文章信息
- 孟宪影, 刘天琪, 李兴源, 龚在礼
- MENG Xianying, LIU Tianqi, LI Xingyuan, GONG Zaili
- 水轮机调速系统对电力系统阻尼特性影响分析
- Analysis of impact of hydraulic turbine governing system on damping characteristics of power system
- 武汉大学学报(工学版), 2017, 50(4): 556-559
- Engineering Journal of Wuhan University, 2017, 50(4): 556-559
- http://dx.doi.org/10.14188/j.1671-8844.2017-04-012
-
文章历史
- 收稿日期: 2015-06-06
2. 四川电力职业技术学院,四川 成都 610071
2. Sichuan Electric Vocational and Technical College, Chengdu 610071, China
近年来,我国相继建成或在建多座规模较大的水电站,如三峡、溪洛渡、向家坝等水电站.随着电力系统中水轮机组台数的增多,水轮机组单机容量及总容量的增大,其对电网稳定性的影响也将增大.我国电力系统近年来就发生多次水轮机组参与的功率低频振荡现象,严重影响了电网的安全稳定运行[1].
电力系统小扰动的研究中,通常忽略水轮机调速系统的影响,或仅在某一特定的振荡模式下讨论其对系统稳定的影响[2, 3],不具有一般性;或通过分界频率判断调速系统提供的是正阻尼还是负阻尼,没有定量地分析提供正/负阻尼的大小[4].
本文针对上述问题,作了以下研究:在包含水轮机调速系统的Phillips-Heffron模型上,结合复转矩系数法和水轮机调速系统传递函数的频率特性,从机理上分析并验证了水轮机调速系统对系统阻尼特性的影响,给出该系数的计算方法,得出了相应的结论.
1 调速系统对阻尼影响机理分析本文的分析建立在包含水轮机调速系统的简化Phillips-Heffron模型上,如图 1所示.
|
| 图 1 包含水轮机调速系统的简化Phillips-Heffron模型 Figure 1 Block diagram of Phillips-Heffron model including hydro-turbine governor's system |
图 1中,Δδ和Δω分别为功角和转速增量;ΔTm和ΔTe分别为机械和电磁转矩增量;M为机组惯性时间常数; D为阻尼系数;ω0为系统基准角频率.
由图 1可得:
(1)
基于复转矩系数法[5],图 1的电磁转矩变化量ΔTe可分解为
(2)
式中:KedΔω是与Δω同相的转矩变化分量,称为阻尼转矩变化分量,Ked为阻尼转矩系数; KesΔδ是与Δδ同相的转矩变化分量,为阻尼转矩变化分量,Kes为同步转矩系数.
通过在Phillips-Heffron模型中引入水轮机调速系统传递函数模型,并对其进行频率响应特性分析,可将机械转矩变化量ΔTm分解为
(3)
式中:KGOV和φGOV分别为水轮机调速系统传递函数在振荡角频率ωd时的幅值和相位角.为便于分析比较,令
(4)
则式(4)可改写为
(5)
式中:KmdΔω是与Δω同相的转矩变化分量,是水轮机调速系统提供的附加阻尼转矩;Kmd为附加阻尼转矩系数; KmsΔδ是与Δδ同相的转矩变化分量,是水轮机调速系统提供的附加同步转矩;Kms为附加同步转矩系数.
将式(2)、(5)代入式(1),整理后得
(6)
由其通用形式[6]可得系统阻尼转矩系数KD为
(7)
系统的阻尼比ζ为
(8)
由此可见,Kmd>0,调速系统提供正的阻尼;Kmd<0,调速系统提供负的阻尼,且随着Kmd增减,KD和ζ也随着增减.
2 调速系统对阻尼特性影响频域分析 2.1 Kmd系数计算方法
|
| 图 2 简化的水轮机调速系统模型 Figure 2 Diagram of simplified model of hydraulic turbine governor's system |
图中:Tg为调速器响应时间;R为调差系数;Tw为水锤效应时间常数.
水轮机调速系统传递函数为
(9)
将s=jωd[8]代入式(9),整理后得水轮机调速系统的频率特性为
(10)
由上式可得调速系统的幅频特性KGOV为
(11)
其相频特性φGOV为
(12)
将式(11)、(12)代入式(4),可得出Kmd.
2.2 调速系统对阻尼特性影响频域分析依据前述方法,绘制出Kmd随振荡频率f(f=2πωd)及不同水轮机调速系统参数(Tw,R,Tg)变化的曲线,如图 3~5所示.
|
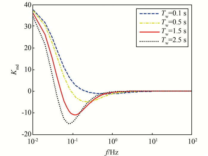
| 图 3 Kmd随频率f及Tw变化曲线 Figure 3 Curve of Kmd varied with f and Tw |
|
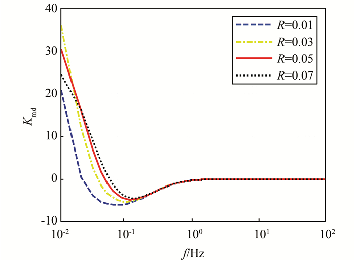
| 图 4 Kmd随频率f及R变化曲线 Figure 4 Curve of Kmd varied with f and R |
|
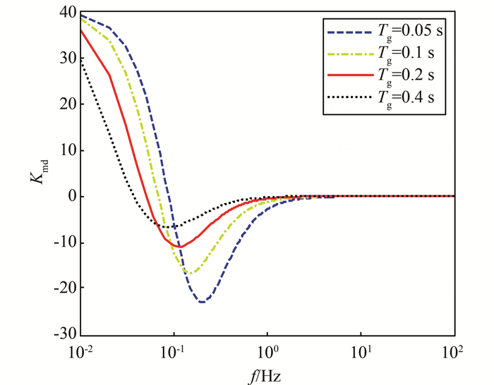
| 图 5 Kmd随频率f及Tg变化曲线 Figure 5 Curve of Kmd varied with f and Tg |
分析图 3~5可知:Kmd在超低频段(0~0.8 Hz),随f的变化急剧变化;在低频段(0.8~3 Hz),变化较小;在高频段(f>3 Hz时),基本不变,且接近于0.调速系统对系统阻尼特性的影响与Kmd的变化规律一致.Tw、R、Tg对Kmd系数均有较大影响,选取适当的参数对提高系统阻尼转矩,进而抑制系统的低频振荡大有益处.水轮机调速系统对系统的低频振荡,特别是超低频振荡影响较大,对高频振荡基本无影响.
3 简单模型下仿真计算及时域分析 3.1 模型参数计算采用单机无穷大系统,如图 6所示.
|
| 图 6 单机无穷大系统示意图 Figure 6 Diagram of single machine-infinity |
发电机采用基于简化Park方程式的6绕组模型,水轮机调速系统采用PSD-BPA程序中调速器和水轮机组合在一起的GH卡[9],其数学模型和参数含义参见相关文献.
3.2 小干扰计算及时域仿真本文通过切除发电机有功功率200 MW(0.1Pu)给系统施加小扰动,通过改变机组的转动惯量M改变系统的振荡频率.因篇幅所限,本文仅以Tg变化为例,分析验证水轮机调速系统对系统阻尼特性的影响.
表 1是在f=1.0 Hz,R=0.05,Tw =2.0 s,Tg取不同值时,得出的阻尼特性计算结果;图 7是其时域仿真结果——发电机功角响应曲线.
| 参数 | 有调速系统 | 无调速系统 | ||
| Tg=0.05 s | Tg=0.1 s | Tg=0.4 s | ||
| 实部 | -0.196 6 | -0.285 0 | -0.329 6 | -0.340 4 |
| 虚部 | 6.418 3 | 6.589 1 | 6.725 0 | 6.770 9 |
| 频率/Hz | 1.021 5 | 1.048 7 | 1.070 3 | 1.077 6 |
| 阻尼比 | 0.030 6 | 0.043 2 | 0.048 9 | 0.050 2 |
| 相关比 | 9.648 9 | 14.634 5 | 23.674 1 | 29.608 5 |
| Kmd | -19.005 6 | -0.892 9 | -0.175 5 | 0 |
|
| 图 7 不同Tg时系统的时域仿真 Figure 7 Time domain simulation of different values of Tg |
由图 7和表 1分析可知:当Kmd>0时,水轮机调速系统向系统提供正的阻尼转矩,有调速系统的阻尼特性优于无调速系统的阻尼特性;当Kmd<0时,水轮机调速系统向系统提供负的阻尼转矩,有调速系统的阻尼特性劣于无调速系统的阻尼特性.且随着Kmd的增减,系统的阻尼比也相应地增减,水轮机调速系统向系统提供的阻尼转矩也增减,系统的阻尼特性也相应地增减.
4 结论水轮机调速系统对系统阻尼特性的影响,主要取决于其附加阻尼转矩系数Kmd,当Kmd为正时,水轮机调速系统向系统提供正的阻尼转矩;当其为负时,向系统提供负的阻尼转矩,且随着其值的增减,其所提供的阻尼转矩也增减.
水轮机调速系统对系统的阻尼特性的影响,除了与其自身的参数R、Tw、Tg有关外,还与系统的振荡频率f有关;水轮机调速系统对系统的低频振荡,特别是超低频振荡影响较大;对较高频率的振荡影响较小,且主要提供的是负阻尼转矩.
| [1] |
陈舟, 陈寿孙, 张中华, 等. 水力系统模型对电力系统暂态稳定分析的影响[J].
清华大学学报:自然科学版, 1996, 36(7): 13–18.
Chen Zhou, Cheng Shousun, Zhang Zhonghua, et al. Effect of hydraulic system models on power system transient stability analysis[J]. Journal of Tsinghua University (Science and Technology), 1996, 36(7): 13–18. |
| [2] |
韩志勇, 徐衍会, 辛建波, 等. 水轮机组与电网耦合对电网动态稳定的影响[J].
电工技术学报, 2009, 24(9): 166–168.
Han Zhiyong, Xu Yanhui, Xin Jianbo, et al. Effect of the coupling between hydraulic turbine set and power grid on power grid dynamic stability[J]. Transactions of China Electro Technical Society, 2009, 24(9): 166–168. |
| [3] |
陈新琪, 竺士章. 紧水滩水轮机调速系统对电力系统定性的影响[J].
水电自动化与大坝监测, 2007, 31(6): 10–12.
Chen Xinqi, Zhu Shizhang. Effect of hydroturbine governor system of Jinshuitan hydropower plant on electric power system stability[J]. Hydropower Automation and Dam Monitoring, 2007, 31(6): 10–12. |
| [4] |
王官宏, 陶向宇. 原动机调速系统对电力系统动态稳定的影响[J].
中国电机工程学报, 2008, 28(34): 81–85.
Wang Guanhong, Tao Xiangyu. Influence of turbine governor on power system dynamic stability[J]. Proceedings of the CSEE, 2008, 28(34): 81–85. |
| [5] |
徐政. 复转矩系数法的适用性分析及其时域仿真实现[J].
中国电机工程学报, 2000, 20(6): 1–2.
Xu Zheng. The complex torque coefficient approach's applicability analysis and its realization by time domain simulation[J]. Proceedings of the CSEE, 2000, 20(6): 1–2. |
| [6] | Kunder P. Power System Stability and Control[M]. Beijing: China Electrical Power Press, 2001: 488-491. |
| [7] |
魏守平.
水轮机调节[M]. 武汉: 华中科技大学出版社, 2009: 18-19.
Wei Shouping. Hydraulic Turbine Regulation[M]. Wuhan: Huazhong University of Science & Technology Press, 2009: 18-19. |
| [8] |
孙炳达, 梁志坤.
自动控制原理[M]. 北京: 中国机械工业出版社, 2003: 78-81.
Sun Bingda, Liang Zhikun. Automatic Control Theory[M]. Beijing: China Machine Press, 2003: 78-81. |
| [9] |
汤涌, 卜广全, 侯俊贤. PSD-BPA暂态稳定程序用户手册[M]. 北京: 中国电力科学研究院系统所, 2006: 98-99.
Tang Yong, Bu Guangquan, Hou Junxian. PSD-BPA Transient Stability Program User Manual[M]. Ver 3. 0. Beijing: China Electric Power Research Institute, 2006: 98-99. |
2017, Vol. 50


