为追求更好的气动和隐身性能,新一代飞机多采用背负式大S弯进气道、嵌入式动力装置、扁平融合式布局。这种布局飞机的推进系统的进气口和排气口与上翼面高度融合,处于升力面上气流流线覆盖区域,进/排气效应会改变翼面流动特性和后体流动特性,对全机气动特性的影响规律较传统布局飞机有较大差别。因此,开展扁平融合式布局飞机的动力模拟试验,准确获取进/排气效应影响试验数据,对新研制飞机的气动布局设计和优化而言十分重要。
对于安装涡喷或涡扇发动机的飞机,进行进/排气模拟风洞试验的方法主要有引射式模拟器(EPES)法和涡轮动力模拟器(TPS)法[1]。TPS是目前最先进的动力模拟器,模拟真实程度高,但试验技术复杂,所需配套设施较多,比较适用于发动机外挂式飞机的动力模拟。如欧美国家在研制空客系列飞机和波音系列飞机过程中都先后在风洞中开展了大量的TPS短舱模拟试验[2-3],获得了较详细的进/排气影响结果。中国空气动力研究与发展中心、航空工业空气动力研究院等单位也发展和完善了TPS模拟技术[4-8],并进行了验证试验,但还未应用于具体型号研制。对于嵌入式动力装置的飞机,由于结构和空间的限制,利用TPS实现进/排气效应模拟的难度很大,国内外主要采用EPES来实现动力模拟[9-13]。该方法的优点是引射器结构相对简单,易安装于模型内部,模型气动载荷和进/排气影响产生的载荷可由天平直接测量。难点在于既要保证模型与动力模拟装置之间完全非接触,又要良好的密封且不能传入外力[11-12, 14],尤其是对配置多台嵌入式发动机的扁平式飞机模型,受到模型空间和发动机位置布局方式限制,要达到上述要求极其困难,不易得到干净的进/排气影响数据。
为解决EPES应用于扁平融合布局飞机多台嵌入式发动机模拟时存在的难题,本文建立了一种基于引射模拟器的整体式进/排气试验法及推/阻校准方法,即把模型与EPES融合为一整体进行进/排气试验,然后把模拟推进系统的部分从全机模型上剥离出来,在TPS校准箱中对其推/阻力进行校准,利用校准结果把气动载荷与推进系统作用力剥离开来,获得较真实的进/排气效应对全机气动特性的影响数据。
1 整体式进/排气引射模拟方法 1.1 试验模型选用一种典型的背负式进气道、嵌入式推进系统扁平融合布局飞机模型(见图 1),2台内置式引射器分别模拟左右两侧嵌入式发动机。推进系统部分包括进气道唇口、S弯进气道、引射器、尾喷管等部件。
|
| 图 1 典型模型示意图 Fig.1 Sketch map of a typical model |
在进气道与发动机气动分界面(简称进气道出口截面)处、尾喷管入口和出口截面处,按照一定规律布置若干总压探头、静压探头和热电偶温度传感器。
1.2 整体式进/排气引射模拟方法整体式进/排气引射模拟方法的重要特点是把引射器作为模型上的一个模块,与模型融合为一个整体。用引射器模块作为发动机模拟器,通过控制引射器工作压力来控制其引射流量,进而实现发动机不同工况的模拟,其中的引射气流和喷气气流同时模拟推进系统的进气效应和排气效应(见图 2)。
|
| 图 2 整体式进/排气模拟方法示意图 Fig.2 Scheme of integral inlet and jet simulation testing |
模型采用腹部斜撑,高压气源经通气管路、支撑系统、空气桥进入引射器,为引射器提供工作气源;空气桥用于消除通气管路与模型之间外力的传递影响;内置天平测量模型气动载荷+推进系统作用力。
图 3给出了获取进/排气效应影响数据的试验流程。在风洞中,第①项用进/排气模型按自然通气方式进行试验,获得6个分量的气动载荷数据;第③项用整体式进/排气模型,在控制不同进气流量系数(进入进气道的实际空气流量与通过进气道喉道面积的最大空气流量之比[15])时进行试验,获得6个分量的载荷数据,该数据中包含了推进系统作用力。为把试验结果中模型的气动载荷剥离出来,在进行第③项试验前,先用推/阻校准模型在TPS校准箱中进行第②项试验,获得与第③项对应流量系数时的推进系统作用力,对第③项试验结果进行修正。
|
| 图 3 试验流程图 Fig.3 Flow diagram of testing |
空气桥作为整体式进/排气试验技术的关键部件,设计时参考了文献[7],采用图 4所示布局。其使用了3个柔性节,其中2个横置,1个竖置。柔性节主要由金属波纹管和浮动环等组成,每个柔性节具有2个自由度,使得空气桥整体具有6个自由度。将空气桥和天平进行整体设计,空气桥的两端分别与天平的固定端和浮动端连接(见图 5),以保证空气桥具有合适刚度的前提下,既能输送高压空气,又对天平测力的影响很小且稳定,可通过校准进行修正。
|
| 图 4 空气桥布局示意图 Fig.4 Sketch map of air bridge layout |
|
| 图 5 空气桥/天平组合示意图 Fig.5 Air bridge-balance assembly |
对空气桥的校准,主要包括校准空气桥的附加刚度、内部通气压力、内部气体流动和温度变化等对天平的影响。校准方法为:(1)对于附加刚度的影响,通过在天平校准装置上对空气桥/天平组合体进行整体校准,在校准过程中附加了刚度影响,得到附加空气桥刚度影响的天平公式。(2)对于空气桥内部压力、内部气体流动和温度变化的影响,在试验前把空气桥、天平、通气支杆等安装于调试架上,通过改变系列通入空气桥的空气压力、流动速度和温度,分别获得天平载荷与之对应的变化关系式,在风洞试验数据处理中进行修正。
2 推/阻校准方法及风洞试验数据修正 2.1 气动/推进系统划分方法为把整体式进/排气试验所得载荷中的模型气动载荷与推进系统作用力剥离开,首先要确定飞机模型气动/推进系统的划分方法。
按照发动机推力的定义[16-17],兼顾发动机设计和飞机设计需求,把推力表示为上游无穷远和发动机出口站位之间的动量变化量,即:
(1)
ρ、V、A为发动机各站位处的气流密度、速度和流管截面积。如图 6所示,c站位和e站位分别代表发动机入口和出口处,∞站位代表上游无穷远处。
|
| 图 6 发动机推力定义的站位示意图 Fig.6 Engine station identification for thrust |
XN为标准净推力,等式右边第一项为总推力,第二项为冲压阻力。在整体式进/排气模拟方法中,天平测量得到的总载荷除了含模型的气动载荷外,还含公式(1)中的净推力对模型的作用力,需从天平测量总载荷中扣除。
按照公式(1)的定义,推进系统应包括∞站位与c站位之间的自由流管、进气道唇口和内流道、引射器、喷管。从全机模型上把相应部分剥离出来,命名为推/阻校准模型(见图 7)。
|
| 图 7 推/阻校准模型示意图 Fig.7 A model for thrust/drag calibrations |
校准时,在进气道前端安装喇叭嘴进行整流,模拟发动机∞站位与c站位之间的流管作用力。通过TPS校准箱的天平测量喇叭嘴+进气道+引射器+喷管的载荷,获得符合公式(1)定义规范的发动机推力。
2.2 推/阻校准方法如图 8所示,将推/阻校准模型安装于校准箱的模型支撑装置上,并保证模型纵轴线与箱体的纵轴线平行,模型喷口截面与箱体纵轴线垂直;模型进气道入口和喷管出口分别连通大气环境和校准箱内环境。通过控制标准高压文氏管来控制引射器的高压供气流量,进而改变引射器的引射流量,实现变进气流量模拟;控制校准箱内外压力差,模拟喷管处的环境气流流速。
|
| 图 8 推/阻校准试验示意图 Fig.8 Sketch map of thrust/drag calibrations |
通过改变系列需要模拟的进气流量,得到模型各参数的测量值与标定值之间的关系(见图 9)。校准时,在模拟发动机不同排气落压比NPR(喷管进口总压与出口静压之比)下,由TPS校准箱的标准高压文氏管、低压文氏管和校准箱专用天平,标出模型的进气流量mI, 标定、排气流量mJ, 标定值,以及推力Fx标等。同时,由压力测量系统和安装在模型内的总压探头、静压探头、温度传感器测量出相应条件下的压力参数、温度参数等,计算出模型进气流量mI, 测量、排气速度VJ, 测量、排气流量mJ, 测量的测量值。由公式(2)~(3)得到进气流量和排气流量的校准系数:CdI、CdJ。
|
| 图 9 校准参数示意图 Fig.9 Sketch map of parameter calibrations |
(2)
(3)
在校准过程中,通过校准箱的压力补偿室作用,保证在天平测量端附加产生一项与(pe-p∞)·Ae大小相等、方向相反的作用力;又由于校准箱试验中V∞=0,天平测量到的实际载荷为公式(1)右边的ρeVe2Ae一项。根据动量定理,得到排气速度校准系数CVJ:
(4)
在校准试验中,同时获得校准模型的力矩参考点(在该点上仅有作用力、没有力矩)和推力偏角,以用于全机风洞试验中扣除因推力轴线与模型体轴线不重合而引起的力和力矩。力矩参考点MRP和推力偏角εy、εz的计算公式为:
(5)
(6)
(7)
其中,x0为天平校准中心在校准模型坐标轴系中的轴向坐标,Fmz标和Fx标、Fy标、Fz标分别为天平所测的俯仰力矩、轴向力、法向力和侧向力载荷。
2.3 风洞试验数据修正方法 2.3.1 风洞试验中推进系统作用力的测量方法把推/阻校准模型复位到全机模型上,在中国空气动力研究与发展中心的8 m×6 m风洞内进行全机模型进/排气验证试验。给定不同NPR时(对应校准试验相应的NPR),测量出全机模型进气道出口截面和喷管出口截面处的总压p′t、静压p′s、总温T′t,根据校准试验相同算法,计算出全机模型进气流量m′I, 测量、排气流量m′J, 测量、排气速度V′J, 测量的值。利用校准系数,得到全机模型实际的进气流量mI、排气流量mJ和排气速度VJ:
(8)
(9)
(10)
收敛喷管的出口处气流为临界流动时,气流完全膨胀,此时pe=p∞;根据公式(1)计算净推力和总推力:
(11)
(12)
推力在法向和侧向上的分量为:
(13)
(14)
经坐标转换和轴系转换,把推进系统相对于校准模型力矩参考点MRP的作用力转化到全机模型体轴系下的轴向力、法向力和侧向力,分别表示为Fxt、Fyt、Fzt,用在公式(15)中进行数据修正。
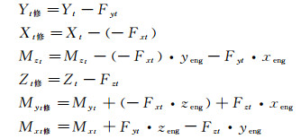
2.3.2 对推进系统作用力的修正方法全机进/排气风洞试验时,由天平测量出模型体轴系下各载荷分量Xt、Yt、Zt、Mzt、Myt、Mxt,经公式(15)对推进系统作用力影响进行修正。
其中,下标带“修”的是扣除推进系统作用力影响后的各载荷分量;xeng、yeng、zeng为校准模型的力矩参考点MRP在全机模型体轴系内的坐标值;Fxt为推力方向,与模型Xt的定义方向相反。
(15)
最后,对修正后的载荷无量纲化,获得带进/排气影响的试验数据。不同进气流量(或不同落压比)下的进/排气试验结果与对应状态无动力试验结果的差值,即为不同流量的进排气影响的增量。
3 典型试验结果 3.1 校准试验结果及分析图 10给出了落压比NPR在1.1~1.8之间(对应不同的进气流量)变化时,各主要参数的校准结果。流量和速度的校准系数都小于1,CdI重复性精度在0.05%内,CdJ和CVJ重复性精度均在0.2%内;在不同NPR值时,CdI值基本保持不变,CdJ和CVJ值随NPR增大呈减小趋势。
|
| 图 10 主要参数校准曲线 Fig.10 Calibration curves of primary parameters |
校准系数小于1表明:在模型上安装压力和温度测量探头,通过测量的压力值和温度计算出来的流量和速度值比实际值偏大。这是由于模型进气流量、排气流量和排气速度的测量值都是通过测量进气道出口截面和喷管出口处的有限数量离散点的总压、静压和总温,通过经典方法计算得到的。进气道出口截面处的流动情况,受进气道唇口形状、唇口在模型翼面上的位置、进气道内流道的型面特征等因素的影响,存在流场畸变情况,有限数量的离散点不能全面反映该测量截面处的流动情况,因而测量值与真实值之间有差值。但在同一个NPR值下,CdI重复性测量精度在0.05%内,说明在固定试验条件下,测量截面处的流场畸变主要表现为稳态的,有较好的稳定性,进气流量测量值与真实值之间存在的差值也是稳定的。
喷管出口截面的流动情况受喷管内流道长度、型面特征、喷管口在模型翼面的位置、引射器高压射流与被引射流的掺混程度等因素影响,有限数量的离散点不能全面反映该测量截面处的流动情况,是测量值与真实值之间存在差值的主要原因;NPR变化时,引射器高压射流的强度和分布特征都有变化,使得测量截面处的流场分布发生变化,引起CdJ和CVJ测量值随NPR值增大有明显变化。但在同一个NPR值下,CdJ和CVJ重复性测量精度都在0.2%内,有良好的稳定性。
可见,在固定NPR值条件下,进气道出口截面处和喷管出口截面处的流场具有良好的可重复性,通过校准得到的CdI、CdJ和CVJ值是可靠的。
3.2 风洞验证试验结果及分析利用校准试验结果,对全机模型整体式进/排气试验的测量载荷进行了推进系统作用力的扣除修正,得到有进/排气影响的试验结果,并与计算结果进行了对比。
图 11为整体式进/排气风洞试验的阻力系数在修正推进系统推力影响前后的典型结果。其中,“进排气,未修正”曲线为带进排气试验的原始数据曲线;“进排气,修正后”曲线为扣除推进系统推力后的结果曲线。计算结果是在相同的模型上,给定与进/排气风洞试验相同的进气参数、排气参数和外流等条件下计算得到的。
|
| 图 11 进/排气效应对阻力的影响典型结果 Fig.11 Typical drag characteristic with inlet and jet-effects testing |
未进行推进系统作用力扣除修正时,试验所得的阻力是一项较大的负值,是由于按照整体式进/排气引射模拟试验方法,推进系统的推力和模型的气动载荷一起由天平测得,推力方向与模型气动阻力方向相反,其绝对值远大于阻力,故表现为较大的负阻力。按本文的方法,用推/阻校准结果对进/排气试验结果进行推进系统作用力修正后,得到的结果在规律性和量值上同计算结果在失速前吻合较好,进/排气效应对全机气动特性的影响规律与设计预期目标一致,证明了整体式进/排气引射模拟试验方法及推/阻校准方法的合理性。
4 结论(1) 扁平融合布局飞机整体式进/排气模拟试验方法及推/阻校准方法可较准确地校准进气流量、排气流量和排气速度,实现整体式进/排气风洞试验测量载荷数据中模型气动载荷与推进系统作用力之间的有效剥离,数据修正方法合理。
(2) 利用传统方法,通过测量离散点流动参数得到飞机的进气流量、排气流量和排气速度与实际值存在误差,影响进/排气效应风洞试验结果准度,需要对测量结果进行校准修正。
| [1] |
李周复. 风洞试验手册[M]. 北京: 航空工业出版社, 2015. Li Z F. Handbook of wind tunnel test[M]. Beijing: Aeronautics Industry Press, 2015. |
| [2] |
Burgsmüller W, Castan C, Kooi J W, et al. Recent developments in low-speed TPS-testing for engine integration drag and installed thrust reverser simulation[R]. Aerospace paper, 1992.
|
| [3] |
Bousquet J M. Survey of engine integration testing in ONERA wind tunnels[R]. AIAA-2005-3705, 2005.
|
| [4] |
徐铁军, 郝卫东, 李聪, 等. 气动院校准箱工作原理分析及TPS校准目标量的获得方法[J]. 流体力学实验与测量, 2004, 18(4): 99-104. Xu T J, Hao W D, Li C, et al. Analysis of operative principles of calibration tank in CARIA and acquired methods of objective parameters in TPS calibration[J]. Experiments and Measurements in Fluid Mechanics, 2004, 18(4): 99-104. DOI:10.3969/j.issn.1672-9897.2004.04.021 |
| [5] |
芮伟, 易凡, 杜宁, 等. 2.4 m跨声速风洞TPS测控系统设计与实现[J]. 实验流体力学, 2008, 22(4): 72-75. Rui W, Yi F, Du N, et al. Design and realization of TPS measurement and control system for 2.4 m transonic wind tunnel[J]. Journal of Experiments in Fluid Mechanics, 2008, 22(4): 72-75. DOI:10.3969/j.issn.1672-9897.2008.04.016 |
| [6] |
陶洋, 刘光远, 张兆, 等. 高速风洞带动力模拟试验TPS短舱唇口设计[J]. 航空动力学报, 2013, 28(5): 1081-1085. Tao Y, Liu G Y, Zhang Z, et al. Engine nacelle lip design for high speed TPS wind tunnel tests[J]. Journal of Aerospace Power, 2013, 28(5): 1081-1085. |
| [7] |
章荣平, 王勋年, 黄勇, 等. 低速风洞全模TPS试验空气桥的设计与优化[J]. 实验流体力学, 2012, 26(6): 48-52. Zhang R P, Wang X N, Huang Y, et al. Design and optimization of the air bridge for low speed full-span TPS test[J]. Journal of Experiments in Fluid Mechanics, 2012, 26(6): 48-52. DOI:10.3969/j.issn.1672-9897.2012.06.011 |
| [8] |
章荣平, 王勋年, 黄勇. 发动机动力模拟风洞试验中的空气桥技术[J]. 航空动力学报, 2015, 30(4): 910-914. Zhang R P, Wang X N, Huang Y. Air bridge technology for engine power simulate test in wind tunnel[J]. Journal of Aerospace Power, 2015, 30(4): 910-914. |
| [9] |
Robinson C E. Evaluation of ejector-powered simulator at transonic Mach numbers[R]. AIAA-79-1165, 1979.
|
| [10] |
郝卫东. 高速风洞发动机进/排气动力模拟试验技术[J]. 北京航空航天大学学报, 2005, 31(4): 459-463. Hao W D. Simulate test technique for engine air intake and exhaust in high speed wind tunnel[J]. Journal of Beijing University of Aeronautics and Astronautics, 2005, 31(4): 459-463. DOI:10.3969/j.issn.1001-5965.2005.04.020 |
| [11] |
王勋年, 巫朝君, 陈洪, 等. 战斗机推进系统模拟低速风洞试验技术研究[J]. 实验流体力学, 2011, 25(3): 46-49. Wang X N, Wu C J, Chen H, et al. Investigation on test technique of fighters with propulsion simulation in low wind tunnel[J]. Journal of Experiments in Fluid Mechanics, 2011, 25(3): 46-49. DOI:10.3969/j.issn.1672-9897.2011.03.011 |
| [12] |
郁新华, 陶于金, 张琳. 飞翼布局无人机进/排气效应风洞试验研究[J]. 空气动力学学报, 2013, 31(4): 494-497. Yu X H, Tao Y J, Zhang L. Wind tunnel experimental research on effect of air intake and exhaust on the aerodynamics of flying wing UAV[J]. Acta Aerodynamica Sinica, 2013, 31(4): 494-497. |
| [13] |
Grellmann H W. B-2 aerodynamic design[R]. AIAA-90-1802, 1990.
|
| [14] |
Smith C L, Riddle T R. Jet effects testing considerations for the next-generation long-range strike aircraft[R]. AIAA-2008-1621, 2008.
|
| [15] |
陈嵩禄, 云梦东, 刘日明, 等. 飞机设计手册-动力装置系统设计[M]. 北京: 航空工业出版社, 2006.
|
| [16] |
von Geyr H Frhr, Rossow C C. A correct thrust determination method for turbine powered simulators in wind tunnel testing[R]. AIAA-2005-3707, 2005.
|
| [17] |
塞登J, 戈德史密斯E L.进气道空气动力学[M].骆长天, 涂鼎立, 程大光, 等译.沈阳: 航空工业部第六〇一研究所, 1992.
|



