2. 成都理工大学地球物理学院, 四川成都 610059;
3. 成都信息工程大学通信工程学院, 四川成都 610225
2. College of Geophysics, Chengdu University of Technology, Chengdu 610059, China;
3. School of Communication Engineering, Chengdu University of Information Technology, Chengdu 610225, China
天然气是我国紧缺的战略洁净能源, 2017年我国天然气对外依存度已逾39%。天然气的增储上产是国家洁净能源战略的重要组成部分[1]。近年来四川盆地川中加里东古隆起安岳气田等的发现和油气资源评价结果表明, 我国大陆深层古老碳酸盐岩地层蕴藏有丰富的天然气资源[2]。但安岳气田历经近40年的勘探研究才被发现这一事实说明, 深层碳酸盐岩地层的天然气勘探困难, 主要原因在于:
1) 埋深大、孔隙度小、孔隙流体密度大等因素使得含气层和围岩物性差异小, 导致地震响应信号微弱[3];
2) 古老地层经历多次构造运动的改造后, 地层中的油气发生多次迁移聚散, 油气分布的地质相控作用减弱, 断控、位(置)控作用加强[4-5], 因而含气性检测成为储层预测的瓶颈。另一方面, 深层油气勘探中钻探成本极其高昂, 且目前风险钻探成功率不到40%, 迫切需要提高深层储层含气性预测的成功率。
深部储层埋深大, 除了钻探及依赖于钻井的测井探测之外, 地震是我们所能使用的最好的探测手段。基于地震的储层含气性评价通过计算所谓的烃指标(hydrocarbon indicator, HCI)或直接烃指标(direct hydrocarbon indicator, DHI)来实现。烃指标或直接烃指标实际是一些对储层含气性敏感的岩石物理或地震属性参数[6], 如vP/vS[7]、AVO特性[8]、低频阴影[9]等。最早发现并使用的烃指标是“亮点”[10]。这些指标的运用都有一定的适用条件, 既有成功的案例, 也有完败的案例。本文从现有烃指标物理内涵入手, 探讨其在深层碳酸盐岩储层含气性评价中的适用性, 然后介绍近年来为解决深层储层含气性评价问题而发展起来的地震纹分析方法, 以期为深层天然气储层预测实践和研究提供参考。
1 常用烃检测方法技术 1.1 亮点分析亮点是指地震剖面上相对于背景的强反射。气层在地震剖面上的亮点特征发现于20世纪70年代初[10]。亮点技术的出现在很大程度上得益于自动增益技术的发明, 它使得地震剖面上的反射振幅变化得到了凸显, 使气层的识别成功率从12%左右提高到了60%~80%。
亮点反映了含气砂岩与其盖层——页岩之间存在较大的波阻抗差, 其物理机制是二者的密度和速度等物性差异较大。亮点技术之所以达不到百分之百准确, 主要原因是岩性的变化, 如砂岩与灰岩、煤层、火山岩等界面, 都会在地震剖面上形成假亮点, 引起误判。因此, 经常和亮点技术一起使用的还有两个判识标志:负极性、平直的气水界面。
HAMMOND[10]指出, 亮点技术适用于海洋盆地时代较新的浅层气层鉴识, 3 000 m以下以及陆上老地层中的气层亮点特征并不明显。在深层和老地层中, 气层在地震剖面上的响应可能表现为“平点(flat spots)”或“暗点(dim spots)”[11-12]。研究表明, 随着埋深的增加和地层的变老, “亮点”会转换为“暗点”(图 1)[13], 这进一步证明了亮点技术不大适用于深层气藏鉴识。尽管如此, 油气勘探学家仍会将计算的各种烃指标表示为某种“高亮体”, 以利于直观地识别气层。
|
图 1 含气砂岩和页岩等波阻抗随深度与地层年代增加的变化[13](随着埋深增加和压实加强, 含气砂岩的地震响应会由亮点经极性反转至暗点) |
AVO分析的基础是Zoeppritz方程。Zoeppritz方程有多种表达方式, 如[14]:
| $ \left[ {\begin{array}{*{20}{c}} {{R_{\rm{P}}}}\\ {{R_{\rm{S}}}}\\ {{T_{\rm{P}}}}\\ {{T_{\rm{S}}}} \end{array}} \right] = {\left[ {\begin{array}{*{20}{c}} { - \sin {\theta _1}}&{ - \cos {\varphi _1}}&{\sin {\theta _2}}&{\sin {\varphi _2}}\\ {\cos {\theta _1}}&{ - \sin {\varphi _1}}&{\cos {\theta _2}}&{ - \sin {\varphi _2}}\\ {\sin 2{\theta _1}}&{\frac{{{v_{{{\rm{P}}_1}}}}}{{{v_{{{\rm{S}}_1}}}}}\cos 2{\varphi _1}}&{\frac{{{\rho _2}v_{{{\rm{S}}_2}}^2{v_{{{\rm{P}}_1}}}}}{{{\rho _1}v_{{{\rm{S}}_1}}^2{v_{{{\rm{P}}_2}}}}}\cos 2{\varphi _2}}&{\frac{{{\rho _2}{v_{{{\rm{S}}_2}}}{v_{{{\rm{P}}_1}}}}}{{{\rho _1}v_{{{\rm{S}}_1}}^2}}\cos 2{\varphi _2}}\\ { - \cos 2{\varphi _1}}&{\frac{{{v_{{{\rm{S}}_1}}}}}{{{v_{{{\rm{P}}_1}}}}}\sin 2{\varphi _1}}&{\frac{{{\rho _2}{v_{{{\rm{P}}_2}}}}}{{{\rho _1}{v_{{{\rm{P}}_1}}}}}\cos 2{\varphi _2}}&{ - \frac{{{\rho _2}{v_{{{\rm{S}}_2}}}}}{{{\rho _1}{v_{{{\rm{P}}_1}}}}}\sin 2{\varphi _2}} \end{array}} \right]^{ - 1}}\left[ {\begin{array}{*{20}{c}} {\sin {\theta _1}}\\ {\cos {\varphi _1}}\\ {\sin 2{\theta _1}}\\ {\cos 2{\varphi _1}} \end{array}} \right] $ | (1) |
式中:RP、RS分别为反射纵波和(转换)横波的反射系数; TP、TS分别为透射纵波和(转换)横波的透射系数; θ1、θ2分别为纵波的入射角、折射角; φ1、φ2分别为转换横波的反射角、折射角; vP1、vS1、ρ1和vP2、vS2、ρ2分别为界面两侧纵、横波速度及介质体密度。
公式(1)所示Zoeppritz方程表明, 地震勘探得到的反射波反射系数及振幅是入射角、反射界面两侧物性参数的复杂函数。在地震勘探中, 地震波的入射角和偏移距有对应关系, 因而反射振幅和偏移距相关, 这就是AVO分析技术的理论基础。
Zoeppritz方程比较复杂, 直接从该方程出发分析介质参数变化对反射波振幅的影响难度大。为此, 学者们通过引入不同的近似条件得到Zoeppritz方程的近似简化方程[14-20]。天然气储层预测中常用的有AKI等给出的弱反射近似公式[17]、SHUEY给出的以泊松比表示的反射系数近似表达式[18]和FATTI等以相对波阻抗表达的近似表达式[19]。从这些近似方程出发, 能发展出多种叠前地震反演方法[20], 获得多种物性参数, 如纵横波速度和密度、泊松比、相对波阻抗等, 并由此发展出多种烃检测方法。
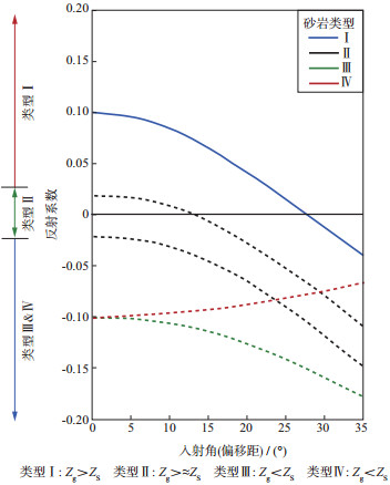
尽管基于AVO分析的储层含气性检测方法种类较多[21-23], 但其核心要素都是反射系数(振幅)随偏移距的变化。对于页岩/含气砂岩界面的反射, 依据二者相对波阻抗的变化, 振幅随偏移距的变化(实际是反射系数随入射角的变化)——AVO效应可归纳为四种类型(类型Ⅰ~类型Ⅳ)[23-24](图 2)。类型Ⅰ含气层的波阻抗(Zg)比盖层的波阻抗大(Zs), 类型Ⅲ、类型Ⅳ含气层的波阻抗比盖层的波阻抗小, 这两种情况都会在叠加地震剖面上出现亮点, 但AVO效应不同。类型Ⅰ含气层的反射振幅强度随偏移距的增大由强到弱变化, 从亮点变到暗点; 类型Ⅲ和类型Ⅳ含气层的波阻抗比盖层大, 反射振幅强度随偏移距的增大表现出相反的变化趋势, 类型Ⅲ是持续增强, 而类型Ⅳ是减弱。类型Ⅱ含气层的波阻抗和盖层的波阻抗相当, 在叠加剖面上表现为平点或暗点, 反射振幅强度随偏移距的增大逐渐增大。因此, AVO分析实际上提供了一个区分气层亮点和非气层亮点, 以及发现平点气藏、暗点气藏的方法。
|
图 2 含气砂岩AVO类型[24] |
四类含气砂岩可以通过AVO截距P和梯度G交会图上的位置来区分(图 3)。P和G是中小角度入射情况下(<30°)Zoeppritz方程Shuey近似表达形式[18](公式(2))的两个系数:
| $ {R_{\rm{P}}} = P + G{\sin ^2}\theta $ | (2) |
| $ P = {R_0} = \frac{1}{2}\left( {\frac{{\Delta {v_{\rm{P}}}}}{{{v_{\rm{P}}}}} + \frac{{\Delta \rho }}{\rho }} \right) $ |
| $ G = {A_0}{R_0} + \frac{{\Delta \sigma }}{{{{\left( {1 - \sigma } \right)}^2}}} $ |
| $ {A_0} = B - 2\left( {1 + B} \right)\frac{{1 - 2\sigma }}{{1 - \sigma }} $ |
| $ B = \frac{{\frac{{\Delta {v_{\rm{P}}}}}{{{v_{\rm{P}}}}}}}{{\frac{{\Delta {v_{\rm{P}}}}}{{{v_{\rm{P}}}}} + \frac{{\Delta \rho }}{\rho }}}\;\;\;\;\;\;\;\;\;\sigma = \frac{{{\sigma _1} + {\sigma _2}}}{2} $ |
| $ \Delta \sigma = {\sigma _2} - {\sigma _1} $ |
|
图 3 AVO截距(P)-梯度(G)四象限分类图及四类含气砂岩在P-G图上的位置[24] |
式中:σ为介质的泊松比, 其它参量的物理含义同公式(1)。图 3上的趋势线是页岩/卤水饱和砂岩界面的反射。页岩/含气砂岩界面反射的P-G交会点位置在趋势线之下。
AVO效应的P-G交会图实际上不是通过公式(2), 而是通过拟合CDP或CRP道集上目标层顶面的反射振幅强度得到的。利用P-G交会图分析方法能比较简便地判断出含气砂岩的类型。需要指出的是, 不只是Shuey近似公式可以简化为截距和梯度的形式, Aki-Richard等近似公式也可以简化或转化为梯度和截距的形式, 但所表示的岩石物理含义可能有所不同[23]。
AVO分析表观上有严谨的数理基础, 实际上存在诸多假设条件, 而且目前成功的应用案例基本上都是埋藏较浅的碎屑岩储层。对于深层, 特别是深层碳酸盐岩储层, 依据AVO效应评判储层的含气性可靠性不高。部分原因在于碳酸盐岩储层类型及其孔隙结构多样[25], 深层条件下地震射线在传播到目标层顶面之前可能已经历了多次偏转, 使得射线入射角偏离了依据偏移距估算的入射角, 而AVO效应是严格依赖于地震射线入射角的。
总体来讲, AVO分析方法数理基础严谨, 识别埋藏较浅的砂岩储层含气性效果较好, 同时能区分叠后剖面上的真假亮点, 但对于深层碳酸盐岩储层的含气性检测基本不适用。
1.3 低频阴影分析低频阴影指地震剖面上含气层下方出现的低频分量能量的相对增强现象[26]。其本质是含气层对高频分量相对更强的吸收或衰减, 物理机制是含气层对不同频率地震波的差异吸收, 这是含气层的一种弹性波频散特征。CASTAGNA等[27]和EBROM[28]介绍了地震剖面上含气砂岩的低频阴影现象及其在含气层识别与检测中的应用。HE等[29]使用二维粘滞弥散型波动方程数值模拟方法证明了含气砂岩的低频阴影由含气层对高频地震波相对更强的吸收造成, 同时指出采用低频阴影分析方法检测含气层的地震数据应具有较高的信噪比。
基于低频阴影分析的含气层检测通常采用时频分析方法实现。时频分析能获得信号频率成分随时间的变化, 对地震记录进行时频分析获得的是地震波频率成分随深度的变化, 因为地震记录的时间是深度的映射。时频分析的方法较多, 地震记录的时频分析方法有短时傅里叶变换(STFT)、Gabor变换及连续小波变换(CWT)、Wigner-Ville分布(WVD)、希尔伯特-黄变换(HHT)、S变换和广义S变换等。由此发展了多种低频阴影分析方法。近年来发展了基于EMD分解的时频分析方法[30-32], 实践结果证明该方法在储层含气性检测中的应用效果较好, 适用于深层碳酸盐岩储层含气性检测。图 4展示了川西地区埋深在5 600 m以下的碳酸盐岩含气层低频阴影(红色椭圆线圈所示的范围)案例。其中图 4a是用HHT变换获得的35 Hz分频剖面, 红色椭圆线圈范围内的分频能量与背景一致, 幅值在4 000以下; 而图 4b所示的25 Hz分频剖面上, 红色椭圆线圈范围内的分频能量高于背景值, 幅值在4 000以上, 显示出清晰的低频阴影[33]。
|
图 4 深层碳酸盐岩天然气储层的低频阴影[33] a 35 Hz分频剖面; b 25 Hz分频剖面 |
地震记录的时频分析采用多种方法的目的是力图在时域和频域同时获得更高的分辨率。多种时频分析方法并存的局面既说明没有最佳的方法, 也说明现有方法还不能很好地满足生产需求。BARNES[34]认为, 真正的含气层低频阴影很难鉴别, 因为它易于被强界面反射所淹没。即使能鉴别出低频阴影, 准确地确定影子的“本体”范围也是一个迄今未能很好解决的问题。另外, 在深层条件下, 信噪比较低对低频阴影分析结果也会造成较大的影响。
总之, 在以上三类储层含气性检测方法中, 亮点和AVO异常反映的是界面响应, 而低频阴影反映的是储层的“体”响应。对勘探而言, 储层含气性检测不只是确定储层是否含气, 更期望能确定储层的含气量, 这才是决定储层是否具有工业开采价值的关键。要确定储层的含气量, 需要分析的是储层的“体”响应, 唯有低频阴影分析方法具有这种可能性。
2 基于地震纹分析的烃检测 2.1 地震纹及地震纹分析地震纹是2010年前后借鉴声纹(voiceprint)引入的概念, 最初称为地震声纹[3, 35-37]。声纹对说话人具有标识性[38], 基于声纹特征分析与比对的说话人识别(Speaker Identification)技术大约在20世纪70年代开始应用于情报侦听领域, 20世纪末开始被广泛应用于民用身份认证系统。地震波与声波具有内在的一致性, 理论上可以用声纹分析方法通过对地震波特征的研究识别地震事件源地质体的属性, 如判断反射层是否含油气等。我们将借鉴声纹分析方法分析研究地震属性的方法称为地震声纹分析, 简称地震纹分析, 并由“voiceprint”一词衍造出一个新的英文单词“seismicprint”, 即地震纹。
声纹分析包含相互关联的两方面:一是声音信号的特征分析(如频谱分析等), 二是声纹的比对分析(如说话人识别), 前者是后者的基础, 后者是前者的应用。以声音信号特征分析为目标的声纹分析, 使用了几乎所有从经典到现代的信号分析方法, 这些方法在地震信号分析与地震属性提取中也均有使用。人听音识人, 辨别的是说话者的“口音”。“口音”在声音信号记录上并没有确定的显性特征, 而是蕴藏在声音的波纹中。以说话人识别为目标的声纹分析, 其核心就是要找出对说话人的“口音”具有良好标识性的特征信号参数, 这样的参数称之为声纹参数。经过几十年的探索, 目前发现能有效标识说话人“口音”的声纹参数只有Mel倒谱系数(MFCC)等少数几个参数[39-40]。
储层预测的目的是寻找油气储集体。油气赋存在岩石的孔/裂隙中, 其体积与质量只占储集层岩石的极小一部分, 其地震响应非常微弱, 只能反映在地震记录的微细波纹结构中, 与声音记录中的“口音”信号类似, 很难直观地鉴别, 也很难采用解析方法计算或采用数值方法模拟。基于声波与地震波的本征一致性推测, 借鉴说话人“口音”信号特征的声纹分析方法, 有可能识别出储层孔隙流体的“流音”特征。
如同声纹分析的关键是寻找能稳定标识说话人“口音”的声纹参数一样, 地震纹分析的关键是寻找能稳定标识地质体属性(如油气储层)的地震纹表征参数。地震波与声波的本征一致性决定了倒谱分析、Mel倒谱分析等各种声纹分析方法可以应用于地震记录进行地震纹分析, 倒谱系数、Mel倒谱系数等声纹参数可以引申应用于地震纹特征的描述。但是, 地震记录与声音记录的客观差异决定了我们不大可能用表征人的“口音”的声纹参数来直接表征诸如储层的“流音”。地震信号与声音信号的差别主要体现在重复性、衰减、频率等方面。声音记录的源是说话人, “口音”特征具有重复性, 信号没有随时间变化的衰减问题, 频率较高; 地震记录的源是地震源信号的反射(可能还有散射等), 是次生源, 目标层(如含气层)的影响不具有重复性, 随记录时间的延长, 信号会快速衰减, 信号的频率较低。声纹分析是将声音记录划分成帧(即开一个时窗, 将时窗内的信号叫作一帧), 这样每一帧都可以看成是平稳信号; 而油气勘探的目标层在整个地震记录上是很小的一段, 具有瞬时性, 只有在时窗取很小的时候才可以看成是平稳信号。地震记录与声音记录的相似性决定了我们可以借鉴分析声音记录的声纹分析方法分析地震记录。我们采用声纹分析方法分析地震雷克子波、油气储层模型地震响应、以及实际地震数据的线性预测系数(LPC)、倒谱系数、Mel倒谱系数(MFCC)、线性预测倒谱系数(LPCC)等参数[41], 获得了如下认识:①雷克子波的地震(声)纹参数随子波频率呈非线性变化; ②地震纹参数对储层参数变化反应灵敏; ③初步认为1阶倒谱系数低值异常与2阶倒谱系数高值异常的交集可以作为含气储层的地震纹判据。
2.2 基于地震纹倒谱特征分析的烃检测基于地震纹分析的烃检测, 关键是要找到能标识含气储层的地震纹参数, 如同基于声纹分析的说话人识别关键是找到能标识说话人“口音”的声纹参数一样。因此我们系统测试了声纹分析领域所使用的说话人识别参数, 发现地震记录的1、2阶倒谱系数对含气储层有较好的标识性[3, 37]。
倒谱变换是一种同态变换, 时序信号x(n)的倒谱一般可表示为:
| $ \bar x\left( n \right) = {T^{ - 1}}\left\{ {\ln \left\{ {T\left[ {x\left( n \right)} \right]} \right\}} \right\} $ | (3) |
式中:T为Z变换或离散傅里叶变换。由(3)式求得的第1个采样点值为1阶倒谱系数, 第2个采样点值为2阶倒谱系数, 其余依次类推。
将离散地震信号记为:
| $ s\left( t \right) = w\left( t \right) * r\left( t \right)\;\;\;\;t = 0,1, \cdots ,N - 1 $ | (4) |
式中:r(t)表示反射系数; w(t)表示地震子波, 一般采用Ricker子波。
将离散地震信号s(t)表示为卷积序列:
| $ \begin{array}{l} s\left( t \right) = w\left( t \right) * r\left( t \right) = \left\{ {w\left( 0 \right),w\left( 1 \right), \cdots } \right\} * \\ \;\;\;\;\;\;\;\;\;\left\{ {r\left( 0 \right),r\left( 1 \right), \cdots } \right\} \end{array} $ | (5) |
对该序列作离散傅里叶变换, 将卷积变为乘积, 得:
| $ \begin{array}{l} S\left( k \right) = \left\{ {\sum\limits_{n = 0}^{N - 1} {w\left( k \right){{\rm{e}}^{ - {\rm{j}}\frac{{2{\rm{ \mathsf{ π} }}}}{N}nk}}} } \right\} \cdot \left\{ {\sum\limits_{n = 0}^{N - 1} {r\left( k \right){{\rm{e}}^{ - {\rm{j}}\frac{{2{\rm{ \mathsf{ π} }}}}{N}nk}}} } \right\}\\ \;\;\;\;\;\;\;\;\;\;k = 0,1, \cdots ,N - 1 \end{array} $ | (6) |
对(6)式两端取绝对值, 然后取对数, 使乘积变为加法, 得:
| $ \begin{array}{*{20}{c}} {\ln \left| {S\left( k \right)} \right| = \left\{ {\ln \left| {\sum\limits_{n = 0}^{N - 1} {w\left( k \right){{\rm{e}}^{ - {\rm{j}}\frac{{2{\rm{ \mathsf{ π} }}}}{N}nk}}} } \right|} \right\} + }\\ {\left\{ {\ln \left| {\sum\limits_{n = 0}^{N - 1} {r\left( k \right){{\rm{e}}^{ - {\rm{j}}\frac{{2{\rm{ \mathsf{ π} }}}}{N}nk}}} } \right|} \right\}}\\ {k = 0,1, \cdots ,N - 1} \end{array} $ | (7) |
对(7)式作傅里叶逆变换, 得到地震信号的倒谱:
| $ \begin{array}{l} \bar s\left( n \right) = {F^{ - 1}}\left\{ {\ln \left| {\sum\limits_{n = 0}^{N - 1} {w\left( k \right){{\rm{e}}^{ - {\rm{j}}\frac{{2{\rm{ \mathsf{ π} }}}}{N}nk}}} } \right|} \right\} + \\ \;\;\;\;\;\;\;\;\;\;\;\;\;{F^{ - 1}}\left\{ {\ln \left| {\sum\limits_{n = 0}^{N - 1} {r\left( k \right){{\rm{e}}^{ - {\rm{j}}\frac{{2{\rm{ \mathsf{ π} }}}}{N}nk}}} } \right|} \right\}\\ \;\;\;\;\;\;\;\; = \left\{ {\frac{1}{N}\sum\limits_{k = 0}^{N - 1} {\left[ {\ln \left| {\sum\limits_{n = 0}^{N - 1} {w\left( k \right){{\rm{e}}^{ - {\rm{j}}\frac{{2{\rm{ \mathsf{ π} }}}}{N}nk}}} } \right|{{\rm{e}}^{{\rm{j}}\frac{{2{\rm{ \mathsf{ π} }}}}{N}nk}}} \right]} } \right\} + \\ \;\;\;\;\;\;\;\;\left\{ {\frac{1}{N}\sum\limits_{k = 0}^{N - 1} {\left[ {\ln \left| {\sum\limits_{n = 0}^{N - 1} {r\left( k \right){{\rm{e}}^{ - {\rm{j}}\frac{{2{\rm{ \mathsf{ π} }}}}{N}nk}}} } \right|{{\rm{e}}^{{\rm{j}}\frac{{2{\rm{ \mathsf{ π} }}}}{N}nk}}} \right]} } \right\}\\ \;\;\;\;\;\;\;\;\;\;\;\;\;\;n = 0,1, \cdots ,N - 1 \end{array} $ | (8) |
(8) 式是离散地震信号倒谱的一般形式。显然, 当n=0时,
| $ {C_0} = \ln \left| {w\left( 0 \right)} \right| + \ln \left| {r\left( 0 \right)} \right| $ | (9) |
| $ \begin{array}{l} {C_1} = \left\{ {\frac{1}{N}\sum\limits_{k = 0}^{N - 1} {\left[ {\ln \left| {\sum\limits_{n = 1}^{N - 1} {w\left( k \right){{\rm{e}}^{ - {\rm{j}}\frac{{2{\rm{ \mathsf{ π} }}}}{N}1k}}} } \right|{{\rm{e}}^{{\rm{j}}\frac{{2{\rm{ \mathsf{ π} }}}}{N}1k}}} \right]} } \right\} + \\ \;\;\;\;\left\{ {\frac{1}{N}\sum\limits_{k = 0}^{N - 1} {\left[ {\ln \left| {\sum\limits_{n = 1}^{N - 1} {r\left( k \right){{\rm{e}}^{ - {\rm{j}}\frac{{2{\rm{ \mathsf{ π} }}}}{N}1k}}} } \right|{{\rm{e}}^{{\rm{j}}\frac{{2{\rm{ \mathsf{ π} }}}}{N}1k}}} \right]} } \right\} \end{array} $ | (10) |
特别地, 如果设地震子波为
| $ w\left( t \right) = \cos \left( {{\rm{ \mathsf{ π} }}{f_{\rm{m}}}t} \right){{\rm{e}}^{ - {{\rm{ \mathsf{ π} }}^2}f_{\rm{m}}^2{t^2}}} $ | (11) |
其中fm为子波主频, 则(9)式将变为:
| $ {C_0} = \ln \left| {r\left( 0 \right)} \right| $ | (12) |
即, 第一个倒谱系数(1阶倒谱系数)为反射系数的自然对数。由于取了绝对值, 反射系数值越小, 倒谱系数值越大。如当r(0)=0.10时, C0=2.3, 而当r(0)=0.01时, C0=4.6。也就是说, 1阶倒谱系数对弱反射更灵敏; 1阶倒谱系数的高值异常, 意味着相对的弱反射, 亦即指示了一个“暗点”。从(10)式可以看出, 2阶倒谱系数是高阶对数反射系数和高阶子波的复合函数, 反映的是散射波的强度, 类似地, 低值异常意味着强散射。
图 5展示的是埋深在5 500 m以下含气碳酸盐岩储层(图 5a)与不含气碳酸盐岩储层(图 5b)地震响应的1阶与2阶倒谱系数特征。可见气井附近地震响应的1阶倒谱系数为高值异常特征, 2阶倒谱系数为低值异常特征, 且二者具有镜像对称关系; 干井附近1阶、2阶倒谱系数异常不具有明显的镜像对称关系。
|
图 5 含气碳酸盐岩储层(a)和不含气碳酸盐岩储层(b)地震响应1、2阶倒谱系数特征对比 |
基于含气储层地震响应1阶倒谱系数异常与2阶倒谱系数异常呈镜像对称这一事实, 引入一个新的参数C1-2(定义为1阶倒谱系数与2阶倒谱系数之差), 可构造出一个指标化的地震纹倒谱特征储层含气性评价参数。研究表明, 碳酸盐岩含气层(图 5)、碎屑岩含气层和页岩气层地震响应的1阶倒谱系数和2阶倒谱系数均具有镜像对称异常特征, 只是阈值有所不同, 碳酸盐岩含气层的C1-2一般大于4.5, 碎屑岩含气层的C1-2一般大于1.50, 而页岩气层的C1-2一般为0.45~1.00。
基于地震纹分析的储层含气性检测直接从叠后地震数据入手提取岩石孔隙流体信息, 不显性地涉及地震响应的形成机制, 不存在(数理)模型的近似问题, 这是它和基于波动方程正、反演模拟的储层含气性识别方法的主要区别。
3 结束语亮点分析、AVO分析等方法用于检测浅层碎屑岩储层的含气性可靠性高, 但在深层碳酸盐岩储层条件下, 可靠性很低, 基本不适用。低频阴影分析方法理论上适用于深层碳酸盐岩储层的含气性检测, 但受地震数据信噪比低等因素的影响, 评价结果的可靠性也常难以保证。基于倒谱变换的地震纹分析方法因其对弱反射敏感, 能够发现“暗点”型气藏, 同时因其与模型无关使得我们能够克服诸多建模带来的弊端, 实现对深层超深层储层含气性更为可靠的检测。
对深层天然气勘探而言, 不仅要确定储层是否含气, 而且要确定储层的可采气量是否达到了商业开采规模, 亦即计算出储层的可采储量。亮点分析、AVO分析、地震纹分析等就其物理机制而言, 获得的是储层顶界面附近一个薄层的特征信息, 而计算可采储量需要获得储层的“体”特征信息。低频阴影是一种“体”响应, 本质是频散, 如果我们能建立比较精确的储层气-固双相或气-液-固三相频散介质模型, 将其与地震纹分析方法结合, 就能从储层对地震波的反射与频散中确定储层的含气性并估算其可采储量。在当前难以建立精确储层频散模型的情况下, 基于地震数据深度学习的方法有望能实现这一目标。
| [1] |
国家发展改革委, 国家能源局.能源生产和消费革命战略(2016-2030)[EB/OL].[2018-09-20].http://www.ndrc.gov.cn/zcfb/zcfbtz/201704/W020170425509386101355.pdf National Development and Reform Commission, National Energy Administration.Revolutionary strategy for energy production and consumption (2016-2030)[EB/OL].[2018-09-20].http://www.ndrc.gov.cn/zcfb/zcfbtz/201704/W020170425509386101355.pdf |
| [2] |
王巧然.中国石油第四次油气资源评价重大科技专项收官[EB/OL].[2018-09-20].http://news.cnpc.com.cn/system/2016/11/11/001620098.shtml WANG Q R.CNPC's fourth oil and gas resource evaluation major science and technology project ending[EB/OL].[2018-09-20].http://www.mzxww.net/syzy/201612/387.html. |
| [3] |
曹俊兴, 刘树根, 田仁飞, 等. 龙门山前陆盆地深层海相碳酸盐岩储层地震预测研究[J]. 岩石学报, 2011, 27(8): 2423-2434. CAO J X, LIU S G, TIAN R F, et al. Seismic prediction of carbonate reservoirs in the deep of Longmenshan foreland basin[J]. Acta Petrologica Sinica, 2011, 27(8): 2423-2434. |
| [4] |
曹俊兴, 刘树根, 何晓燕. 震控成藏导论[M]. 北京: 科学出版社, 2014: 73-74. CAO J X, LIU S G, HE X Y. Introduction to earthquake-induced hydrocarbon migration and accumulation[M]. Beijing: Science Press, 2014: 73-74. |
| [5] |
刘树根, 孙玮, 赵异华, 等. 四川盆地震旦系灯影组天然气的差异聚集分布及其主控因素[J]. 天然气工业, 2015, 35(1): 10-23. LIU S G, SUN W, ZHAO Y H, et al. Differential accumulation and distribution of natural gas and their main controlling factors in the Upper Sinian Dengying Fm, Sichuan Basin[J]. Natural Gas Industry, 2015, 35(1): 10-23. DOI:10.3787/j.issn.1000-0976.2015.01.002 |
| [6] |
BLACKBURN G J. Direct hydrocarbon detection:some examples[J]. Exploration Geophysics, 1986, 17(2): 59-66. DOI:10.1071/EG986059 |
| [7] |
TATHAM R H, STOFFA P L. vP/vS-a potential hydrocarbon indicator[J]. Geophysics, 1976, 41(5): 837-849. DOI:10.1190/1.1440668 |
| [8] |
OSTRANDER W J. Plane wave reflection coefficients for gas sands at non-normal angles of incidence[J]. Geophysics, 1984, 49(10): 1637-1648. DOI:10.1190/1.1441571 |
| [9] |
CASTAGNA J P, SUN S, SIEGFRIED R W. Instantaneous spectral analysis:detection of low-frequency shadows associated with hydrocarbons[J]. The Leading Edge, 2003, 22(2): 120-127. DOI:10.1190/1.1559038 |
| [10] |
HAMMOND A L. Bright spot:better seismological indicators of gas and oil[J]. Science, 1974, 185: 515-517. DOI:10.1126/science.185.4150.515 |
| [11] |
BACKUS M M, CHEN L. Flat-spot exploration[J]. Geophysical Prospecting, 1975, 23(3): 533-577. DOI:10.1111/gpr.1975.23.issue-3 |
| [12] |
BROWN A R. Dim spots:opportunity for future hydrocarbon discoveries?[J]. The Leading Edge, 2012, 31(6): 682-683. DOI:10.1190/tle31060682.1 |
| [13] |
BROWN A R, ABRIEL W L. Detection of hydrocarbons using non-bright-spot seismic techniques[J]. Interpretation, 2014, 2(4): SP1-SP4. |
| [14] |
Amplitude variations with offset (AVO)[EB/OL].(2017-01-18)[2018-09-20].http://wiki.aapg.org/Amplitude_variations_with_offset_(AVO)
|
| [15] |
BORTFELD R. Approximations to the reflection and transmission coefficients of plane longitudinal and transverse waves[J]. Geophysical Prospecting, 1961, 9(4): 485-502. DOI:10.1111/gpr.1961.9.issue-4 |
| [16] |
RICHARDS P G, FRASIER C W. Scattering of elastic waves from depth-dependent inhomogeneities[J]. Geophysics, 1976, 41(3): 441-458. |
| [17] |
AKI K, RICHARDS P G. Quantitative seismology:theory and methods[M]. San Francisco: W.H.Freeman and Co, 1980: 147-148.
|
| [18] |
SHUEY R T. A simplification of the Zoeppritz equations[J]. Geophysics, 1985, 50(4): 609-614. DOI:10.1190/1.1441936 |
| [19] |
FATTI J L, SMITH G C, VAIL P J, et al. Detection of gas in sandstone reservoirs using AVO analysis:a 3-D seismic case history using the geostack technique[J]. Geophysics, 1994, 59(9): 1362-1376. DOI:10.1190/1.1443695 |
| [20] |
CASTAGNA J P, BACKUS M M. Offset-dependent reflectivity:theory and practice of AVO analysis[M]. Tulsa: Society of Exploration Geophysicists, 1993: 287-332.
|
| [21] |
AVESTH P, MUKERJI T, MAVKO G. Quantitative seismic interpretation[M]. Cambridge: Cambridge University Press, 2005: 168-312.
|
| [22] |
CHOPRA S, CASTAGNA J P. AVO[M]. Tulsa: Society of Exploration Geophysicists, 2014: 245-264.
|
| [23] |
RUTHERFORD S R, WILLIAMS R H. Amplitude-versus-offset variations in gas sands[J]. Geophysics, 1989, 54(6): 680-688. |
| [24] |
CASTAGNA J P, SWAN H W, FOSTER D J. Framework for AVO gradient and intercept interpretation[J]. Geophysics, 1998, 63(3): 948-956. |
| [25] |
LUCIA F J. Carbonate reservoir characterization[M]. New York: Springer Berlin Heidelberg, 2007: 29-65.
|
| [26] |
TANER M T, KOEHLER F, SHERIFF R E. Complex seismic trace analysis[J]. Geophysics, 1979, 44(6): 1041-1063. DOI:10.1190/1.1440994 |
| [27] |
CASTAGNA J P, SUN S, SIEGFRIED R W. Instantaneous spectral analysis:detection of low-frequency shadows associated with hydrocarbons[J]. The Leading Edge, 2003, 22(2): 120-127. DOI:10.1190/1.1559038 |
| [28] |
EBROM D. The low-frequency gas shadow on seismic sections[J]. The Leading Edge, 2004, 23(8): 772. DOI:10.1190/1.1786898 |
| [29] |
HE Z, XIONG X, BIAN L. Numerical simulation of seismic low-frequency shadows and its application[J]. Applied Geophysics, 2008, 5(4): 301-306. |
| [30] |
XUE Y J, CAO J X, TIAN R F. A comparative study on hydrocarbon detection using three EMD-based time-frequency analysis methods[J]. Journal of Applied Geophysics, 2013, 89: 108-115. DOI:10.1016/j.jappgeo.2012.11.015 |
| [31] |
XUE Y, CAO J, TIAN R. EMD and Teager-Kaiser energy applied to hydrocarbon detection in a carbonate reservoir[J]. Geophysical Journal International, 2014, 199(1): 277-291. |
| [32] |
XUE Y J, CAO J X, WANG D X, et al. Application of the variational-mode decomposition for seismic time-frequency analysis[J]. IEEE Journal of Selected Topics in Applied Earth Observations & Remote Sensing, 2017, 9(8): 3821-3831. |
| [33] |
薛雅娟.地震信号时频分析及其在储层含气性检测中的应用研究[D].成都: 成都理工大学, 2014 XUE Y J.Time-frequency analysis of seismic signals and its application in gas-bearing reservoir detection[D].Chengdu: Chengdu University of Technology, 2014 http://cdmd.cnki.com.cn/Article/CDMD-10616-1015530043.htm |
| [34] |
BARNES A E. A tutorial on complex seismic trace analysis[J]. Geophysics, 2007, 72(6): W33-W43. DOI:10.1190/1.2785048 |
| [35] |
曹俊兴.地震声纹分析[R].宁波: 中国地球物理年会, 2010 CAO J X.Seismic print analysis[R].Ningbo: Proceedings of China Geophysical Society Annual Meeting, 2010 http://cpfd.cnki.com.cn/Article/CPFDTOTAL-ZGEM201010001529.htm |
| [36] |
CAO J X, HE X Y, TIAN R F.Seismic-print analysis and hydrocarbon identification (Invited)[R].San Francisco: AGU FALL Meeting, 2011 https://www.researchgate.net/publication/258464724_Seismic-print_analysis_and_hydrocarbon_identification
|
| [37] |
曹俊兴, 田仁飞.基于地震纹分析的储层检测方法: 中国, ZL201110165615.6[P].2011-06-20 CAO J X, TIAN R F.Reservoir detection method based on seismic-print analysis: China, ZL201110165615.6[P].2011-06-20 http://www.wanfangdata.com.cn/details/detail.do?_type=patent&id=CN201110165615.6 |
| [38] |
KERSTA L G. Voiceprint identification[J]. Nature, 1962, 196: 1253-1257. DOI:10.1038/1961253a0 |
| [39] |
CAMPBELL J P J. Speaker recognition:a tutorial[J]. IEEE Proceedings, 1997, 85(9): 1437-1462. DOI:10.1109/5.628714 |
| [40] |
DAS R K, PRASANNA S R M. Speaker verification from short utterance perspective:a review[J]. IETE Technical Review, 2018, 35(6): 599-617. DOI:10.1080/02564602.2017.1357507 |
| [41] |
田仁飞.倒频域地震属性提取及其在碳酸盐岩含气储层预测中的应用研究[D].成都: 成都理工大学, 2010 TIAN R F.Quefrency domain seismic attributes extraction and its application for gas prediction in carbonate reservoir[D].Chengdu: Chengdu University of Technology, 2012 |

