传统的气动舵面, 要克服惯性力矩和阻尼力矩并达到一定的舵偏, 才能产生所需的控制力和力矩, 时间延迟较大(通常可达100 ms量级); 在动压减小的情况下(如高空飞行条件下或初始低速飞行阶段), 气动舵面控制效率很低。侧向喷流直接力控制系统的响应时间仅为气动舵面的几十分之一, 且效果不受动压减小的影响, 是目前高超声速导弹机动控制响应最快、系统最简单的控制方式。
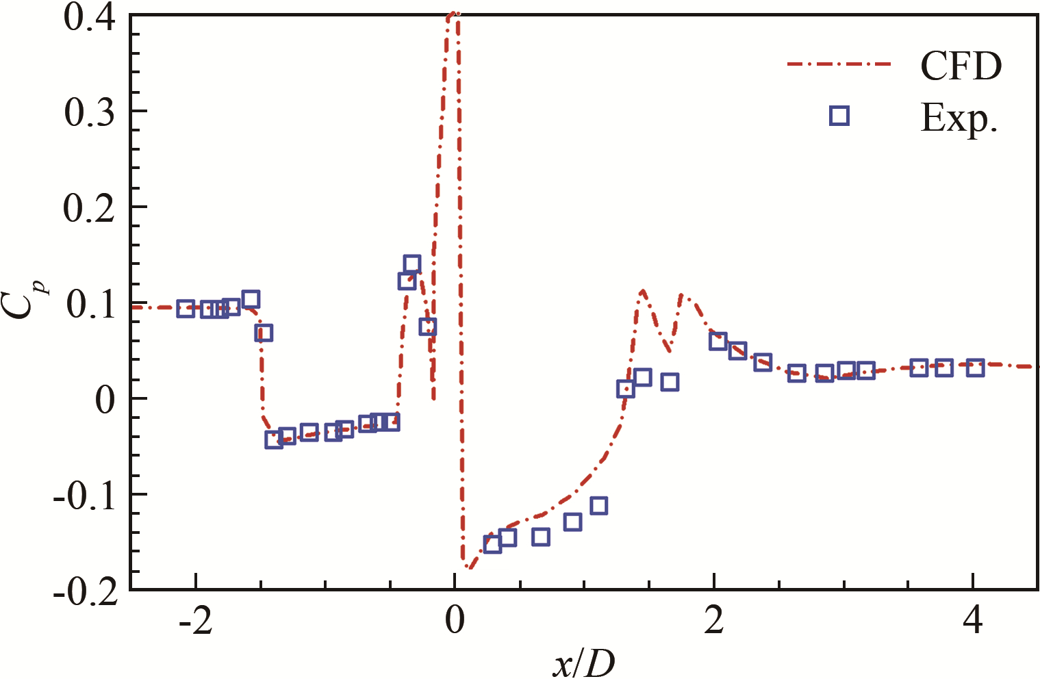
喷流直接力控制系统在高空提供近似等于推力的控制力, 提供的力矩主要由推力作用线与转轴的相对位置决定, 基本不引起干扰力和力矩, 对喷口周围物面的气动加热也不明显。但当高度降低至20~30 km时, 来流与喷流产生复杂的侧喷干扰效应, 形成强烈的激波/激波、激波/边界层干扰流动结构(如图 1所示), 产生明显的干扰力、力矩以及极高的局部气动加热。图 2为侧喷干扰轴向压力系数Cp分布的计算与实验结果对比[1], 在喷口附近出现很高的压力峰值, 气动热环境分布也有类似趋势。
侧喷干扰的流动特征非常复杂。超声速燃气喷流对来流产生阻碍作用, 在喷流前形成弓形激波, 弓形激波后的压强上升形成逆压梯度, 导致边界层出现分离泡。分离泡(相当于流场中的一个固体壁面)使主流发生一定偏离, 在弓形激波前产生分离激波, 形成激波/边界层干扰典型的λ形激波, 此区域的分离流动环绕喷流在壁面附近形成反向旋转的马蹄涡。喷流受到来流作用向后弯曲, 形成桶形激波和马赫盘。绕流在喷流后侧形成分离和再附区域, 产生再附激波等结构。
研究侧喷干扰流动的实验需要满足的条件远比常规外部绕流实验条件复杂。除需几何相似、来流马赫数相等外, 喷流压比、喷流组分、反应过程等也需相似, 这样的实验条件已有技术很难严格实现。几十年来, 研究者针对侧喷干扰流动开展了大量的实验与计算研究(实验包括冷喷流、高温空气和热喷流实验, 计算包括冷喷流、高温异质喷流、无反应冻结流和反应流模拟[1-24]), 得到了重要的定性定量结论, 加深了对侧喷干扰流动现象及其规律的认识。
冷喷流实验因其重复性好、无毒害、成本相对较低, 并且在保证喷流压比和初始膨胀角一致的条件下可以获得比较满意的结果, 在风洞实验中被大量采用[5-10]; 但由于其难以模拟真实飞行器喷流燃气的比冲、温度、比热比以及二次燃烧效应等, 采用微型发动机进行的热喷流实验逐渐成为喷流干扰实验的发展趋势。现阶段, 热喷流实验主要采用真实固体火箭发动机产生的燃气流作为实验喷流介质[10-12], 复现真实发动机的工作状态。此外, 也有利用路德维希管通过氢气和氧气燃烧实现高温燃气喷流, 并通过调节气体压强和气体组分实现特定喷流参数[13-14]。
20世纪80年代, 计算流体力学在侧喷干扰气动研究方面取得长足进展。20世纪90年代至今, 侧喷干扰流动模拟技术进入发展高潮, 在计算方法和物理模型方面均取得重大进步[1-4, 15-24]。实验与数值结果的对比, 证实了合理的数值模拟模型参数设置可以得到与实验较为一致的结果(如图 3所示), 为采用数值模拟手段广泛开展侧喷干扰研究提供了依据。同时, 从图 3也可看到, 侧喷干扰对来流条件变化非常敏感, 迎角α的变化在很大程度上改变了极限流线分布, 对受力和加热分布也会有潜在的重要影响。
计算方法可以方便地设置冷喷流、高温异质喷流、冻结无反应喷流、多组分反应喷流等计算模型, 研究不同物理化学过程对侧喷干扰气动力的影响程度。通过计算与实验的对比研究发现, 高温空气喷流可以较好地反映高温多组分燃气喷流的流动特征, 这为实验设计或计算设置提供了一种思路。在计算过程中, 为降低计算复杂程度、减少计算时间, 经常采用高温异质喷流方法开展侧喷干扰流动模拟研究, 以较为经济地获得比较合理的分析结果。
研究者也关心湍流模型对侧喷干扰流动的适用性问题。有研究机构对冷、热喷流和9种湍流模型开展了计算研究, 结果表明:总体的气动力和气动力矩不像表面压强分布那样易于受到湍流模型的影响, 在冷、热喷流模拟中, 湍流模型的影响程度分别小于3%和13%;综合而言, SST湍流模型得到的结果与实验结果符合程度最好[24]。
现有文献的工作侧重于研究侧喷干扰流动中的激波/激波、激波/边界层干扰等典型流动现象, 在计算和实验中, 喷流的作用更多的是产生这些典型流动现象, 喷流动量比很小, 干扰流动范围偏小, 在气动力方面还缺少贴近应用需求的针对性研究, 而气动热方面则极少涉及。这可能和实验条件难以实现、缺少验证数据有关。满足应用需求的大喷流动量比侧喷干扰的力学特性和峰值热流分布, 均需开展复现高温燃气效应的实验验证。
1 实际应用对侧喷干扰燃气效应实验方面的需求喷流动量与自由来流动量比值的大小, 会引起喷流干扰区域的巨大差异。现有的侧喷干扰计算和实验大多侧重于小喷流动量比典型流动现象的研究, 喷流干扰区域延伸范围有限; 而在实际应用的大动量比情况下, 喷流干扰区域会从两侧延伸至喷口对侧物面, 流动发生明显偏折并出现局部高压(如图 4所示), 此类干扰的力学影响实验研究还很缺乏。
|
| 图 4 喷口对侧物面压强与流线分布 Fig.4 Pressure and streamline distributions on wall opposite jet exit |
目前, 以计算方法研究高超声速流动问题时, 较多采用热完全气体模型, 以反映气体的部分高温效应, 在侧喷计算时也普遍采用异质流或多组分模型, 但不太采用反应模型, 以避免反应源项刚性引起的计算收敛问题。因此, 为验证此类算法与实际干扰流动的贴近程度, 需要开展相应的对比实验。
高速流动中的气动热问题也受到极大关注。在喷口前部干扰区, 来流与燃气喷流有较大程度的掺混, 很多情况下燃气总温比来流总温更高, 可以预测燃气能量对干扰区峰值热流存在重要影响; 同时, 气体掺混反应对干扰区峰值热流的影响还与燃气是否充分燃烧相关, 其对气动热的影响也更加复杂, 采用冷喷流模拟无法复现此种效应。目前, 复现高焓来流和高温燃气喷流的气动热实验结果还比较缺乏, 高温燃气反应效应对气动热的影响也需开展相关的实验验证工作。
2 冷/热喷流和有/无反应对气动力/热的影响基于当前高超声速流动计算方法的应用现状和工程应用对实验研究的需求, 本文介绍不同气体模型对高动量比侧喷干扰流动气动力/热影响的一些研究结果作为对现有文献研究的补充, 以便从未来飞行器气动设计的角度讨论可能遇到的气动力/热问题和地面气动实验技术问题。
选取和图 1类似的锥-柱-裙外形, 为贴近实际应用, 对模型尖端作钝化处理, 模型长度设定为2 m, 底部直径设定为0.5 m, 发动机轴线处于模型轴向中部位置, 参考底部面积和长度得出气动力系数与力矩系数。
需要注意的是:考虑到计算方法在高超声速流动中的应用现状, 本节均采用热完全气体模型; "冷喷流"仅指喷流介质为常温氮气, 但考虑高温下热物性变化和可能的气体反应, 以更加确切地反映冷、热喷流介质引起的力学差异。
2.1 气体模型气体模型采用冷喷流、无反应喷流和高温反应喷流等3种模型。其中, 冷喷流气体模型采用式(1)的相似准则设定冷喷流参数(式中, γ、Ma、p、A分别为比热比、马赫数、压强和喷口面积; 下标j、cold、hot分别表示喷流、冷喷流、热喷流。在流场解算中, 考虑高温条件下可能发生的气体热物性变化和化学反应), 喷流介质采用氮气; 无反应喷流气体模型采用真实的多组分气体, 考虑气体热物性参数随温度的变化, 但不考虑气体发生反应, 即反应是冻结的; 高温反应喷流气体模型考虑了气体热物性随温度的变化和化学反应。
(1)
根据计算经验和文献结论, 选择SST湍流模型; 在计算中, 喷流从驻室入口引入; 空间采用六面体非结构网格进行离散, 半模网格3500万。高温燃气喷流参数和喷流组分见表 1和2, 气体高温反应采用表 3所示的11组分化学反应模型(表中, kf为Arrhenius反应速率常数, Cf为指前因子, ηf为温度指数, Ta为活化温度, W为催化组分)。壁面采用300 K等温壁条件, 计算中未考虑壁面催化效应。
| 参数 | 数值 |
| 出口马赫数 | 2.70 |
| 出口速度/(m·s-1) | 2500 |
| 出口压强/MPa | 0.10 |
| 驻室压强/MPa | 4.00 |
| 出口温度/K | 1700 |
| 驻室总温/K | 3100 |
| 出口燃气比热比 | 1.26 |
| 出口密度/(kg·m3) | 0.18 |
| 组分 | 摩尔数/(mol·kg-1) |
| CO | 6.268 |
| N2 | 14.947 |
| H2 | 7.516 |
| H2O | 16.515 |
| CO2 | 1.932 |
| O2 | 0.011 |
| N | 0.000 |
| NO | 0.045 |
| H | 0.476 |
| OH | 0.333 |
| O | 0.013 |
| 反应方程 | Cf | ηf | Ta/K | W影响 |
| O2+W=2O+W | 2.00×1021 | -1.5 | 59 496 | N:5 O:5 |
| N2+W=2N+W | 7.00×1021 | -1.6 | 113 193 | N:4.286 O:4.286 |
| NO+W=N+O+W | 5.00×1015 | 0 | 75 495 | N:22 O:22 NO:22 |
| NO+O=O2+N | 8.40×1012 | 0 | 19 449 | |
| N2+O=NO+N | 6.40×1017 | -1.0 | 38 398 | |
| 2H+W=H2+W | 6.40×1017 | -1.0 | 0 | H2:2.0 H2O:6.0 |
| H+OH+W=H2O+W | 2.20×1022 | -2.0 | 0 | H2O:6.0 |
| H+O+W=OH+W | 6.00×1016 | -0.6 | 0 | H2O:5.0 |
| OH+H2=H2O+H | 2.20×1013 | 0 | 2593 | |
| H+O2=OH+O | 2.20×1014 | 0 | 8459 | |
| O+H2=OH+H | 1.80×1010 | 1.0 | 4481 | |
| 2OH=H2O+O | 6.30×1012 | 0 | 549 | |
| CO2+M=CO+O+M | 3.14×1014 | 0 | 51 326 | |
| CO2+O=CO+O2 | 2.10×1013 | 0 | 27 800 | |
| OH+CO=CO2+H | 2.12×1012 | 0 | 2631 |
图 5为高度h=20 km、迎角α=0°时冷喷流与高温反应喷流干扰区域流线与压强p分布对比。可以看到, 2种计算模型峰值压强数值接近, 在喷口前(图中左侧)均有2个流线集中的位置, 左为分离位置, 右为再附位置, 两位置间为激波/边界层干扰旋涡分离区域, 喷口和再附位置间为另一较小的旋涡分离区域, 两分离区域在再附位置汇合引起局部高压。冷喷流模型再附位置更靠近喷口, 但激波/边界层分离区域稍宽, 其他状态下(如α=-4°和4°时)也有这一显著特征。图 6为热流密度q对比, 正如所预测的那样, 冷喷流比高温反应喷流模型的数值小一个量级, 这也是冷喷流实验通常仅用于气动力特性研究的主要原因。
|
| 图 5 冷喷流与高温反应喷流气体模型喷流干扰流线与压强分布对比 Fig.5 The lateral jet interaction pressure distributions for cold gas and reacting gas |
|
| 图 6 冷喷流与高温反应喷流气体模型喷流干扰热流密度分布对比 Fig.6 Comparison of heating rate distribution under the lateral jet interference for cold gas and reacting gas |
表 4给出了高度h=20 km、不同迎角时不同气体模型的气动特性, 表中各列数据分别为迎角α、开机状态、气体模型、轴向力系数CA、法向力系数Cn、俯仰力矩系数Cm、推力放大系数AF(Amplification Factor)和喷流俯仰干扰力矩Mi。其中, 冷喷流和高温反应喷流模型的推力放大系数AF和喷流俯仰干扰力矩Mi相对于反应模型的无喷流状态得到(如前所述, 冷喷流仅指常温气体作为喷流介质, 但考虑整个流场中可能发生的反应, 这样设置也是为了更好地对比分析高温燃气效应), 而无反应喷流模型相对于无反应模型的无喷流状态得到。可以看到:在无喷流条件下, 仅考虑反应与否, 几乎不影响气动力和力矩; 但在喷流条件下, 不同气体模型的气动力和力矩差异明显, 尤其是法向力相差4%~15%, 俯仰力矩相差则超过20%。另外, 当迎角α从-4°增加到4°, 不同气体模型的推力放大系数AF均会增加, 且数值均大于1(即加强推力效果); 喷流俯仰干扰力矩也由负变正, 负迎角时增加低头力矩, 正迎角时增加抬头力矩。需要注意的是:从当前计算结果来看, 不同气体模型的力矩最大相差100 N·m, 考虑到气动稳定控制系统可提供的操纵力矩一般为数百N·m, 这就已经需要评估操纵性与系统重量之间的平衡了。
| α/(°) | 开机状态 | 气体模型 | CA | Cn | Cm | AF | Mi/(N·m) |
| -4 | GKI(轨控1) | Cold gas | 0.128 86 | -0.153 48 | -0.004 14 | 1.086 5 | -552.10 |
| -4 | GKI(轨控1) | No reaction | 0.130 12 | -0.149 44 | -0.004 73 | 1.065 5 | -601.20 |
| -4 | GKI(轨控1) | Reaction | 0.129 54 | -0.155 40 | -0.003 99 | 1.096 6 | -539.10 |
| -4 | No reaction | 0.137 86 | -0.137 02 | 0.002 18 | |||
| -4 | Reaction | 0.137 86 | -0.137 06 | 0.002 21 | |||
| 0 | GKI(轨控1) | Cold gas | 0.127 74 | -0.032 84 | 0.000 78 | 1.173 0 | 67.06 |
| 0 | GKI(轨控1) | No reaction | 0.129 08 | -0.029 50 | 0.000 43 | 1.155 5 | 37.30 |
| 0 | GKI(轨控1) | Reaction | 0.128 54 | -0.034 94 | 0.001 36 | 1.184 0 | 117.14 |
| 0 | No reaction | 0.131 86 | 0 | 0 | |||
| 0 | Reaction | 0.131 88 | -0.000 02 | 0.000 01 | |||
| 4 | GKI(轨控1) | Cold gas | 0.137 80 | 0.093 96 | 0.002 12 | 1.227 1 | 376.32 |
| 4 | GKI(轨控1) | No reaction | 0.138 28 | 0.097 72 | 0.001 87 | 1.207 1 | 352.70 |
| 4 | GKI(轨控1) | Reaction | 0.138 54 | 0.091 58 | 0.003 02 | 1.239 7 | 454.92 |
| 4 | No reaction | 0.137 72 | 0.137 02 | -0.002 18 | |||
| 4 | Reaction | 0.137 78 | 0.137 06 | -0.002 21 |
图 7和8分别为更高马赫数下的高温无反应喷流和反应喷流干扰区域流线、压强分布以及热流密度分布对比。与前述冷喷流与高温反应喷流的对比不同, 高温无反应喷流和反应喷流干扰区域的流线和压强分布均接近, 但带反应的峰值热流密度有较为明显的提高。表 5给出了峰值压强pp与热流密度qp的对比, 可以看出, 有反应条件的峰值压强和热流密度均高, 但峰值压强差别不超过2%, 热流密度差异则达到约13%。分析迎角α的变化对峰值压强和热流密度的影响, 可知无论反应与否, 数值都会有成倍的差异。侧喷干扰气动热数值计算的不确定度较高, 而湍流模型的选用依据是针对气动力的, 现有文献还缺乏侧喷干扰气动热的实验研究结论, 因此, 气动热数值计算亟需反映高温燃气效应的实验数据作为依据。
|
| 图 7 高温无反应喷流与反应喷流气体模型喷流干扰压强分布对比 Fig.7 Comparison of pressure distribution under the lateral jet interference for high temperature nonreacting gas and reacting gas |
|
| 图 8 高温无反应与反应喷流气体模型喷流干扰热流密度分布对比 Fig.8 Comparison of heating rate distribution under the lateral jet inter-ference for high temperature nonreacting gas and reacting gas |
| α/(°) | pp/Pa | qp/(kW·m-2) | Reaction |
| -4 | 5.510×104 | 4.150×103 | 有 |
| -4 | 5.448×104 | 3.730×103 | 无 |
| 0 | 3.800×104 | 3.000×103 | 有 |
| 0 | 3.758×104 | 2.650×103 | 无 |
| 4 | 2.397×104 | 1.927×103 | 有 |
| 4 | 2.350×104 | 1.750×103 | 无 |
在现有实验研究中, 喷流分离区影响范围偏小, 难以反映实际应用的干扰量值, 需要开展满足实际应用的大喷流动量比实验研究。采用计算手段解决高超声速流动问题时, 也非常关心侧喷干扰气动力受高温燃气效应影响的程度, 亟需实验给予确认。高速流动中的气动热问题受到极大关注, 侧喷干扰燃气能量对干扰区的峰值热流存在重要影响, 而气体掺混反应对干扰区峰值热流的影响还与燃气是否充分燃烧有关, 其对气动热的影响也更加复杂; 另外, 气动热计算还缺乏湍流模型方面的实验数据作为参照。喷流干扰流场结构丰富、作用机理非常复杂, 并受到飞行高度、迎角、高温燃气效应、湍流模型等多种因素的制约, 对飞行器气动力、气动热均会产生重要影响, 需要针对具体外形结合飞行及喷流参数进行深入分析。
| [1] |
Gnemmi P, Adeli R, Longo J. Computational comparisons of the interaction of a lateral jet on a supersonic generic missile[R]. AIAA 2008-6883, 2008.
|
| [2] |
Roger R P. The aerodynamics of jet thruster control for supersonic/hypersonic endo-interceptors: Lessons learned[R]. AIAA-99-0804, 1999. https://www.researchgate.net/publication/269211135_The_aerodynamics_of_jet_thruster_control_for_supersonichypersonic_endo-interceptors_-_Lessons_learned
|
| [3] |
Chamberlain R, Dang A, McClure D. Effect of exhaust chemistry on reaction jet control[R]. AIAA-99-0806, 1999. https://www.researchgate.net/publication/269211090_Effect_of_exhaust_chemistry_on_reaction_jet_control
|
| [4] |
Chamberlain R, McClure D, Dang A. CFD analysis of lateral jet interaction phenomena for the THAAD interceptor[R]. AIAA-2000-0963, 2000. https://www.researchgate.net/publication/269068007_CFD_analysis_of_lateral_jet_interaction_phenomena_for_the_THAAD_interceptor
|
| [5] |
赵桂林, 彭辉, 胡亮, 等. 超音速流动中侧向喷流干扰特性的实验研究[J]. 力学学报, 2004, 36(5): 577-582. Zhao G L, Peng H, Hu L, et al. Experimental investigations of lateral jet interaction in supersonic flows[J]. Acta Mechanica Sinica, 2004, 36(5): 577-582. DOI:10.3321/j.issn:0459-1879.2004.05.010 |
| [6] |
李素循, 倪招勇.自由射流与受干扰射流[C]//全国第十二届高超声速气动力(热)会议论文集. 2003. Li S X, Ni Z Y. Free/disturbed jet flow[C]//Proc of the 12th Hypersonic Aerodynamic Force and Heating Conference. 2003. |
| [7] |
倪招勇, 李素循.横喷干扰流场压力与油流显示[C]//全国第十二届高超声速气动力(热)会议论文集. 2003. Ni Z Y, Li S X. Pressure distributions in lateral jet interaction flow and its oil flow visulation[C]//Proc of the 12th Hypersonic Aerodynamic Force and Heating Conference. 2003. |
| [8] |
赵桂林, 彭辉, 胡亮, 等. 高超声速流动中侧向喷流干扰特性的实验研究[J]. 空气动力学学报, 2005, 23(2): 188-194. Zhao G L, Peng H, Hu L, et al. Experimental investigations of lateral jet interaction in hypersonic flows[J]. Acta Aerodyna-mica Sinica, 2005, 23(2): 188-194. DOI:10.3969/j.issn.0258-1825.2005.02.011 |
| [9] |
徐筠, 徐翔, 王志坚, 等. 多喷口喷流对侧向喷流流场影响的风洞实验研究[J]. 实验流体力学, 2012, 26(5): 13-16. Xu Y, Xu X, Wang Z J, et al. Experimental investigation on multi-jet interference[J]. Journal of Experiments in Fluid Mechanics, 2012, 26(5): 13-16. DOI:10.3969/j.issn.1672-9897.2012.05.003 |
| [10] |
Stahl B, Emunds H, Gulhan A. Experimental investigation of hot and cold side jet interaction with a supersonic cross-flow[J]. Aerospace Science and Technology, 2009, 13(8): 488-496. DOI:10.1016/j.ast.2009.08.002 |
| [11] |
王志坚, 伍贻兆, 徐翔, 等. 冷/热喷流对飞行器气动特性干扰实验研究[J]. 南京航空航天大学学报, 2009, 41(4): 429-431. Wang Z J, Wu Y Z, Xu X, et al. Investigation of lateral jet interaction test for different media[J]. Journal of Nanjing University of Aeronautics and Astronautics, 2009, 41(4): 429-431. DOI:10.3969/j.issn.1005-2615.2009.04.002 |
| [12] |
徐筠, 王志坚, 徐翔. 高超声速侧向喷流干扰气动特性试验研究[J]. 实验流体力学, 2005, 19(4): 20-24. Xu Y, Wang Z J, Xu X. Experiment research about lateral jet in hypersonic flow[J]. Journal of Experiments in Fluid Mechanics, 2005, 19(4): 20-24. DOI:10.3969/j.issn.1672-9897.2005.04.004 |
| [13] |
刘洪山, 徐翔, 孔荣宗, 等. 激波风洞侧向喷流干扰效应试验研究[J]. 空气动力学学报, 2005, 23(3): 294-298. Liu H S, Xu X, Kong R Z, et al. Wind tunnel test study for side jet interaction effects in shock tunnel[J]. Acta Aerodynamica Sinica, 2005, 23(3): 294-298. DOI:10.3969/j.issn.0258-1825.2005.03.006 |
| [14] |
陈雪冬, 王发民, 唐贵明. 高温燃气喷流/主流相互干扰实验研究[J]. 力学学报, 2012, 44(2): 230-237. Cheng X D, Wang F M, Tang G M. The investigation of experemental technique for high temperature gas jet flow test in impulse wind tunnel[J]. Chinese journal of theoretical and applied mechancis, 2012, 44(2): 230-237. |
| [15] |
Robinson M A. Application of CFD to BMDO JI risk mitigation: External burning jet interaction[R]. AIAA-99-0803, 1999.
|
| [16] |
徐敏.大气层内拦截弹侧向喷流控制技术研究[D].西安: 西北工业大学, 2003. Xu M. Studies of lateral jet control on endoatmospheric interceptor[D]. Xi'an: Northwestern Polytechincal University, 2003. http://cdmd.cnki.com.cn/article/cdmd-10699-2004022061.htm |
| [17] |
杨彦广, 章起华, 刘君. 高超声速主流中完全气体横向喷流干扰特性研究[J]. 空气动力学学报, 2005, 23(3): 299-306. Yang Y G, Zhang Q H, Liu J. Aerodynamic interaction research of perfect gas lateral jet in hypersonic external flow[J]. Acta Aerodynamica Sinica, 2005, 23(3): 299-306. DOI:10.3969/j.issn.0258-1825.2005.03.007 |
| [18] |
刘君, 杨彦广, 徐春光.横向喷流与超声速流动干扰问题及其数值模拟研究进展[C]//第十二届全国计算流体力学会议论文集. 2004. Liu J, Yang Y G, Xu C G. The progress of study on lateral jet interaction in supersonic flow and its numerical simulations[C]//Proc of the 12th Computational Fluid Dynamics Confe-rence. 2004. http://www.wanfangdata.com.cn/details/detail.do?_type=conference&id=5504614 |
| [19] |
周伟江, 马汉东, 杨云军, 等. 侧向控制喷流干扰流场特性数值研究[J]. 空气动力学学报, 2004, 22(4): 399-403. Zhou W J, Ma H D, Yang Y J, et al. Numerical study of interactive flowfields with lateral jet[J]. Acta Aerodynamica Sinica, 2004, 22(4): 399-403. DOI:10.3969/j.issn.0258-1825.2004.04.005 |
| [20] |
杨彦广, 刘君, 唐志共. 横向喷流干扰中的真实气体效应研究[J]. 空气动力学学报, 2006, 24(1): 28-33. Yang Y G, Liu J, Tang Z G. A study of real gas effects on lateral jet interaction[J]. Acta Aerodynamica Sinica, 2006, 24(1): 28-33. DOI:10.3969/j.issn.0258-1825.2006.01.006 |
| [21] |
孙得川, 杨建文, 白荣博. 喷流气体性质对导弹侧向喷流流场的影响[J]. 空气动力学学报, 2010, 28(6): 720-723. Sun D C, Yang J W, Bai R B. The effect of gas properties on the lateral jet interaction flowfield[J]. Acta Aerodynamica Sinica, 2010, 28(6): 720-723. DOI:10.3969/j.issn.0258-1825.2010.06.018 |
| [22] |
Kovar A. Schülein E. Effect of side jets in a supersonic flow measured and calculated on a flat plate and a generic missile configuration[R]. RTO-MP-AVT 135, 2006.
|
| [23] |
刘耀峰, 薄靖龙. 侧向喷流干扰流场建立与消退过程数值模拟[J]. 宇航学报, 2015, 36(8): 877-884. Liu Y F, Bo J L. Numerical simulation of establishment/vanishment process of lateral jet interaction flowfield[J]. Journal of Astronautics, 2015, 36(8): 877-884. DOI:10.3873/j.issn.1000-1328.2015.08.003 |
| [24] |
DeSpirito J. Effects of turbulence model on prediction of hot-gas lateral jet interaction in a supersonic crossflow[R]. AIAA 2015-1923, 2015.
|



