割导致伴随着工业化、城镇化、信息化、农业现代化发展的相关领域跨域联动和信息共享并未真正实现。

四、政策建议

“四化”同步协调发展是一项长期、艰巨的过程, 需要工业化、信息化、城镇化与农业现代化的不断协作融合, 利用工业化、信息化的雄厚基础, 提高技术创新能力, 促进城镇化、农业现代化水平的提高, 逐步实现“四化”的协调发展。针对陕西未来的经济社会发展提出以下对策建议:

(一) 坚持走新型工业化道路, 推动工业转型升级

工业化是“四化”间协调发展的基础和核心, 坚持走新型工业化道路, 是加快陕西工业化进程, 发挥工业化龙头作用的必然选择, 是推动经济建设的一项重要战略任务。陕西新型工业化建设进程中应突出特色、面对市场、高瞻远瞩、整体把握。陕西工业优势集中在装备制造和高新技术产业。陕西省高等院校和科研机构众多, 集中了大约90多万各类科技人才, 综合科技开发能力排行全国第三,居西部地区科技能力排行首位。应利用关中城市群现代科教和人才优势, 以西安高新区为代表的高新技术产业为龙头, 带动省内其他高新技术开发区、经济技术开发区的合理分工发展, 将高端装备制造业和战略性新兴产业上升为主导产业, 推动支柱产业集群发展, 建设全国先进制造业基地。其次, 应加快传统产业的改造升级, 积极培育新兴产业。加大高新技术在各个产业的扩散和渗透, 以提高效率为重点, 着力改造提升传统产业的技术装备水平和产品工艺水平。科学选择具有广阔市场前景, 资源能耗低、带动系数大、综合效益高的战略新兴产业, 掌握关键核心技术。在新能源、新材料、生物医药等新兴领域培育新的增长点, 取得新突破。

(二) 全面提高信息化水平, 实现全域智慧发展

全面提升信息化是“四化”协调发展的重要举措, 是工业化、农业现代化和城镇化更好更快发展的必然要求。信息化会融入社会的各个领域, 提高整个社会运行效率, 实现全域智慧发展对“四化“协同发展起到全面促进作用。对工业化而言, 信息化与工业化融合将会提髙工业企业的生产效率、资源的利用率, 优化资源配置; 对于城镇化而言, 信息化将会提升城市化建设的质量与品质, 实现社会治理信息化管理, 更好更有效率地为社会服务; 对于农业现代化而言, 信息化有利于农业技术的创新、推广, 有利于开拓农副产品市场, 进一步改变了农业的生产方式与农村的生活方式, 推进农业现代化进程。

陕西在推进“四化”协调发展的同时, 应加强工业化、信息化发展过程中的科技创新能力。一方面, 通过建立信息技术科技创新基金, 鼓励信息新技术的研发, 孵化信息科技创新产品, 为信息科技创新提供充足的资金支持和智力支持; 另一方面, 完善本省信息技术创新环境, 通过鼓励科技创新政策降低高科技新型产业发展的负担, 吸引创新人才和企业, 优化科技创新环境, 实现信息技术的跨越式发展。

(三) 统筹城乡发展, 提升城镇化质量

城市和农村是我国“四化”协同发展的空间基础, “四化”同步协调发展离不开城镇的支撑。推进陕西城乡一体化建设是全面建设小康社会的重要举措, 是贯彻落实全面建成小康社会的战略选择, 是实现“四化”协调同步发展的必由之路。陕西应加快统筹城乡一体化的进度, 进一步统筹城乡规划和基础设施建设, 完善城乡社会经济一体化保障机制, 实现工业化、城镇化和农业现代化协调同步发展。

城镇化是实现地区城乡一体化进程的必要途径, 是工业化发展的必然结果, 是实现现代化的必然要求。因此, 陕西在加快城镇化进程中, 要发挥城市聚集、带动、辐射的作用, 在城镇化建设过程中, 以“去空心化”为重心, 通过人口、产业提升城镇化建设的深度与质量, 以工业化、现代服务业发展为基础, 农业现代化建设为支持, 提高城镇化地区的产业深度, 通过产业融合提升城镇化建设的质量。

(四) 推动现代农业化发展, 夯实农业基础

农业现代化是加快协调工业化与城镇化健康发展的基础, 从根本上解决“三农”问题, 巩固农业基础地位的重要举措。加快农业现代化发展是“四化”同步协调发展的基础动力和必然要求, 因此, 陕西要调整经济发展结构, 实现增长动力多元化, 整合农业资源禀赋, 加速城乡资源要素流动, 加快发展现代农业, 用高新技术改造升级传统农业, 提高农业劳动和土地生产率, 加强土地流转, 提高农业的产业链及附加值, 并为农副产品流通开辟广阔渠道, 使农业成为经济增长的新引擎。

长期以来, 由于受到城市工业发展偏向的影响, 陕西的整体农业现代化发展水平滞后, 成为制约全省“四化”同步协调发展的短板。因此应从全局出发, 高度重视农业现代化发展, 陕北和陕南应将剩余劳动力就地非农化转移, 提高农业劳动和土地生产率, 加快城乡一体化进程。关中地区应发挥优势, 以信息化带动农业现代化发展, 推动地区农业现代化升级, 使关中农业朝着现代化、智能化、科技化、精准化方向发展。

(五) 实现“四化”协调发展, 推动陕西经济追赶超越

推动陕西“四化同步”协调发展对于促进全省经济健康可持续增长至关重要。“四化”同步发展的本质是在“四化”发展过程中实现的融合与互动。“四化”之间的相互融合反映了生产力和生产关系相互作用、相互调整的过程。因此, 在陕西应建立完善的“四化”协调互动发展的体制机制, 为“四化”协调发展创造良好的政策环境。在推进“四化”协调发展的过程中, 工业化是“四化”发展的总动力, 应始终处于不可动摇的基础地位。工业化的发展和繁荣, 为推动区域城镇化进程提供了充分的物质条件, 同时为农业现代化生产提供了必要的物质装备, 为信息化的发展提供了大量的资金和人才支持。陕西应坚持走新型工业化道路, 优化工业发展结构, 提高工业发展的质量, 努力实现工业现代化、工业信息化和工业生态化, 充分发挥工业化对地区农业现代化、城镇化和信息化的带动作用。城镇化为工业化和农业现代化互动发展建起了桥梁, 城镇化商品交易提供了广阔的平台, 因此要实现农业现代化发展, 必须要实现城乡一体化的统筹发展, 以推进城镇化为基础。农业现代化是“四化”发展过程中的重点也是难点, 要把发展农业现代化作为着力点, 并加强工业化、城镇化和信息化对农业现代化的支撑作用。信息化始终渗透在工业化、农业现代化和城镇化的发展进程中, 未来应增强信息化对城镇化进程的引领作用, 以信息化推动工业化、城镇化和农业现代化的发展, 同时也要为信息化提供更大的发展升级空间。此外, 在实现陕西“四化”协调发展过程中, 应积极借鉴国内外成熟的发展经验, 吸取先行国家和地区的惨痛教训, 结合陕西实际情况探索新的发展途径, 实现陕西省“四化”的协调稳健发展。

参考文献
[1]
西蒙·库兹涅茨.现代经济增长(中译本)[M].北京: 北京经济学院出版社, 1989.
[2]
霍利斯·钱纳里, 等.工业化和经济增长的比较研究[M].吴奇, 王松宝, 译.上海: 格致出版社, 上海三联书店, 上海人民出版社, 2015.
[3]
诺瑟姆, 等. 经济地理[M]. 北京: 高等教育出版社, 2006.
[4]
神岛. 信息社会的社会学[J]. 朝日放送(日), 1964, (1).
[5]
西蒙·诺拉等.社会的信息化[M].施以方, 迟路, 译.北京: 商务印书馆, 1985.
[6]
W·舒尔茨.改造传统农业[M].梁小民, 译.北京: 商务印书馆, 1987.
[7]
阿瑟·刘易斯.经济增长理论[M].郭金兴, 等, 译.北京: 机械工业出版社, 2015.
[8]
速水佑次郎, 神门善久.农业经济论(新版)[M].沈金虎, 周应恒, 张玉林, 译.北京: 中国农业出版社, 2003.
[9]
王守智. 制度变迁理论视角下的我国民生问题研究——兼论制度的起源及功用[J]. 中州大学学报, 2012, (1).
[10]
薛桂霞, 钟钰. 我国"四化"协调发展的内在关系研究[J]. 农村经济, 2015, (1).
[11]
郭俊华, 卫玲, 孟楠. 中国"四化"进程协调状态测度研究[J]. 区域经济评论, 2014, (5).
[12]
张亚滨.广西"四化"协调发展研究[D].广西大学, 2015.
[13]
熊巍, 祁春节. 湖北省"四化"同步发展水平评价与对策研究[J]. 科技进步与对策, 2014, (9).
[14]
任志安, 赵静静. 皖北地区"四化"协调发展的实证研究[J]. 区域经济评论, 2014, (3).
Research on the Measurement and Countermeasures of the Coordinated Development of Industrialization, Informatization, Urbanization and Agricultural Modernization:Take Shaanxi as an Example
GUO Jun-hua, XU Jia-yu     
Schoof of Economic and Management, Northwest University, Xi′an 710069, China
Abstract: There are some relationships between industrialization, informatization, urbanization, and agricultural modernization.And we named coordinated development of these as "The Four Modernizations" its coordinated development is of great theoretical and practical significance for China to change the mode of economic development and achieve sustainable development and economic growth. On the basis of the research on the relationship between "four modernizations" at home and abroad, this paper sets up the relevant index system of "four modernizations".The coordinated development measurement model is used to measure the coordination state of the four modernizations in Shaanxi.Finally, this paper puts forward some countermeasures to promote the development of the four modernizations synchronization.
Key words: Industrialization    informatization    urbanization    agricultural modernization    four modernizations synchronization    coordinated development