2. 厦门大学 航空航天学院, 福建 厦门 361102;
3. 福建省等离子体与磁共振研究重点实验室, 福建 厦门 361102
2. School of Aerospace Engineering, Xiamen University, Xiamen Fujian 361102, China;
3. Fujian Provincial Key Laboratory of Plasma and Magnetic Resonance, Xiamen Fujian 361102, China
等离子体流动控制已经发展多年,目前已成为最具有潜力的流动控制技术之一。等离子体产生方式主要包括:介质阻挡放电(DBD,Dielectric Barrier Discharge)、火花放电、电弧放电[1-3]。其中,火花放电等离子体合成射流是一种新型的基于等离子体气动激励的主动流动控制装置,由美国约翰·霍普金斯大学应用物理实验室于2003年提出[1]。
近十几年来,约翰·霍普金斯大学[1-6]、佛罗里达农工大学[5-6]、佛罗里达州立大学[5-7]、德克萨斯州立大学[8-9]、新泽西州立罗格斯大学[10-11]、NASA[11]、伊利诺伊大学[12-13]、法国图卢兹大学及宇航研究中心(ONERA)[14-16]、韩国Ulsan大学[17]、意大利那不勒斯费德里克二世大学[18]、荷兰代尔夫特理工大学[19],以及北京航空航天大学[20-21]、西北工业大学[22]、南京航空航天大学[23-26]、空军工程大学[27-30]、国防科技大学[31-35]、航天工程大学[36]、厦门大学[37-39]、航空工业空气动力研究院[37, 39]等单位相继开展了火花放电等离子体合成射流的理论分析、PIV(Particle Image Velocimetry,粒子图像测速法)和纹影实验以及数值模拟研究,并在超声速来流下应用火花放电等离子体合成射流进行了流动控制实验研究[7-9, 13, 28, 35]。而低速来流主动流动控制应用研究尚处于起步阶段。法国宇航中心Caruana等[40]在低速来流下进行NACA0015二维翼型流动控制风洞实验研究,表明在大迎角下等离子体合成射流可以推迟吸力面流动分离。航空工业空气动力研究院和厦门大学[37, 39]在NACA0021二维翼型上进行了主动流动控制风洞实验研究,表明等离子体合成射流不仅可在大迎角下抑制翼型表面流动分离,还可在小迎角下改变模型的气动力力矩。空军工程大学李洋等[41]在高升力二维翼型上进行了低速风洞实验研究,也表明等离子体合成射流可以有效抑制流动分离,但抑制分离的作用随来流速度增加而减弱。上述研究工作主要集中于二维模型,关于三维模型流动控制的研究鲜有文献报道。
本文将等离子体合成射流应用于飞翼布局模型开展三维主动流动实验研究。在低速来流下,探究等离子体合成射流的不同布局对飞翼模型气动力和气动力矩的作用,并采用PIV技术测量模型表面流场分布,研究等离子体合成射流流动控制的机理。
1 实验设备 1.1 风洞实验在航空工业空气动力研究院FL-5单回流式开口低速风洞中完成(风洞主要参数见表 1)。实验时,采用内式六分量天平测量模型的气动力和气动力矩;测试前采用DBM-01标模对风洞进行校准,所测的六分量力符合国军标要求。
| Parameter | Value |
| Cross-section diameter/m | 1.5 |
| Test-section length/m | 1.95 |
| Cross-sectional area/m2 | 1.76625 |
| Design speed/(m·s-1) | 53 |
| Mean turbulence | 0.19% |
| Static pressure gradient | 0.0055 |
| Drop coefficient | 1.0 |
以飞翼布局模型作为实验模型,其最大弦长460mm,展长1200mm,如图 1所示。模型正装于风洞中,如图 2所示。
|
| 图 1 实验模型尺寸及激励器布置示意图 Fig.1 Schematic diagram of experimental model size and actuator arrangement |
|
| 图 2 飞翼布局模型安装图 Fig.2 Flying wing model set-up in wind tunnel |
等离子体合成射流实验系统主要包括补气式等离子体合成射流激励器、高压脉冲电源、AC/AC调压器、皮托管测速计和示波器,如图 3所示。
|
| 图 3 实验系统简图 Fig.3 Sketch of experimental setup |
以AC/AC调压器调节高压脉冲信号幅值,以示波器(泰克DPO2012)测量驱动信号频率。实验中加载的电参数如下:高压脉冲信号幅值U为0~50kV,频率f为20Hz~5kHz,占空比τ为5%~50%。
1.4 等离子体合成射流激励器等离子体合成射流激励器由陶瓷腔体和盖板组成。陶瓷腔体由2个高温陶瓷放电腔体(单个腔体长16mm、宽5mm、深8mm)组成,如图 4所示。6个射流孔为1组,分别距前缘0、5、10mm(与翼面水平面夹角分别为0°、30°、45°);激励器上的覆盖板(以耐高温塑料制成)对应3个激励器的6个放电腔体开有6个射流孔。如图 5所示。
|
| 图 4 双腔等离子体激励器结构图 Fig.4 Structure diagram of two-cavity plasma actuator |
|
| 图 5 盖板及射流孔位置示意图 Fig.5 Schematic diagram of cover plate and jet hole location |
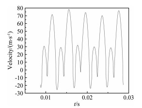
射流孔有1.0、1.5mm两种孔径,图 6和7分别为2种孔径射流孔出口速度随时间的变化曲线。
|
| 图 6 1.0mm射流孔出口速度 Fig.6 Exit velocity of 1.0 mm jet hole |
|
| 图 7 1.5mm射流孔出口速度 Fig.7 Exit velocity of 1.5 mm jet hole |
在激励器腔体内插入阳极、阴极,阳极接高压正极,阴极接地线。如图 8所示,1个射流周期包括3个阶段:当阴极、阳极间的电压达到腔体内气体击穿电压,腔体内发生火花放电,产生等离子体(阶段1);放电伴随的高温加热腔体内气体,使其温度和压力快速升高,由出口快速喷出,形成可用于流场控制的气体射流(阶段2);射流瞬间完成,导致腔体内产生负压、温度下降,外部气体乘虚充填腔体,准备形成下一次放电和射流(阶段3)。激励器放电产生于腔体中,克服了电弧放电在流场中容易被气流熄灭的问题,激励更加稳定、可控。
|
| 图 8 等离子体合成射流工作过程 Fig.8 Stages of the plasma synthetic jet operating cycle |
为研究等离子体合成射流对模型表面流场的作用机理,采用PIV技术测量模型表面流场分布。PIV测量剖面在4号激励器位置,沿展向距翼尖319mm,如图 1所示。等离子体合成射流激励器布置于距前缘0mm处,孔径1.5mm。
实验采用集成式双Nd:YAG激光器作为成像光源,单脉冲能量200mJ,产生波长为532nm的绿光。片光元件由柱面镜和球面镜组成。以激光脉冲同步器控制图像捕捉和激光脉冲次序。互/自相关CCD摄像机为PIVCAM 13-8,灰度级分辨率14bit,图像分辨率2048pixel×2048pixel,图像采集速率7帧/s。帧抓取器读取CCD摄像机的数字图像到内存,由Insight分析软件处理,并以Tecplot进行后处理。
2 风洞实验结果及分析在自由来流速度30m/s时,分别将激励器布置于飞翼模型展向、弦向的不同位置,以考察激励器布局对气动力及气动力矩的影响;调节电源激励频率,考察电参数对流动控制效果的影响;采用PIV流场测试技术,研究等离子体合成射流对气动特性产生作用的流动控制机理。
2.1 等离子体合成射流布局对飞翼模型气动力及力矩的影响 2.1.1 等离子体合成射流单侧控制研究在飞翼模型左侧翼面布置8个激励器(距前缘0mm,孔径1.0mm),分别在激励器关闭和开启状态下进行实验。表 2给出了单侧布置激励器的参数:Base为基准状态,即激励器关闭状态;Case Ⅰ为左侧翼面布置8个激励器、16个射流同时开启的状态。
| Case | Voltage/kV | Frequency/Hz | Duty cycle | Left wing actuator position |
| Base | — | — | — | 1~8 |
| Case Ⅰ | 27.5 | 250 | 20 | 1~8 |
图 9、10分别为射流开启和关闭状态下,不同迎角α时飞翼模型升力系数CL和滚转力矩系数Cl的变化。从图 9可以看出,激励器打开时,失速迎角提高了2°,最大升力系数增加了约5.4%。在小迎角范围内,射流对升力系数没有影响;而在失速迎角附近,升力系数有所增加,其原因在于:布置在左侧翼面的射流对翼面流动分离的控制,增加了左侧翼面的升力系数,模型产生了向右的滚转力矩。
|
| 图 9 升力系数CL曲线 Fig.9 The chart of lift coefficient CL |
|
| 图 10 滚转力矩系数Cl曲线 Fig.10 The chart of roll moment coefficient Cl |
从图 10可以看出,在迎角大于14°时,射流开启后,滚转力矩系数产生了显著变化;在迎角为15°和21°时,射流开启后,滚转力矩的极性发生反转,由左滚变为右滚,滚转力矩系数变化量分别为0.004和0.009。而在小迎角范围内(-4°~14°),射流对滚转力矩系数的影响较弱。
2.1.2 等离子体合成射流弦向位置的影响在模型左侧机翼翼面,沿弦向不同位置布置激励器,考察其对控制效果的影响。激励器分别距离前缘0、5和10mm,对应Case Ⅱ~Ⅳ这3种状态;在每种状态下,都布置8个激励器(16个射流孔,孔径1.0mm)。
从图 11可以看出,距前缘0mm的激励器收益优于距前缘10mm的激励器收益(ΔCL、ΔCl分别表示开启和关闭射流后的升力系数差值、滚转力矩系数差值)。激励器离前缘越近,控制效果越好,距前缘0mm的激励器控制效果最好。
|
| 图 11 不同弦向位置的等离子体合成射流对升力系数的作用ΔCL Fig.11 The effect of plasma synthetic jet with different chord positions on lift coefficient ΔCL |
从图 12可以看出,距前缘10mm的激励器收益优于距前缘0mm的激励器收益。在20°迎角处,距前缘0mm的激励器对滚转力矩控制效果最好。
|
| 图 12 不同弦向位置的等离子体合成射流对滚转力矩系数的作用ΔCl Fig.12 The effect of plasma synthetic jet with different chord positions on roll moment coefficient ΔCl |
在模型两侧机翼,沿展向布置不同数量的激励器,考察其对控制效果的影响。如表 3所示,Case Ⅴ~Ⅷ状态分别是在两侧机翼各均布了4、3、2、1个激励器(射流孔孔径1.5mm),位置如图 1所示。
| Case | Voltage/kV | Frequency/Hz | Duty cycle | Left wing actuator position | Right wing actuator position |
| Base | OFF | — | — | — | — |
| Case Ⅴ | 27.5 | 250 | 20 | 2, 4, 6, 8 | 2, 4, 6, 8 |
| Case Ⅵ | 27.5 | 250 | 20 | 6, 7, 8 | 6, 7, 8 |
| Case Ⅶ | 27.5 | 250 | 20 | 3, 6 | 3, 6 |
| Case Ⅷ | 27.5 | 250 | 20 | 2 | 2 |
图 13、14反映了激励器不同展向位置、射流开启或关闭状态下的升力系数和滚转力矩系数变化。从图 13可以看出,在两侧展向第2、4、6、8号位置布置激励器,对升力系数产生的作用最明显,失速迎角由17°增加到19°,最大升力系数提高8.8%。而在其他3种状态下(Case Ⅵ~Ⅷ),失速迎角没有变化,但最大升力系数略有增加,分别为6.0%、4.2%、2.1%。从总体趋势上看,布置的激励器越多,对模型的升力特性改善作用越明显。
|
| 图 13 风速30m/s时升力系数CL Fig.13 The chart of lift coefficient CL with 30m/s of wind speed |
|
| 图 14 风速30m/s时滚转力矩系数Cl Fig.14 The chart of roll moment coefficient Cl with 30m/s of wind speed |
图 14表明,在大迎角下(α≥15°),射流关闭时,滚转力矩系数在-0.006~0之间,而当两侧布置激励器数量达到4个时,能够使滚转力矩系数在-0.003~0范围内变化,说明此时等离子体合成射流起到了增加飞翼模型横向稳定性的作用。
其中,在Case Ⅵ状态下(在靠近左右翼尖位置分别布置3个激励器),能将滚转力矩系数变化范围减小66.7%,控制在-0.002~0之间,控制效果最佳,甚至优于Case Ⅴ状态(两侧机翼分别均匀布置4个激励器)。其原因是:靠近翼尖布置,射流离模型中线更远,其产生的升力变化的作用力臂更长,对滚转力矩的作用更明显。但是,仅在2号位置布置激励器时(Case Ⅷ),滚转力矩系数出现了更大的波动(在-0.009~0.004之间变化)。
从图 14还可以看出,在小迎角下(α≤13°),射流开启对模型滚转力矩系数的影响较小。
对比Case Ⅴ、Ⅵ和Ⅶ,布置在翼尖处的激励器控制效果不如均匀布置的激励器效果,这说明等离子体合成射流在三维效应或回流区比较明显时,不能有效引导主流恢复压力梯度、减小分离。
2.2 等离子体合成射流流动控制机理研究以上测力风洞实验,从宏观上验证了通过合理布置等离子体合成射流,能够对飞翼模型的升力、滚转力矩特性产生显著作用。本节通过PIV流场测试技术,从流动结构上考察等离子体合成射流流动控制的内在物理机制。PIV测量剖面选在展向中部的4号激励器位置。
图 15、16分别为迎角为16°时、射流开启和关闭状态下模型表面的时均流场(图中,xc为从后缘起始的弦向位置,y+为距离测量水平线的翼面参考高度)。
|
| 图 15 迎角16°时不带控制的流场 Fig.15 The flow chart without control at angle of attack 16° |
|
| 图 16 迎角16°时带控制的流场 Fig.16 The flow chart with control at angle of attack 16° |
对于小迎角下的飞翼模型,尽管射流出口方向逆着自由来流,但从图 15、16仍可以看出,射流所产生的控制效果加速了前缘气流流动,减小了机翼后缘的分离区。
对比图 17、18,当迎角为18°时,在失速迎角附近,等离子体合成射流对前缘的加速效果不明显,后缘分离区也未见明显减小。
|
| 图 17 迎角18°时激励器未开启 Fig.17 The actuators off at angle of attack 18° |
|
| 图 18 迎角18°时激励器开启 Fig.18 The actuators on at angle of attack 18° |
对比图 19、20可知,当迎角增加到20°时,在失速迎角之后,射流在前缘对气流的扰动、对分离区厚度的影响不明显;但可以看到速度分布有较大差异,当激励器开启后,分离区的涡强明显减弱。虽然等离子体合成射流无法改变气流从前缘分离的本质,但是能够明显减小后缘流场的分离区厚度,说明等离子体合成射流通过增加雷诺应力的方式,加强了各层流动之间的能量交换,而不是单纯依靠恢复前缘压力梯度来对流动进行控制。
|
| 图 19 迎角20°时激励器未开启 Fig.19 The actuators off at angle of attack 20° |
|
| 图 20 迎角20°时激励器开启 Fig.20 The actuators on at angle of attack 20° |
(1) 在飞翼模型左弦前缘布置8个等离子体合成射流激励器,能够有效改善其气动特性,其中失速迎角提高2°,最大升力系数增加约5.4%;在迎角为15°和21°时,滚转力矩的极性发生反转,由左滚变为右滚,滚转力矩系数变化量最高达到0.009。
(2) 沿弦向,射流位置离前缘越近,控制效果越好,距前缘0mm的激励器控制效果最好。沿展向,布置的射流越多,对模型升力特性的改善作用越明显,布置方式以均布为优;在左、右侧机翼第2、4、6、8号位置布置射流,对升力系数的作用最明显,最大升力系数提高8.8%。
(3) 在飞翼模型左右弦均布置等离子体合成射流能够增强其横向稳定性。在靠近左右翼尖位置布置3个激励器,控制效果最佳,能将滚转力矩系数波动范围减小66.7%,控制在-0.002~0之间。
(4) 等离子体合成射流激励器在失速迎角前后的作用机理不同。在小迎角下,射流在前缘起使转捩提前的作用,并加速前缘气流流动,使层流的掺混效应加剧,增加雷诺应力;但距分离区较远,射流微弱的扰动效果并不能改善小迎角下的飞翼模型气动特性。而在失速迎角附近,气流从前缘已开始分离,射流加速分离区的流动,增加雷诺应力,加剧掺混效应,从而增加气流的粘性,减小分离区的厚度。因此,等离子体合成射流在气流分离线附近控制效果明显。
| [1] |
Grossman K R, Cybyk B Z, VanWie D M, et al. SparkJet actuators for flow control[R]. AIAA-2003-0057, 2003.
|
| [2] |
Grossman K R, Cybyk B Z, Rigline M C, et al. Characteri-zation of SparkJet actuators for flow control[R]. AIAA-2004-0089, 2004.
|
| [3] |
Cybyk B Z, Simon D H, Land H B Ⅲ. Experimental characterization of a supersonic flow control actuator[R]. AIAA-2006-0478, 2006.
|
| [4] |
Haack S J, Land H B, Cybyk B, et al. Characterization of a high-speed flow control actuator using digital speckle tomogra-phy and PIV[R]. AIAA-2008-3759, 2008.
|
| [5] |
Popkin S H, Cybyk B Z, Land H B Ⅲ, et al. Recent performance-based advances in SparkJet actuator design for supersonic flow applications[R]. AIAA-2013-0322, 2013.
|
| [6] |
Popkin S H, Cybyk B Z, Foster C H, et al. Experimental estimation of SparkJet efficiency[J]. AIAA Journal, 2016, 54(6): 1831-1845. DOI:10.2514/1.J052694 |
| [7] |
Emerick T, Ali M Y, Foster C, et al. SparkJet characteri-zations in quiescent and supersonic flowfields[J]. Experiments in Fluids, 2014, 55(12): 1858. DOI:10.1007/s00348-014-1858-6 |
| [8] |
Narayanaswamy V, Shin J, Clemens N T, et al. Investigation of plasma-generated jets for supersonic flow control[R]. AIAA-2008-0285, 2008.
|
| [9] |
Greene B R, Clemens N T, Micka D. Control of shock boundary layer interaction using pulsed plasma jets[R]. AIAA-2013-0405, 2013.
|
| [10] |
Anderson K, Knight D D. Characterization of single pulse of plasma jet[R]. AIAA-2012-0188, 2012.
|
| [11] |
Golbabaei-Asl M, Knight D, Wilkinson S. Noveltechnique to determine SparkJet efficiency[J]. AIAA Journal, 2015, 53(2): 501-504. DOI:10.2514/1.J053034 |
| [12] |
Reedy T M, Kale N V, Dutton J C, et al. Experimental characterization of a pulsed plasma jet[J]. AIAA Journal, 2013, 51(8): 2027-2031. DOI:10.2514/1.J052022 |
| [13] |
Ostman R J, Herges T G, Craig D J, et al. Effect on high-speed boundary-layer characteristics from plasma actuators[R]. AIAA-2013-0527, 2013.
|
| [14] |
Belinger A, Naudé N, Cambronne J P, et al. Plasma synthetic jet actuator:electrical and optical analysis of the discharge[J]. Journal of Physics D:Applied Physics, 2014, 47(34): 345202. DOI:10.1088/0022-3727/47/34/345202 |
| [15] |
Sary G, Dufour G, Rogire F, et al. Modeling and parametric study of a plasma synthetic jet for flow control[J]. AIAA Journal, 2014, 52(8): 1591-1603. DOI:10.2514/1.J052521 |
| [16] |
Chedevergne F, Léon O, Bodoc V, et al. Experimental and numerical response of a high-Reynolds-number M=0.6 jet to a plasma synthetic jet actuator[J]. International Journal of Heat and Fluid Flow, 2015, 56: 1-15.
|
| [17] |
Shin J. Characteristics of high speed electro-thermal jet activated by pulsed DC discharge[J]. Chinese Journal of Aeronautics, 2010, 23(5): 518-522. DOI:10.1016/S1000-9361(09)60249-1 |
| [18] |
Chiatto M, de Luca L. Numerical and experimental frequency response of plasma synthetic jet actuators[R]. AIAA-2017-1884, 2017.
|
| [19] |
Zong H H, Kotsonis M. Effect of slotted exit orifice on performance of plasma synthetic jet actuator[J]. Experiments in Fluids, 2017, 58: 17. DOI:10.1007/s00348-016-2299-1 |
| [20] |
张攀峰, 王晋军, 施威毅, 等. 等离子体激励低速分离流动控制实验研究[J]. 实验流体力学, 2007, 21(2): 35-39. Zhang P F, Wang J J, Shi W Y, et al. Experimental study on the separation control by plasma actuator in subsonic flow[J]. Journal of Experiments in Fluid Mechanics, 2007, 21(2): 35-39. DOI:10.3969/j.issn.1672-9897.2007.02.008 |
| [21] |
Wang J, Choi K S, Feng L H, et al. Recent developments in DBD plasma flow control[J]. Progress in Aerospace Sciences, 2013, 62: 52-78. DOI:10.1016/j.paerosci.2013.05.003 |
| [22] |
王健磊, 孟宣市, 李华星, 等. 等离子体控制下前体分离涡的研究[J]. 空气动力学学报, 2015, 33(6): 740-746. Wang J L, Meng X S, Li H X, et al. Study on forebody separation vortices using plasma actuations[J]. Acta Aerodyna-mica Sinica, 2015, 33(6): 740-746. |
| [23] |
单勇, 张靖周, 谭晓茗. 火花型合成射流激励器流动特性及其激励参数数值研究[J]. 航空动力学报, 2011, 26(3): 551-557. Shan Y, Zhang J Z, Tan X M. Numerical study of the flow characteristics and excitation parameters for the SparkJet actuator[J]. Journal of Aerospace Power, 2011, 26(3): 551-557. |
| [24] |
朱晨彧.高性能零质量射流激励器试验研究与参数优选[D].南京: 南京航空航天大学, 2012. Zhu C Y. Experimental research and parameters optimization on high-performance zero-mass-jet actuator[D]. Nanjing: Nanjing University of Aeronautics and Astronautics, 2012. http://www.wanfangdata.com.cn/details/detail.do?_type=degree&id=D280754 |
| [25] |
程林, 孙姝, 谭慧俊, 等. 直缝式等离子体合成射流激励器特性的实验研究[J]. 推进技术, 2017, 38(9): 1937-1942. Cheng L, Sun S, Tan H J, et al. Experimental study on characteristics of plasma synthetic actuator with normal slot[J]. Journal of Propulsion Technology, 2017, 38(9): 1937-1942. |
| [26] |
吕元伟, 单勇, 张靖周, 等. 火花型激励合成射流瞬时流场测试[J]. 航空动力学报, 2017, 32(10): 2371-2377. Lyu Y W, Shan Y, Zhang J Z, et al. Measurement on instantaneous flow fields of a spark-excited synthetic jet[J]. Journal of Aerospace Power, 2017, 32(10): 2371-2377. |
| [27] |
刘朋冲, 李军, 贾敏, 等. 等离子体合成射流激励器的流场特性分析[J]. 空军工程大学学报:自然科学版, 2011, 12(6): 22-25. Liu P C, Li J, Jia M, et al. Investigation on flow filed of the plasma synthetic jet device[J]. Journal of Air Force Engineering University:Natural Science Edition, 2011, 12(6): 22-25. |
| [28] |
Jin D, Cui W, Li Y H, et al. Characteristics of pulsed plasma synthetic jet and its control effect on supersonic flow[J]. Chinese Journal of Aeronautics, 2015, 28(1): 66-76. DOI:10.1016/j.cja.2014.12.012 |
| [29] |
宗豪华, 吴云, 宋慧敏, 等. 等离子体合成射流的理论模型与重频激励特性[J]. 航空学报, 2015, 36(6): 1762-1774. Zong H H, Wu Y, Song H M, et al. Analytical model and repetitive working characteristic of plasma synthetic jet[J]. Acta Aeronautica et Astronautica Sinica, 2015, 36(6): 1762-1774. |
| [30] |
Zhang Z B, Wu Y, Jia M, et al. The multichannel discharge plasma synthetic jet actuator[J]. Sensors and Actuators A:Physical, 2017, 253: 112-117. DOI:10.1016/j.sna.2016.11.011 |
| [31] |
Wang L, Luo Z B, Xia Z X, et al. Review of actuators for high speed active flow control[J]. Science China Technological Sciences, 2012, 55(8): 2225-2240. DOI:10.1007/s11431-012-4861-2 |
| [32] |
王林, 罗振兵, 夏智勋, 等. 等离子体合成射流能量效率及工作特性研究[J]. 物理学报, 2013, 62(12): 125207. Wang L, Luo Z B, Xia Z X, et al. Energy efficiency and performance characteristics of plasma synthetic jet[J]. Acta Physica Sinica, 2013, 62(12): 125207. DOI:10.7498/aps.62.125207 |
| [33] |
Wang L, Xia Z X, Luo Z B, et al. Three-electrode plasma synthetic jet actuator for high-speed flow control[J]. AIAA Journal, 2014, 52(4): 879-882. DOI:10.2514/1.J052686 |
| [34] |
杨瑞, 罗振兵, 夏智勋, 等. 高超声速导弹等离子体合成射流控制数值研究[J]. 航空学报, 2016, 37(6): 1722-1732. Yang R, Luo Z B, Xia Z X, et al. Numerical study of plasma synthetic jet control on hypersonic missile[J]. Acta Aeronautica et Astronautica Sinica, 2016, 37(6): 1722-1732. |
| [35] |
Zhou Y, Xia Z X, Luo Z B, et al. Effect of three-electrode plasma synthetic jet actuator on shock wave control[J]. Science China Technological Sciences, 2017, 60(1): 146-152. DOI:10.1007/s11431-016-0248-4 |
| [36] |
李亮, 李修乾, 车学科, 等. 等离子体增强射流掺混的激励参数影响研究[J]. 实验流体力学, 2018, 32(5): 41-47. Li L, Li X Q, Che X K, et al. Study on the influence of incentive parameters on plasma-enhanced jet mixing[J]. Journal of Experiments in Fluid Mechanics, 2018, 32(5): 41-47. |
| [37] |
Liu R B, Niu Z G, Wang M M, et al. Aerodynamic control of NACA 0021 airfoil model with spark discharge plasma synthetic jets[J]. Science China Technological Sciences, 2015, 58(11): 1949-1955. DOI:10.1007/s11431-015-5881-5 |
| [38] |
刘汝兵, 王萌萌, 郝明, 等. 补气式等离子体射流发生器实验研究[J]. 航空学报, 2016, 37(6): 1713-1721. Liu R B, Wang M M, Hao M, et al. Experimental research on air supplementing type plasma synthetic jet generator[J]. Acta Aeronautica et Astronautica Sinica, 2016, 37(6): 1713-1721. |
| [39] |
刘汝兵, 牛中国, 王萌萌, 等. 等离子体射流控制机翼气动力矩的实验研究[J]. 工程力学, 2016, 33(3): 232-238. Liu R B, Niu Z G, Wang M M, et al. Aerodynamic moments control of wing model using plasma jet[J]. Engineering Mechanics, 2016, 33(3): 232-238. |
| [40] |
Caruana D, Barricau P, Gleyzes C. Separation control with plasma synthetic jet actuators[J]. International Journal of Aerodynamics, 2013, 3(1-3): 71-83. |
| [41] |
李洋, 梁华, 贾敏, 等. 等离子体合成射流改善翼型气动性能实验研究[J]. 推进技术, 2017, 38(9): 1943-1949. Li Y, Liang H, Jia M, et al. Experimental investigation of enhancing wing aerodynamic performance by plasma synthetic jet[J]. Journal of Propulsion Technology, 2017, 38(9): 1943-1949. |



