2. 中国石油集团测井有限公司, 陕西西安710077
2. CNPC Logging Company, Xi'an 710077, China
相比于地震勘探方法, 电磁勘探方法对地层电阻率的变化敏感且能够通过观测天然场源或人工场源激发的电磁响应实现对油气藏中流体分布的有效识别[1], 是油气资源勘探和地球内部电性结构研究的重要技术之一[2-3]。特别是对于长期通过水驱提高采收率的油田, 如大庆油田, 电磁勘探方法在监控水驱的效率及发现剩余油分布等方面起到了重要的作用。目前, 井间电磁勘探方法和地面电磁勘探方法均已在油气勘探领域得到了广泛的应用, 但都具有一定的局限性, 如金属套管井限制了井间电磁方法的横向探测范围, 使得井间电磁方法最大探测距离一般不超过1km[4]; 而地面电磁方法虽然能达到更远的勘探范围, 但也只能识别油水的空间分布, 难以精细描述储层的整体轮廓和纵向变化且信噪比不高[4-7]。
地对井电磁方法是另一种具有潜力的油水识别和油藏监控方法, 该方法是将发射源置于地面, 利用井中接收到的电磁波信号确定地层电性特征的一种地球物理探测方法[8]。由于测量探头位于井中, 因此可以获得更接近异常体的电磁响应, 受到的干扰也比地面电磁方法要小, 同时可以消除金属套管对发射源的限制。通过对所测得的电磁异常响应规律的研究, 可以获得异常体的空间位置和几何参数等信息[9-11]。
在20世纪, SPIES等[12]利用地对井电磁方法在监测热流前沿, 提高油气回收率等方面取得了显著进展; AUGUSTIN等[13]、WILT等[14]曾对地对井电磁方法圈定油气藏进行了一系列数值模拟研究, 显示传统地对井电磁方法横向分辨率低, 受近地表强电磁场耦合干扰严重, 故此法的推广应用受到了限制。对此, WILT等[14]提出将接收数据分为近地表数据和深部地层数据, 以此消除干扰, 但应用方面仍然局限于特定情况; LEE等[15]提出固定井源距垂直电磁剖面地对井电磁成像方案, 但其分辨率和勘探范围依然有限。在国内, 魏宝君等[16]进行了地对井电磁系统成像的研究, 取得了一定效果; 李静和等[17]针对地对井垂直电磁Walkaway剖面法, 考虑了均匀半空间和层状介质两种背景模型, 应用积分方程法对其三维模型响应进行模拟研究, 对模型的电阻率、规模大小、埋藏深度和离井距离等参数进行模拟计算, 分析总结了模型参数变化时的电磁响应特征和规律, 证实了地对井垂直电磁剖面法突出的探测能力; 为提高信噪比, 增大感应强度与探测深度, 许颢砾等[18]提出地面-井下双源瞬变电磁立体探测法, 意义在于克服地面瞬变电磁场信噪比较低而井下瞬变电磁发射磁距受限, 探测深度较小的缺点[19], 其将大线圈安置于地面发射, 将小线圈安置于井下发射与接收, 利用大线圈和小线圈同时向探测体发射一次电磁场脉冲, 实现对探测体的识别。
本文通过正反演系统研究地-井电磁法对油气藏有效识别的可行性。首先建立了地面电磁模型、地对井电磁模型及地-井双源模型, 与许颢砾等[18]的双源模型不同之处在于, 在其双源模型基础上增加了地面接收装置, 同时实现地面对地面、地对井和井对地测量。通过正演模拟比较分析这些模型对油气藏的灵敏度, 确认性能最佳的模型及各个模型对浅层油气藏进行电磁勘探的适宜参数。之后依据正演分析结果构建具有适宜参数的地-井模型, 将此模型应用于1500m深度的复杂油气藏和5000m深度的油气藏的勘探模拟中。再采用高斯牛顿反演对以上油气藏进行反演研究, 以研究采用地-井模型的电磁方法有效识别各种类型油气藏的可能性。
1 理论模型与正演分析本文研究采用基于有限差分的2.5维电磁场模拟算法[20]。
1.1 地面电磁模型的正演灵敏度分析图 1所示是基于地面电磁方法的浅层油气藏模型, xy平面与地面平行, z轴为深度(地面z=0), 方向向下。在电阻率为2Ω·m的各向同性背景介质中有电阻率为50Ω·m的非规则形状电性异常体(油气藏, 黄色)。此油气藏的上顶面到地面的垂直距离为400m, 最大长度约为1000m, 厚度约为200m。数值模拟采用x方向网格大小为100m, 而z方向网格大小为50m。
|
图 1 基于地面电磁的油气藏模型 |
对此模型的测量采用间隔分布的方式, 在z=0的地面, x=-2000m至x=0区间以400m水平间距均匀布设6个发射源, 同时在地面(z=0)上的x=50m处至x=2000m处, 以50m水平间距均匀布设40个接收器(图 1)。在整个测量过程中, 当其中一个发射源工作时, 其它发射源处于关闭状态, 依次进行信号的发射与数据采集, 共进行6次信号的发射与采集工作。
测量采用两种配置。一种是yHED-Ey配置, 即源为y方向的电偶极子源(yHED), 测量y方向电场(Ey); 另一种是VMD-Hz配置, 即源为z方向的磁偶极子源(VMD), 测量z方向磁场(Hz)。在模拟时, 源的能量归一化。选择采用Ey和Hz分量, 是因为同时考虑了测量信号强度和测量可操作性, 在地面采用y方向电性源时, 测量Ey, 而在井筒中无论是电性源还是磁性源, 都测量z方向磁场分量Hz, 因为沿井筒方向放置测量线圈最方便, 是地对井和井间电磁常用的配置[14]。
图 2显示了地面电磁模型不同的源随着源与接收器距离的变化其电磁场幅值相对变化的曲线。对比图 2a、图 2b、图 2c和图 2d发现, 当采用yHED-Ey测量配置时, 在频率为0.1Hz情况下, 电磁场分量的幅值变化高于VMD-Hz测量配置下电磁场分量的幅值变化, 而在1.0Hz情况下, VMD-Hz测量配置对油气藏的灵敏度大大提高, 并达到与yHED-Ey测量配置下类似的灵敏度; 采用yHED-Ey测量配置时, 在0.1Hz下所测得的电磁场分量幅值变化高于在1.0Hz下所测得的电磁场分量的幅值变化, 表明在此模型下采用yHED-Ey测量配置, 在一定范围内频率较低时, 对油气藏的灵敏度更高; 在VMD-Hz测量配置下, 频率为1.0Hz所测得的电磁场分量的幅值变化高于在0.1Hz下所测得的电磁场分量的幅值变化, 表明在此模型下采用VMD-Hz测量配置, 在一定范围内频率较高时, 对油气藏的灵敏度更高。
|
图 2 地面电磁模型不同的源随着源与接收器距离的变化其电磁场幅值相对变化曲线(电性源为Ey分量, 磁性源为Hz分量) a yHED-Ey, 0.1Hz; b yHED-Ey, 1.0Hz; c VMD-Hz, 0.1Hz; d VMD-Hz, 1.0Hz |
同时发现: ①使用yHED-Ey测量配置时, 无论频率为0.1Hz还是1.0Hz, 所测电磁场分量的幅值极值绝对值最大的曲线均是x=-400m处的源所测得的黄色曲线, x=-800m处的源所测得的黑色曲线次之, 其中, 各曲线的峰值多出现在源与接收器距离约为1000m时。说明该模型使用电性源时, 在发射与接收距离约为1000m处, 勘测效果最佳; ②使用VMD-Hz测量配置时, 无论频率为0.1Hz还是1.0Hz, 所测电磁场分量的幅值极值绝对值最大的曲线均是x=-2000m处的源所测得的蓝色曲线。表明在此模型下, 相较于yHED-Ey测量配置, 使用VMD-Hz测量配置时, 发射与接收的距离越大, 模型灵敏度越高。
为了展示实际测量电磁场分量的大小, 图 3给出了图 1所示油气藏模型的电磁场分量Ey幅值随源与接收器距离的变化曲线(频率为0.1Hz, 源在x=-400m)。由图 3可以看出, 当源与接收器的距离约为1.00km时, Ey幅值的变化最大。
|
图 3 图 1所示模型的电磁场分量Ey的幅值随源与接收器距离的变化曲线(频率为0.1Hz, 源在x=-400m) |
图 4给出了一个基于地对井电磁方法的油气藏模型。此模型的电阻率分布与图 1完全一致。在x=1200m处设置一口深度为1000m的垂直井, 在井内以25m垂直间距均匀悬挂40个接收线圈, 并在地面(z=0)上x=-2000m至x=0区间以400m水平间距均匀布设6个发射源。在整个测量过程中, 当其中一个发射源工作时, 其它发射源处于关闭状态, 依次进行信号的发射与采集。
|
图 4 基于地对井电磁的油气藏模型 |
图 5是图 4所示地对井电磁模型所测得的磁场分量(Hz)的幅值变化图。测量时同样采用两种配置, 一种是yHED-Hz配置, 即源为y方向的电偶极子源(yHED), 测量z方向的磁场(Hz); 另一种是VMD-Hz配置, 即源为z方向的磁偶极子源(VMD), 测量z方向的磁场(Hz)。对比图 2和图 5可以看出, 地对井模型所测的电磁场幅值变化在几种情况下均高于地面电磁模型所测到的电磁场的幅值变化, 说明对于本模型, 地对井方法的灵敏度高于地面电磁方法。对比图 5a、图 5b、图 5c和图 5d可以发现, 使用yHED-Hz测量配置时所测得的电磁场分量的幅值变化明显高于使用VMD-Hz配置时所测得的电磁场分量的幅值变化, 故地面发射、井中接收时, yHED-Hz测量配置对油气藏的灵敏度更高。使用yHED-Hz测量配置时, 在0.1Hz下所测得的电磁场分量的幅值变化高于在1.0Hz下所测得的电磁场分量的幅值变化; 使用VMD-Hz测量配置时, 在1.0Hz下所测得的电磁场分量的幅值变化更高, 表明对该模型采用yHED-Hz测量配置, 在一定范围内, 频率越低对油气藏的灵敏度越高; 采用VMD-Hz测量配置时, 在一定范围内, 频率越高对油气藏的灵敏度越高。
|
图 5 地对井电磁模型所测得的电磁场分量的幅值变化 a电性源, 0.1Hz; b电性源, 1.0Hz; c磁性源, 0.1Hz; d磁性源, 1.0Hz |
同时发现, 采用yHED-Hz测量配置时, 频率为0.1Hz和1.0Hz所测得的电磁场分量的幅值的极值的绝对值最大的曲线分别是x=-800m处的源所测得的黑色曲线和x=-1200m处的源所测得的绿色曲线; 采用VMD-Hz测量配置时, 处于x=-800m处的源所测得黑色曲线的值整体来看比其它曲线高, 且距离接收井筒更远的3个源所测得的幅值变化都出现了明显的下降, 结合上文地面电磁模型的结论, 说明在此模型中用VMD-Hz测量配置进行勘测时源与接收器存在一个最佳距离, 此距离为2000~2500m。
2 模型的反演研究 2.1 反演方法本文采用高斯牛顿法进行地-井电磁反演研究。将反演域进行离散化, 形成Nx×Nz个网格, 其中Nx和Nz分别为x方向和z方向的网格数, 假设m代表要求解的网格中电导率参数的向量, 则m的参数个数为NxNz。反演是求解一个极小化非线性最小二乘问题, 目标函数为:
| $ \mathit{\Phi }(\mathit{\boldsymbol{m}}) = {\mathit{\Phi }_{\rm{d}}}(\mathit{\boldsymbol{m}}) + \lambda {\mathit{\Phi }_{\rm{m}}}(\mathit{\boldsymbol{m}}) $ | (1) |
其中, Φd为归一化数据代价函数, Φm为模型代价函数, λ为正则化参数。
采用高斯牛顿法, 当迭代n次时, 使用(2)式对正则化参数λ进行自动更新, 即
| $ {\lambda _n} = \frac{{{\mathit{\Phi }_{\rm{d}}}\left( {{\mathit{\boldsymbol{m}}_n}} \right)}}{{{\mathit{\Phi }_{\rm{m}}}\left( {{\mathit{\boldsymbol{m}}_n}} \right)}} $ | (2) |
(2) 式将正则化参数与数据拟合误差相结合既保证了正则化参数随迭代次数的增加自动减小, 同时保证了当数据拟合误差不再减小时, 自动化参数不再减小, 从而避免过度拟合的问题。
(2) 式中, 归一化数据代价函数Φd为:
| $ {\mathit{\boldsymbol{ \boldsymbol{\varPhi} }}_{\rm{d}}}(\mathit{\boldsymbol{m}}) = \frac{1}{2}\sum\limits_{k = 1}^{{N_{\rm{F}}}} {{{\left( {{\eta _k}} \right)}^2}} \cdot \\\frac{{\sum\limits_{i = 1}^{{N_{\rm{s}}}} {\sum\limits_{j = 1}^{{N_{\rm{R}}}} {{{\left| {{\mathit{\boldsymbol{W}}_{d;i,j,k}}\left[ {{d_{i,j,k}} - {\mathit{\boldsymbol{s}}_{i,j,k}}(\mathit{\boldsymbol{m}})} \right]} \right|}^2}} } }}{{\sum\limits_{i = 1}^{{N_{\rm{s}}}} {\sum\limits_{j = 1}^{{N_{\rm{R}}}} {{{\left| {{\mathit{\boldsymbol{W}}_{d;i,j,k}}{d_{i,j,k}}} \right|}^2}} } }}\\ = \frac{1}{2}{\left\| {{\mathit{\boldsymbol{W}}_{\rm{d}}}[\mathit{\boldsymbol{d}} - \mathit{\boldsymbol{s}}(\mathit{\boldsymbol{m}})]} \right\|^2} $ | (3) |
其中, NF, NS, NR分别为频率、源和接收器的数量, 向量d为实测数据, s为给定模型参数m的模拟响应, 矩阵Wd; i, j, k是数据加权矩阵, 其对角线元素采用测量噪声的标准偏差的倒数, 频率加权因子ηk可防止高频分量在反演过程中起主导作用, 计算公式如下:
| $ \eta_k=\frac{\omega_k^{-2}}{\sum\limits_{i=1}^{N_F} \omega_i^{-2}} $ | (4) |
其中, ω为角频率。模型代价函数Φm表达式为:
| $ \mathit{\Phi }_m^n(\mathit{\boldsymbol{m}}) = \frac{1}{2}\int_d {b_n^2} \left\{ {|\nabla m(\mathit{\boldsymbol{r}}){|^2} + \delta _n^2} \right\}{\rm{d}}v $ | (5) |
其中, r为空间坐标, δn2是一很小的正数, 本文采用Φd(mn)/ΔxΔz, Δx和Δz分别为离散化单元格在x方向和z方向上的大小, 函数bn的形式决定正则化是采用L1范数还是L2范数[21]。
采用高斯-牛顿最小化框架, 在第n次迭代中, 得到了求解搜索向量pn的一组线性方程组, 该方程组确定了高斯牛顿搜索的方向[22], 即
| $ \boldsymbol{H}_n \boldsymbol{p}_n=-\boldsymbol{g}_n $ | (6) |
(6) 式中, 代价函数的梯度gn由(7)式得到:
| $ \boldsymbol{g}_n=\boldsymbol{J}_n^{\mathrm{T}} \boldsymbol{W}_{\mathrm{d}}^{\mathrm{T}} \boldsymbol{W}_{\mathrm{d}}\left[\boldsymbol{d}-\boldsymbol{s}\left(\boldsymbol{m}_n\right)\right]+\lambda_n \boldsymbol{L}_n \boldsymbol{m}_n $ | (7) |
海森矩阵Hn为:
| $ {\mathit{\boldsymbol{H}}_n} \approx \mathit{\boldsymbol{J}}_n^{\rm{T}}\mathit{\boldsymbol{W}}_{\rm{d}}^{\rm{T}}{\mathit{\boldsymbol{W}}_{\rm{d}}}{\mathit{\boldsymbol{J}}_n} + {\lambda _n}{\mathit{\boldsymbol{L}}_n} $ | (8) |
(7) 式中:
| $ \boldsymbol{L}_n \boldsymbol{m}_n=\nabla \cdot\left[b_n(\boldsymbol{r}) \nabla \boldsymbol{m}_n(\boldsymbol{r})\right] $ | (9) |
雅可比矩阵J是模拟数据对模型参数的导数:
| $ \boldsymbol{J}_{i, j, k ; \tau}=\frac{\partial \boldsymbol{s}_{i, j, k}(\boldsymbol{m})}{\partial \boldsymbol{m}_\tau} $ | (10) |
本文采用伴随方法[20-21]计算雅可比矩阵, 仅需要额外一次正演计算。
2.2 基于地面电磁模型的油气藏反演对图 1所示的油气藏模型进行反演。初始模型是电阻率为2Ω·m的均匀介质。采用yHED-Ey配置获得测量数据, 所用频率为0.1, 0.5, 1.0Hz。本文所有的反演实例中, 数据都加入2%的白噪声。图 6是反演得到的电阻率图像, 图中红色线框表示真实油藏的轮廓(在本文中所有反演图像中真实油气藏都用红色线框表示)。图 7是对应的误差迭代曲线。经过26次迭代后, 最终均方根误差收敛为16.10%。可以看出, 反演得到的电阻率图像与实际油气藏在空间位置上基本吻合, 但油气藏周围出现大量假异常, 表明地面电磁对浅层油气藏的空间位置具有一定的识别能力, 但精度有限。
|
图 6 基于地面电磁的油气藏电阻率反演图像 |
|
图 7 基于地面电磁的油气藏电阻率反演误差迭代曲线 |
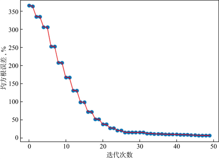
图 8是对图 4所示的油气藏模型的反演结果。初始模型是电阻率为2Ω·m的均匀介质。采用yHED-Hz配置获得测量数据, 所用频率为0.1, 0.5, 1.0Hz。图 9是对应的误差迭代曲线。经过49次迭代后最终均方根误差收敛于3.97%, 相较于地面电磁方法, 油气藏的位置和形状都有了极大的改善, 假异常大大减少, 油藏体轮廓也更加接近实体。说明对于此模型, 地对井电磁方法能够更准确地识别油气藏。
|
图 8 基于地对井模型的油气藏反演电阻率图像(红色线框表示真实油藏体的轮廓) |
|
图 9 基于地对井模型的油气藏反演误差迭代曲线 |
为了实现对油气藏更为精确的识别, 在上文模型基础上构建一个地-井双源电磁模型并进行反演研究。许颢砾等[18]所建立的地面-井下双源电磁模型同时采用了地面大线圈发射加井下小线圈发射与接收, 利用大线圈和小线圈同时向探测体发射电磁场脉冲, 实现对探测体的识别。此次实验所用双源模型与之不同之处在于, 在地面上x=-2000m至x=0的区间增加了等间距分布的接收线圈, 相当于融合了地对井模型、地面对地面模型以及井对地面模型, 具体模型如图 10所示。
|
图 10 基于地井双源电磁的油气藏模型 |
图 11和图 12分别是对图 10所示的油气藏模型反演得到的电阻率图像和反演误差迭代曲线。初始模型是电阻率为2Ω·m的均匀介质。采用yHED-Hz配置获得测量数据, 所用频率为0.1, 0.5, 1.0Hz。反演经过49次迭代后最终均方根误差收敛于2.82%, 可以看出, 本文所提出的双源模型结合了3种测量配置的优势, 不仅保留了地对井模型在整体轮廓上的清晰度, 同时油气藏两端的细节刻画更加准确。表明双源模型能够进一步提升地下油气藏的识别精度。
|
图 11 基于地-井双源电磁模型的油气藏反演电阻率图像(红色线框表示真实油气藏的轮廓) |
|
图 12 基于地-井双源电磁模型的油气藏反演误差迭代曲线 |
以上反演研究仅针对浅层的简单油气藏模型。为探究地-井模型对于相对较深的复杂油气藏的识别能力, 建立如图 13所示的复杂油气藏模型。该模型含一个断层, 属于各向同性介质, 长为4000m, 深为3000m, 背景电阻率值在0.6~12.5Ω·m。在地质体内部构造一个半月形状的油气藏电性异常体, 此油气藏的上顶面与地面的垂直距离为1500m, 电阻率值为50Ω·m。由于井中小线圈的功率限制, 当小线圈的安置深度超过1000m时, 其探测能力将大打折扣, 故在上文双源模型基础上取消井中的发射线圈。如图 13所示, 在地面(z=0;y=0)上x=-2000m至x=0区间以400m水平间距均匀安置6个发射源, 在x=800m处设置一个3000m深的垂直井, 在井中以60m垂直间距均匀布设50个接收线圈, 在x=50m至x=2000m区间, 以50m水平间距均匀布设40个接收器。保留地面的接收器是为了增强对浅层断层构造的识别。
|
图 13 基于地-井电磁的1500m深度的复杂油气藏勘探模型 |
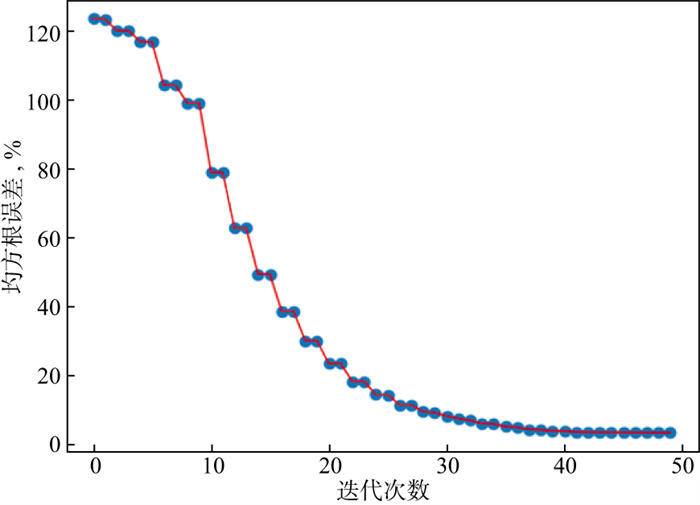
采用yHED-Ey配置(针对地面接收)和yHED-Hz配置(针对井间接收)获得测量数据, 所用频率为0.5, 1.0, 2.0Hz。初始模型是电阻率为10Ω·m的均匀介质。图 14和图 15分别是反演得到的电阻率图像和相应的反演误差迭代曲线, 经过49次迭代后最终均方根误差为5.35%。可以看到, 反演图像能够很直观地反演出油气藏异常体的位置, 地层分界线和挤压断层也能清晰地识别, 油气藏在横向上的轮廓反演结果较为理想, 与原始模型十分接近, 反演结果表明地-井电磁方法可以较为精准地识别本模型所示的1500m深度的典型复杂油气藏的大小和位置。
|
图 14 基于地-井电磁模型的复杂油气藏反演电阻率图像(红色线框表示真实油气藏的轮廓) |
|
图 15 基于地-井电磁模型的复杂油气藏反演误差迭代曲线 |
塔河油田具有丰富的碳酸盐岩缝洞型油气藏资源, 在缝洞型油气藏的后期开发当中, 对其储层变化进行监测是一个重要问题。由于地-井电磁方法的探测深度有限, 因此先使用井间电磁进行实验, 如图 16所示。参考塔河油田十区西工区的碳酸盐岩储层, 建立一个长4000m, 深6000m的缝洞型油气藏勘探模型。该模型背景介质为各向同性, 在其内部构造一个缝洞型油气藏, 此油气藏的上顶面到地面的距离为5000m, 长约1000m, 厚约200m, 将该油气藏电阻率设为50Ω·m, 背景地层的电阻率设为0.6~10.0Ω·m。在x=-500m处和x=500m处构造两口垂直井, 在x=-500m处的井中悬挂一个源, 让源在z=3500m到z=6000m间以500m垂直间距向下移动并发射信号, 在x=500m处的垂直井中z=3000m到z=6000m间以100m垂直间距均匀布设31个接收器。
|
图 16 基于井间电磁的缝洞型油气藏勘探模型 |
井间电磁测量采用的是VMD-Hz测量配置, 频率是15.0Hz。图 17是对缝洞型油气藏进行反演得到的电阻率图像。经过49次迭代后最终均方根误差为8.83%, 从图 17中可以明显看出油气藏的位置和形状, 但由于井间电磁在浅部地层未布设源和接收器, 导致地层界线反演相对模糊。本文提出增加地对井数据进行联合反演。以500m水平间距在地面x=-2000m至x=2000m区间增设9个源, 与地对井模型在yHED-Hz配置下, 频率为1.0Hz所测的电磁响应数据进行联合反演, 模型如图 18所示。
|
图 17 基于井间电磁模型的缝洞型油气藏反演电阻率图像(红色线框表示真实油气藏的轮廓) |
|
图 18 联合井间和地对井模型 |
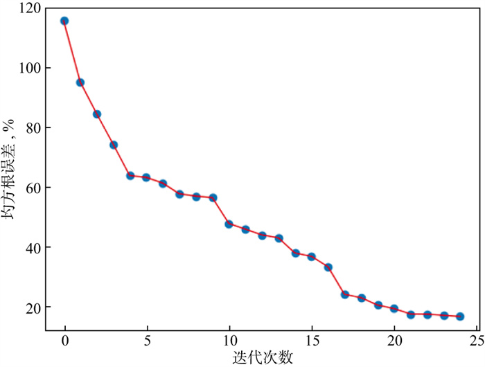
图 19是对5000m深度的缝洞型油气藏进行反演得到的电阻率图像。采用的初始模型是电阻率为10Ω·m的均匀介质, 经过49次迭代后最终均方根误差为3.89%, 从反演图像不仅可以直观看出油气藏的位置和大概的形状, 且浅部地层界线的反演结果得到了很大的改善。证明地对井数据虽然对较深处油气藏识别能力有限, 但却可以有效结合井间电磁, 在后期监测缝洞型油气藏流体及周围地层结构变化等方面发挥重要作用。
|
图 19 加2%噪声的缝洞型油气藏联合反演电阻率图像(红色线框表示真实油气藏的轮廓) |
为检验联合反演模型的抗噪能力, 分别在数据中加入5%噪声和10%噪声进行测试。图 20a是加入5%噪声情况下反演得到的电阻率图像; 图 20b是加入10%噪声情况下反演得到的电阻率图像。可以看出, 噪声导致假异常增多, 但仍可看出油气藏的空间位置且电阻率得到较好的恢复。说明联合反演模型具有一定的抗噪性。但实际作业时, 为追求最终结果的精度, 需要尽量将噪声控制在一个较低的水平。
|
图 20 对缝洞型油气藏联合反演的噪声测试(红色线框表示真实油气藏的轮廓) a加入5%白噪声; b加入10%白噪声 |
本文使用正反演方法研究了电磁方法对油气藏的识别能力。
1) 建立了电磁勘探地面模型、地对井模型对含有浅层油气藏的简单二维构造进行正反演的试验。通过正演模拟进行了油气藏识别的灵敏度分析, 发现地对井电磁模型对浅层油气藏敏感度相对较高, 而地面电磁模型的灵敏度相对较低。
2) 通过高斯牛顿反演进行反演验证。反演结果表明, 地面电磁模型对浅层油气藏的空间位置具有一定的识别能力, 但精度有限; 相较于地面电磁模型, 地对井电磁模型的接收器安置位置距离油气藏越近, 对油气藏的灵敏度越高, 反演出的油气藏轮廓也更加接近实际, 对油气藏两端的细节也刻画得更为精准, 反演结果符合灵敏度分析结论。
3) 为追求更精准的结果, 将以上模型融合提出地-井双源电磁模型, 即地面对地面, 地对井和井对地3种模型的结合。使用双源电磁模型所测数据, 最终的反演结果与预设的油气藏模型十分吻合, 显示了其对于浅层空间隐蔽体极佳的探测能力。将改进的地-井电磁模型应用于1500m深度的复杂油气藏的识别, 反演结果表明地-井电磁模型可以对1500m深度的典型复杂油气藏的大小和位置实现较为精准的识别。最后, 用地对井电磁模型联合井间电磁模型对5000m深度的缝洞型油气藏进行反演, 结果显示, 地-井电磁方法可以有效提升井间电磁方法勘测的精度和对地层电阻率异常体的识别能力, 且具有一定抗噪性能, 可以为实际生产提供帮助, 即在缝洞型油气藏的后期开发当中, 利用井间电磁结合地-井电磁的方法实现对油气藏流体的准确监测和对其周围地层流体变化的精准监控。
未来将和油田合作获得实际数据进一步验证上述结论, 在实践中使用该电磁方法实现对深部油气藏的有效识别。
| [1] |
林君, 薛国强, 李貅. 半航空电磁探测方法技术创新思考[J]. 地球物理学报, 2021, 64(9): 2995-3004. LIN J, XUE G Q, LI X. Technological innovation of semi-airborne electromagnetic detection method[J]. Chinese Journal of Geophysics, 2021, 64(9): 2995-3004. |
| [2] |
ZHANG L B, LI H, XUE G Q, et al. Magnetic viscosity effect on grounded-wire TEM responses and its physical mechanism[J]. IEEE Access, 2020, 8: 6140-6152. DOI:10.1109/ACCESS.2019.2963097 |
| [3] |
GUO Z W, XUE G Q, LIU J X, et al. Electromagnetic methods for mineral exploration in China: A review[J]. Ore Geology Reviews, 2020, 118: 103357. DOI:10.1016/j.oregeorev.2020.103357 |
| [4] |
朱建德, 张之武, 陈孝聪, 等. 新疆哈巴河县阿依托汉铜矿瞬变电磁深部探矿预测[J]. 地质与勘探, 2015, 51(4): 670-676. ZHU J D, ZHANG Z W, CHEN X C, et al. Application of the transient electromagnetic(TEM) technology to the Ayituohan Copper Deposit in Habahe county, Xinjiang[J]. Geology and Exploration, 2015, 51(4): 670-676. |
| [5] |
XUE G Q, LI H, HE Y M, et al. Development of the inversion method for transient electromagnetic data[J]. IEEE Access, 2020, 8: 146172-146181. DOI:10.1109/ACCESS.2020.3013626 |
| [6] |
底青云, 方广有, 张一鸣. 地面电磁探测系统(SEP)研究[J]. 地球物理学报, 2013, 56(11): 3629-3639. DI Q Y, FANG G Y, ZHANG Y M. Research of the surface electromagnetic prospecting(SEP) system[J]. Chinese Journal of Geophysics, 2013, 56(11): 3629-3639. DOI:10.6038/cjg20131104 |
| [7] |
彭勇辉, 李帝铨. 柴达木盆地某油气聚集区电性结构研究[J]. 岩性油气藏, 2015, 27(1): 115-121. PENG Y H, LI D Q. Study on electric structure in a hydrocarbon accumulation area, Qaidam Basin[J]. Lithologic Reservoirs, 2015, 27(1): 115-121. DOI:10.3969/j.issn.1673-8926.2015.01.017 |
| [8] |
GUO J L, ZENG Y Q, LI X. Numerical simulation analysis of surface-to-borehole TEM based on the finite difference method[J]. Expanded Abstracts of 85th Annual Internat SEG Mtg, 2015, 115-118. |
| [9] |
ANNETTS D. Inversion of surface and downhole electromagnetic data for a 3D earth[J]. ASEG Extended Abstracts, 2012(1): 1-3. |
| [10] |
BUSELLI G, LEE S K. Modelling of drill-hole TEM responses from multiple targets covered by a conductive overburden[J]. Exploration Geophysics, 1996, 27(2/3): 141-153. |
| [11] |
GAO J, ZHAO A B, PENG F, et al. Inversion of array induction logs and its application[J]. Petroleum Science, 2007, 4(3): 31-35. DOI:10.1007/s12182-007-0005-x |
| [12] |
SPIES B R, GREAVES R J. Numerical modeling of surface-to-borehole electromagnetic surveys for monitoring thermal enhanced oil recovery[J]. Geoexploration, 1991, 28(3/4): 293-311. |
| [13] |
AUGUSTIN A M, KENNEDY W D, MORRISON H F, et al. A theoretical study of surface-to-borehole electromagnetic logging in cased holes[J]. Geophysics, 1989, 54(1): 90-99. DOI:10.1190/1.1442581 |
| [14] |
WILT M J, ALUMBAUGH D L, MORRISON H F, et al. Crosswell electromagnetic tomography: System design considerations and field results[J]. Geophysics, 1995, 60(3): 871-885. DOI:10.1190/1.1443823 |
| [15] |
LEE K H, XIE G. A new approach to imaging with low-frequency electromagnetic fields[J]. Geophysics, 1993, 58(6): 780-796. |
| [16] |
魏宝君, 张庚骥. 地面—井孔电磁系统成像方法研究[J]. 中国石油大学学报: 自然科学版, 1999, 23(6): 24-29. WEI B J, ZHANG G J. Research on imaging method of surface-borehole electromagnetic system[J]. Journal of China University of Petroleum, 1999, 23(6): 24-29. |
| [17] |
李静和, 何展翔. 地井垂直电磁Walkaway剖面法油藏开发三维模型电场响应特征[J]. 石油地球物理勘探, 2012, 47(4): 653-664. LI J H, HE Z X. 3D electrical response characteristics modeling for surface-to-borehole vertical electromagnetic walkaway profile[J]. Oil Geophysical Prospecting, 2012, 47(4): 653-664. |
| [18] |
许颢砾, 王大庆, 刘志新, 等. 地面-井下双源瞬变电磁立体探测模拟研究[J]. 地质与勘探, 2018, 54(3): 603-613. XU H L, WANG D Q, LIU Z X. Numerical and physical simulation of surface-underground stereo probing by the transient electromagnetic method[J]. Geology and Exploration, 2018, 54(3): 603-613. |
| [19] |
MIAO B, JIANG Z H, LIU S C. Design and application of transient electromagnetic detection system on mine surface ground and in underground mine roadway[J]. Coal Science and Technology, 2016, 44(12): 148-153. |
| [20] |
ABUBAKAR A, HABASHY T M, DRUSKIN V L, et al. 2.5D forward and inverse modeling for interpreting low-frequency electromagnetic measurements[J]. Geophysics, 2008, 73(4): F165-F177. |
| [21] |
GAO G Z, ABUBAKAR A, HABASHY T M. Joint petrophysical inversion of electromagnetic and full-waveform seismic data[J]. Geophysics, 2012, 77(3): WA3-WA18. |
| [22] |
HABASHY T M. A general framework for constraint minimization for the inversion of electromagnetic measurements[J]. Progress in Electromagnetic Research, 2004, 46: 265-312. |


