2. 国防科技大学 空天科学学院, 长沙 410073
2. College of Aerospace Science and Engineering, National University of Defense Technology, Changsha 410073, China
20世纪80年代以来,激光片光成像技术已被广泛应用于军事和民用领域,因其具有非接触、可视化及低成本等优势,已经迅速在流场显示和流场参数测量中崭露头角,并得到快速发展[1-4]。目前基于激光片光成像的技术主要有瑞利散射(Rayleigh Scattering, RS)成像[5]、激光诱导荧光(Laser Induced Fluorescence, LIF)[6]、激光诱导磷光(Laser Induced Phosphorescence, LIP)[7]等。但在实际应用中,这些技术都会受到杂散光干扰强、相机热噪声影响等因素的限制,影响了该类测量技术的光学成像质量[8]。
目前,为消除杂散光干扰,通常采用哑光漆、荧光漆和分子滤波池对背景杂散光进行有效抑制,进而可提高激光片光成像的质量[9]。但是,当杂散光干扰严重时,这些方法并不能完全滤除掉杂散光信号,此时激光片光成像方法难以得到理想的光学成像结果。
结构光照明技术(Structured Laser Illumination Planar Imaging,SLIPI)是一种基于锁相放大技术和空间光调制技术的综合光学成像技术[10-12],该技术源于生物测量技术,并被瑞典Lund大学首次应用到喷雾流场以及燃烧场诊断中。同时,该技术可以将原始调制信号分为有效信号和杂散光(来自于激光片光焦平面外的干扰光)两部分,在后期数据处理中,有效信号会保持不变,而杂散光会因为空间频率不同而被剔除掉。因为该技术具有消除杂散光干扰、提高光学成像质量的作用,故已在LIF[13]、Mie散射成像[14]等技术中得到应用。Kristensson等[14]指出多次散射造成的杂散光干扰问题将会较大影响到喷雾场Mie图像拍摄,并利用SLIPI技术解决了多次散射干扰问题,成功获取了喷雾场液滴尺寸分布的图像。Aldén等[15]基于SLIPI技术开展了二维LIF燃烧场诊断实验研究,消除了壁面和颗粒物质引起的杂散光干扰。Kristensson等[16]还将SLIPI方法初步应用到瑞利散射测温图像获取中去,得到了燃烧火焰瞬态温度分布结果。
本文将结构光照明技术应用到瑞利散射成像中来消除杂散光的影响,从而提高瑞利散射技术的光学成像质量。
1 基本原理当一束激光入射到流场中时,会伴随有瑞利散射光,其大小可表示为[17]:
(1)
式中,T为流场温度,D为校准常数,I0为探测点处的激光能量,p为压强,NA为阿伏加德罗常数,R0为理想气体常数,ω为激光的频率,χk和Mk为燃烧场中第k种分子的摩尔组分和质量,(∂σ/∂Ω)为瑞利散射截面,
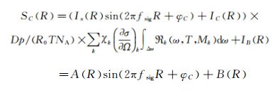
为了提高瑞利散射光学成像的质量,在激光片光后放置Ronchi光栅(用于产生正弦光强分布的激光片光),再通过探测器收集显示包含有瑞利散射信号和杂散光的正弦图样,其中显示的二维图样(R代表行数,C代表列数)中每一个点处的探测光强(SC(R),包含瑞利散射光强度和杂散光等)可由下式表示[18]:
(2)
其中,fsig为空间调制频率(由Ronchi光栅决定),Is(R)为光栅调节振幅,IC(R)为光栅调节直流分量,IB(R)为杂散光强度分布,φC为初始相位,因此,调制振幅项A(R)和总干扰项B(R)可以表示为:
(3)
(4)
理论假定2个参考正弦函数,其相位相差π/2,分别为[18]:
(5)
(6)
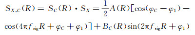
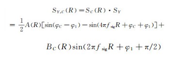
其中φ1为计算设定相位。再将式(2)分别与式(5)和(6)相乘,得到:
(7)
(8)
在式(7)和(8)中添加1个低通滤波器(截止频率fC=fsig)去掉与fsig相关的项,得出XC(R)=0.5A(R) cos(φC-φ1)和YC(R)=0.5A(R)sin(φC-φ1),进而可得到调制振幅强度A(R)为[18]:
(9)
其中调制振幅项A(R)与流场温度T、流场压强p、流场数密度N和激光诱导发光信号函数
为了具体说明SLIPI消除杂散光干扰的原理和效果,本文基于Matlab软件模拟计算了SLIPI去杂散光的全过程。在计算中,假定横坐标R为1~512,A(R)=-0.001(R-256)2+80,如图 1(f)中黑色实线所示。光栅直流分量B1=80,杂散光分量B2为[-30, 30]内的随机值,因此求出分量(B1+B2)的幅值是设定的调制振幅量(A)的1.5至6倍。光栅调节频率fsig=0.1,光栅调制相位φC=0,参考正弦函数相位φ1=0。
|
| 图 1 SLIPI处理方法全过程图及其对应的FFT结果图 Fig.1 Simulation process of the SLIPI method and the relative FFT results |
图 1(a)和(b)给出了有无光栅调制作用下的理论总光强值,分别记为SC(式(2))和SNG=A(R)+B1(R)+ B2(R)。对比两者的傅里叶变换谱可知,前者的频谱中除直流分量外还有光栅调制频率对应的特征频率fsig。根据特征频率fsig假定2个参考正弦函数(式(5)和(6)),其图像及其对应的傅里叶变换谱如图 1(c)所示。将图 1(a)与(c)中的数值分别对应相乘,其图像和对应的傅里叶变换谱如图 1(d)和(e)所示。由图 1(d)的傅里叶变换谱可知,其特征频率除直流分量和fsig外,还包含高频量2fsig,其中直流分量的值主要对应A。接下来对图 1(d)和(e)的图形进行低通滤波处理,最后由式(9)可直接得到A的值,如图 1(f)所示。由图可知:处理后的数值与理论数值吻合较好,两者的最大误差值不超过6%,说明SLIPI方法具有消除杂散光干扰的作用。
3 实验装置结构光照明测量装置主要由激光光源、片光系统、Ronchi光栅、EMCCD相机组成,如图 2(a)所示。激光光源为大功率、窄线宽、连续激光器,波长532 nm,线宽5 MHz,激光能量3 W。Ronchi光栅的周期为2 /mm。激光经过扩束镜组后变成光斑直径约为51 mm的光束,该光束再经过Ronchi光栅和柱面镜镜组后成为正弦光强分布的激光片光。激光片光照射测试流场产生的瑞利散射光信号最后进入EMCCD相机。本文设计了5种不同背景条件下的实验环境,分别记为CASE 0,CASE 1,CASE 2,CASE 3和CASE 4,前3种用于冷态流场实验,后2种用于燃烧场实验。CASE 0和CASE 3为最优条件(杂散光干扰最小),CASE 1是将金属障碍物M放置于流场侧后方来增加杂散光干扰,CASE 2是将柱形物体N放置于流场正后方来增加杂散光干扰,CASE 4是将金属屏幕F放置于流场侧后方来增加杂散光干扰,玻璃片G(CASE 1、CASE 2和CASE 4)放置于激光片光传输末端来进一步增加杂散光干扰,5种条件下的流场参数及其EMCCD采集参数如表 1所示。测试对象为McKenna平面火焰炉,该燃具是一套广泛用于研究气体燃料层流稳定燃烧特性的实验系统,是目前国际公认的实验条件最接近层流稳定燃烧状态的反应系统,如图 2(b)所示。火焰炉B的主体由燃具炉面、烧结多孔铜环、气体通道及其内部循环冷却系统组成。其中燃具炉面主要由不锈钢或者紫铜制成,燃具壳体内部嵌有循环冷却水系统用于保持燃具炉面温度恒定,炉面下方安装有烧结多孔铜环用于整流。预混燃气(包含有预混合氧化剂和燃料)通入到壳体底部并均匀分布于炉面上进行燃烧,惰性气体的通入使得炉面上的火焰不受外界影响而稳定燃烧。McKenna平面火焰炉与光学测试系统的尺寸如图 2(c)所示,炉面尺寸为60 mm,测量区域片激光的厚度约0.5 mm,宽度约51 mm,激光下边缘距炉面约15 mm。
|
| 图 2 (a) 基于结构光照明的瑞利散射成像测量装置;(b) McKenna火焰炉结构示意图;(c)McKenna火焰炉及其上方实验布局尺寸图 Fig.2 Schematic of Rayleigh scattering optical arrangement for SLIPI measurement; (b) the structure of McKenna burner; (c) the size of McKenna burner and the experimental layout |
| 背景分类 | 流场参数 | 相机曝光时间 | 相机增益 | 图像正弦调制周期 | |
| 冷态流场 | CASE 0 | Air: 10 L/min | 0.05 s | 30 | 0.08495 |
| CASE 1 | 0.05 s | 30 | 0.08495 | ||
| CASE 2 | 0.05 s | 30 | 0.08495 | ||
| 甲烷/空气预混火焰 | CASE 3 | CH4: 0.7 L/min; Air: 7 L/min; |
0.10 s | 30 | 0.08495 |
| CASE 4 | N2: 5 L/min. | 0.10 s | 30 | 0.08495 |
为了实验验证SLIPI方法去杂散光的作用,按照图 2(a)所示的光路,首先开展了冷态条件下空气散射流动显示对比实验,实验参数如表 1所示。在未使用Ronchi光栅调制前,得到空气对入射片激光的瑞利散射图像,如图 3(a),(b)和(c)所示。对比图 3(a)和(b)、(c)可知:瑞利散射图像中除了可以观察到空气瑞利散射信号外,还能够观察到大量的杂散光,其强度很高,很容易将瑞利散射信号掩盖,极大影响了探测到的瑞利散射图像的信噪比。将Ronchi光栅布置于片光系统前,即可获得光栅调制作用下的瑞利散射图像,如图 3(d),(e)和(f)所示。同第2节处理方法,首先对图 3(d)图样进行傅里叶变化,可得出光栅调制频率fsig=0.08495/pixel。其次对图 3(d),(e)和(f)进行SLIPI去杂散光处理,分别得到图 3(g),(h)和(i),可以看出3种不同测试环境中得到的SLIPI处理图样、数值大小基本一致,这说明SLIPI去杂散光方法的准确性;从图中还可以看出,由金属障碍物、柱形物体引入的杂散光几乎全部被滤除掉,进一步说明了该方法能够实现对杂散光干扰的有效抑制。
|
| 图 3 3种不同测试环境下的原始瑞利散射图像((a),(b),(c))、光栅调制瑞利散射图像((d),(e),(f))和SLIPI方法处理后的图像((g),(h),(i)) Fig.3 (a), (b) and (c): conventional (raw data) Rayleigh scattering images without grating modulation in three different measurement cases; (d), (e) and (f): Rayleigh scattering images with grating modulation; (g), (h) and (i): images of modulated amplitude value, A, calculated by SLIPI method |
此外,本文将基于结构光照明的瑞利散射成像测量方法应用到燃烧场温度测量中去,测量对象为McKenna平面火焰炉产生的预混层流火焰。为此,设计了2种不同背景条件下的实验环境(CASE 3和CASE 4),2种条件下的流场参数及EMCCD采集参数一致,如表 1所示。
在未使用Ronchi光栅调制前,得到燃烧流场对入射片激光的散射图像,如图 4(a)和(b)所示。对比2图可知:背景杂散光的存在已经严重影响了燃烧场的瑞利散射图像,掩盖了火焰的形貌图像。将Ronchi光栅布置在片光系统前,即可获得光栅调制作用下的瑞利散射图像,如图 4(c)和(d)所示,同样可得到光栅调制频率fsig=0.08495/pixel。再对图 4(c)和(d)进行去杂散光处理,分别得到图 4(e)和(f),可以看出由金属屏幕引入的杂散光几乎全部被滤除掉,这说明该方法能够实现对杂散光干扰的有效抑制,同时2种不同测试环境中得到的SLIPI处理图样、数值大小基本一致,这进一步说明了SLIPI去杂散光方法的准确性。
|
| 图 4 2种不同测试环境下的原始瑞利散射图像((a),(b))、光栅调制瑞利散射图像((c),(d))、SLIPI方法处理后的图像((e),(f))和SLIPI方法处理后的温度场分布结果((g),(h)) Fig.4 (a) and (b): conventional (raw data) Rayleigh scattering images without grating modulation in two different measurement cases; (c) and (d): Rayleigh scattering images with grating modulation; (e) and (f): images of modulated amplitude value, A, calculated by SLIPI method; (g) and (h): combustion temperature distribution images by the SLIPI method |
对比冷态和燃烧状态下的瑞利散射图像(SLIPI去杂散光处理后),可得到2种背景光条件下的温度场分布结果,如图 4(g)和(h),可知2种实验状态下得到的温度场实验结果基本相同。此外,最优状态CASE 3条件下获得的温度测量不确定度约在15%以内(由图 4(g)获得),而强杂散光干扰CASE 4条件下获得的温度测量不确定度约在23%以内(由图 4(h)获得)。同时,对比图 4(g)和(h)可以看出,后者中间图像(对应燃烧区域,火焰温度较高,瑞利散射信号较弱)中具有较多孤立噪点,这是因为CASE 4条件下的杂散光强度/瑞利散射信号强度的比值较大,导致在相同滤波器的前提下,无法去除掉全部杂散光,从而增大了燃烧场温度的测量不确定度、降低了火焰温度的测量精度。
5 结论在利用结构光栅实现对激光片光正弦调制的基础上,建立了一套可用于流场瑞利散射成像的结构光照明测量装置;通过理论计算,验证了SLIPI方法具有消除杂散光干扰的作用;通过开展McKenna火焰炉冷态和燃烧状态下的气体瑞利散射测量实验,展示了所设计的结构光照明测量装置能够实现对气体流场瑞利散射信号二维图像的准确显示及消除杂散光的能力。如果能增大激光器能量、提高Ronchi光栅耐热阈值,可将这种SLIPI处理方法应用到发动机燃烧场瑞利散射温度场测量、激光诱导荧光图像测量及激光诱导磷光图像测量中去。
| [1] |
MILES R B, LEMPERT W R. Two-dimensional measurement of density, velocity, and temperature in turbulent high-speed air flows by UV Rayleigh scattering[J]. Appl Phys B, 1990, 51(4): 1-7. |
| [2] |
FOURGUETTE D C, ZURNI R M, LONG M B. Two dimensional Rayleigh thermometry in a turbulent nonpremixed Methane-Hydrogen flame[J]. Combustion Science Technology, 1986, 44(30): 307-317. |
| [3] |
俞刚, 范学军. 超声速燃烧与高超声速推进[J]. 力学进展, 2013, 43(5): 449-454. YU G, FAN X J. Supersonic combustion and hypersonic propulsion[J]. Progress in Mechanics, 2013, 43(5): 449-454. |
| [4] |
MCMILLIN B K, PALMER J L, SEITZMAN J M, et al. Two line instantaneous temperature imaging of NO in a scramjet model flow-field[R]. AIAA-93-0044, 1993.
|
| [5] |
ELLIOT G S, GLUMAC N. Molecular filtered Rayleigh scattering applied to combustion turbulence[R]. AIAA-99-0643, 1999.
|
| [6] |
SEITZMAN J M, PALMER J L, ANTONIO A L. Instantaneous planar thermometry of shock-heated flows using PLIF of OH[R]. AIAA-93-0802, 1993.
|
| [7] |
LIU J R, HU Z Y, ZHANG Z R. Laser spectroscopy applied to combustion diagnostics[J]. Optics and Precision Engineering, 2011, 19(2): 284-296. DOI:10.3788/OPE.20111902.0284 |
| [8] |
ELLIOTT G S, GLUMAC N, CARTER C D. Molecular filtered Rayleigh scattering applied to combustion[J]. Meas Sci Tech, 2001, 12(4): 452-466. DOI:10.1088/0957-0233/12/4/309 |
| [9] |
WANG J, SHI X C, XIAO X H, et al. Multiplex parametric measurements for molecules flow by Rayleigh scattering[J]. Journal of Tianjin University, 2000, 33(1): 21-24. |
| [10] |
BHARGAVA R, PATHAK K K, AKHTAR S. Numerical and experimental investigations of two span prestr-essed concrete beams[J]. Journal of Structural Engineering, 2017, 43(6): 547-556. |
| [11] |
KNER P, CHHUN B B, GRIS E R, et al. Super-resolution video microscopy of live cells by structured illumination[J]. Nat Methods, 2009, 6(10): 339-342. |
| [12] |
KRISTENSSON E, KRISTENSSON G. Physical explanation of the SLIPI technique by the large scatterer approximation of the RTE[J]. Journal of Quantitative Spectroscopy and Radiative Transfer, 2017, 189(11): 112-125. |
| [13] |
STORCH M, MISHRA Y N, KOEGL M, et al. Two-phase SLIPI for instantaneous LIF and Mie imaging of transient fuel sprays[J]. Optics Letters, 2016, 41(23): 5422-5425. DOI:10.1364/OL.41.005422 |
| [14] |
KRISTENSSON E, BERROCAL E, WELLANDER R, et al. Structured illumination for 3-D Mie imaging and 2-D attenuation measurements in optically dense sprays[J]. Proceedings of the Combustion Institute, 2011, 33(1): 855-861. DOI:10.1016/j.proci.2010.06.016 |
| [15] |
ALDÉN M, BOOD J, LI Z S, et al. Visualization and understanding of combustion processes using spatially and temporally resolved laser diagnostic techniques[J]. Proceedings of the Combustion Institute, 2011, 33(11): 69-97. |
| [16] |
KRISTENSSON E, EHN A, BOOD J, et al. Advancements in Rayleigh scattering thermometry by means of structured illumination[J]. Proceedings of the Combustion Institute, 2015, 35(9): 3689-3696. |
| [17] |
ELLIOTT G S, GLUMAC N, CARTER C D. Molecular filtered Rayleigh scattering applied to combustion[J]. Meas Sci Tech, 2001, 12(4): 452-466. DOI:10.1088/0957-0233/12/4/309 |
| [18] |
KRISTENSSON E, BOOD J, ALDÉN M. Stray light suppression in spectroscopy using periodic shadowing[J]. Optics Express, 2014, 22(7): 7711-7721. DOI:10.1364/OE.22.007711 |



