当导弹及其他飞行器在大气层中以超声速飞行时,飞行器头罩具有保护飞行器内部有效载荷的功能,以防止其受到气动力、气动热及声振等有害环境的影响,同时可以使飞行器具有良好的空气动力学特性,减小飞行器的飞行阻力等作用。当飞行器飞行到一定高度时,必须及时将头罩分离并抛弃,以便有效载荷正常工作和减轻飞行器的后续质量,使飞行器的作用得到有效发挥[1]。大气层中超声速飞行器头罩分离后头罩运动轨迹主要由所受的气动力决定,流动呈现高度非定常和非线性等复杂特征,头罩周围的激波也会对弹体表面压力分布造成扰动,并伴随着多体间强烈的相互干扰,具有马赫数高、动压大、迎风面积大、质量轻等特点,导致头罩分离后有可能发生重新闭合或与内部载荷、弹体、尾舵等部件发生碰撞的现象。因此,头罩能否成功安全分离,直接关系着飞行任务的成败[2]。
因此,必须采用一定的研究手段对稠密大气层内飞行器头罩分离后的运动特性进行预测与估算,分析头罩在各种姿态角、飞行速度、飞行高度、飞行器外形、不同初始弹射分离力及在飞行器上的安装位置等参数对头罩分离运动轨迹和姿态的影响,确定头罩安全分离的参数范围,从而为飞行器头罩分离方案设计和飞行器头罩控制系统方案设计提供依据与参考。
关于超声速飞行器头罩在大气层内的分离特性问题,国内外开展过的研究多是采用数值模拟方法[3-18]进行的。如刘君、王巍等采用弹簧近似和网格局部重构相结合的非结构动网格技术,耦合求解非定常欧拉方程和六自由度弹道方程,数值模拟了稠密大气层内超声速飞行状态下火箭头罩分瓣式分离动力学过程[3-4]。徐敏、刘振等运用多块嵌套结构动网格技术,针对大气层内动能拦截弹红外热防护罩分离,预测了分离过程中流场的瞬态特性和红外窗口上压力随时间的振荡,同时给出了各个时刻导弹周围的压力变化[8];从检索的国内外文献上很少见到采用风洞试验手段来研究飞行器头罩分离特性,主要原因可能是由于飞行器头罩分离问题的特殊性,如难以在罩体内安装测力天平等问题,使得开展头罩分离的风洞试验研究难度较大,文献[17]只是在文章其中一段作了简单叙述,但并未给出风洞试验结果和分析,因此开展相关的风洞试验研究显得有必要,一方面可以为飞行器头罩分离运动特性提供一种地面试验验证手段,另一方面可与数值模拟方法结果相互验证,相互补充。
本文主要介绍采用风洞投放模型试验研究超声速飞行器(Ma=1.5)头罩旋转分离的关键技术及相关试验结果,试验很好地复现飞行器头罩两瓣旋转分离的整个动态运动过程,并采用图像判读技术得到飞行器头罩分离后两瓣罩质心位置和姿态角的变化规律,为飞行器头罩方案设计提供依据和参考,具有一定的工程应用价值。
1 试验方案 1.1 试验风洞本次头罩分离风洞投放模型试验是在中国航天空气动力技术研究院FD-12风洞中进行的。FD-12风洞是一座亚、跨、超三声速风洞,如图 1所示。试验段横截面为1.2m×1.2m,超声速试验段的长度为2.4m,试验时通过更换不同的喷管箱来改变试验马赫数(Ma=1.5~4.0),利用声速喷管通过改变前室总压的方法来获得不同的马赫数(Ma=0.3~1.2),此时风洞试验段上下壁为直孔开孔壁板(开孔率24.2%),风洞雷诺数范围为Re=1.2×107~7.9×107 /m。
|
| 图 1 FD-12亚跨超风洞 Fig.1 FD-12 sub-tran-supersonic wind tunnel |
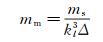
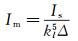
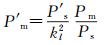
飞行器头罩投放模型除几何外形相似外,还需要满足运动动力学相似准则,以保证试验模型与实物的分离后运动轨迹的一致性。本次试验采用高速风洞投放的轻模型法,除了满足模型和实物的马赫数相等,还需满足如下主要关系式[19]:
(1)
(2)
(3)
(4)
式中:m为质量;P′为弹射力;I为转动惯量;V为来流速度;T为气流来流静温。kl为模型的缩尺比,kl=ls/lm,l为特征长度;Δ为空气相对密度,Δ=ρs/ρm,ρ为空气密度;下标m代表试验模型状态,下标s代表全尺寸实物。
依据以上相似准则和真实飞行器头罩的质量特性参数即得出风洞试验模型的质量特性参数,从而可以设计出满足运动动力学相似的风洞试验模型。图 2(a)所示为弹体模型示意图,试验模型采用简单的锥柱组合体,头部半径R=15mm,锥段长L=98mm,半锥角θ=10°。头罩模型示意图如图 2(b)所示,头罩模型外壳采用铝质材料加工,内部加上重金属材料作配重,以满足头罩试验模型的质量特性参数要求,头罩设计分离速度为5m/s,预定解锁角η0=24°。
|
| 图 2 风洞试验模型示意图 Fig.2 The sketch of wind tunnel model |
飞行器两瓣罩在风洞投放分离前采用高强度钼丝锁紧处于“闭合状态”,两瓣罩内部预置圆柱压缩弹簧为两瓣罩分离提供初始弹射力,弹射力的大小和作用位置保持与真实飞行器头罩的几何相似和动力相似,整套试验系统与风洞刀架相连,风洞起动且气流流场稳定后,同步控制仪发出信号使解锁气缸缸体进气,解锁气缸活塞杆向后移动剪断高强度钼丝,圆柱压缩弹簧使上瓣罩与下瓣罩张开,两瓣罩沿各自的铰链点定点转动,当两瓣罩张开角达到某一临界η0时,两瓣罩的弹射力和气动力产生对底部铰链点的力矩,该力矩形成的反剪力剪断两瓣罩与后段连接环相连接的两个圆锥销钉,两瓣罩脱离弹体进入“自由飞行”状态,布置在观察窗附近的高速摄影机拍摄飞行器两瓣罩在风洞流场中的动态运动图像并存储到计算机,从而可用来研究飞行器头罩两瓣分离的运动特性与气动特性。头罩分离机构示意图如图 3所示。
|
| 图 3 头罩分离机构示意图 Fig.3 The sketch of separate machine |
飞行器头罩分离风洞投放试验的几个关键技术及解决措施:
(1) 飞行器头罩分离参数相似模拟问题。由于头罩分离过程中初始弹射力是一直处于变化中,因此只需通过对弹射力所做的功进行相似模拟即可实现对投放物运动规律的模拟[20]。从能量的相似准则出发,可获得缩比试验中弹射力所需做的功,进而获得头罩模型的初速度和初角速度,因此对投放分离参数的模拟可通过对投放初速度和初角速度的相似模拟来实现。
(2) 怎样实现两瓣罩根部与弹体间的铰链在不同临界解锁角η0解锁分离是本次风洞投放试验最关键的技术。在风洞试验模型设计时,使飞行器上瓣罩与下瓣罩的根部与连接环采用圆锥销钉连接构成一铰链,保证弹射力作用在飞行器头罩质心后时,头罩头部先张开,上瓣罩与下瓣罩根部与连接环接触面为一圆弧,通过改变接触面圆弧的弧长来改变头罩分离临界解锁角η0。
(3) 如何从图像中判读出两瓣罩运动轨迹与姿态角是本次风洞投放试验的另一关键技术。为有利于运动图像判读,分别在每个头罩模型表面上喷有判断模型状态的标记图案,通过使用自主编制的专用图像判断软件,对高速摄像机记录的投放过程图像上的模型标记进行分析与解算,从而获得模型在投放过程中不同时刻的模型投放轨迹和运动姿态角。
2 试验结果与分析风洞投放模型试验主要特点是采用高速摄影机拍摄投放物的整个动态运动过程,通过图像判读技术分析得到投放物运动轨迹与姿态角的变化规律。本次风洞投放模型试验采用一台高速摄像机进行竖直平面内的拍摄,高速摄像机布置在风洞试验观察窗的侧面,能记录两瓣罩沿纵向、铅垂方向以及俯仰方向的运动过程。试验马赫数为Ma=1.5,高速摄像机拍摄速度为2000帧/s,相邻两帧图像的时间间隔t=0.5ms,图像的分辨率为1024pixel×1024pixel。
为讨论飞行器上下两瓣罩分离的运动轨迹和姿态角,必须定义相应的惯性坐标系。(1)定义固连在弹体上坐标系为惯性坐标系。坐标原点O选在分离初始时刻头罩顶点前处的某点;X为弹体主轴方向,指向弹体尾部;Y在弹体主平面内垂直于X轴指向上方;Z指向弹体的侧面,由X、Y根据右手法则确定,此坐标系用来描述头罩的运动轨迹;(2)定义头罩的体坐标系OX1Y1Z1,主要用于研究头罩分离过程中的姿态角。头罩体坐标系的原点定义在头罩的质心C;X1轴平行于头罩的对称轴,指向头部;Y1轴与X1轴垂直,在初始时刻指向上方;Z1轴垂直于X1,Y1轴,初始时刻指向侧面,与X1,Y1轴构成右手系。姿态描述参考初始时刻体坐标系,即姿态为偏离姿态。按照3-2-1顺序定义欧拉姿态角,分别为俯仰角θ,偏航角ψ,滚转角ϕ,体坐标轴选取在惯量主轴上。坐标系定义如图 4所示。
|
| 图 4 头罩参考坐标系示意图 Fig.4 Coordinate of the nose cap |
图 5所示为试验迎角α=0°,侧滑角β=0°,飞行器两瓣罩模型在竖直平面内由高速摄像机同步拍摄到的投放连续运动图像序列,从图 5中可看出:当弹体飞行迎角α=0°时,上下两瓣罩的垂直方向位移y增大比较快,这主要是由于高动压空气气流进入因弹簧力作用而开启的两瓣罩腔内,气流的动量流滞止转化为能量,迅速加快两瓣罩的分离并使其很快地远离飞行器的弹体,两瓣罩的俯仰姿态角从0°很快增到大于180°,飞行器两瓣罩基本对称分离。图 6为对应的上下瓣罩分离后运动轨迹和姿态角的时间历程,可以看出上下瓣罩质心轴向位移x、质心纵向位移y和俯仰姿态角θ变化规律基本上呈对称,对称重合度很好。
|
| 图 5 迎角α=0°,β=0°头罩分离序列图像 Fig.5 The sequence photo of nose-cap separation in α=0°, β=0° |
|
| 图 6 迎角α=0°时上下瓣罩运动轨迹与俯仰角时间历程 Fig.6 History of distance and pitch angle for two nose cap centroid in α=0° |
图 7所示为试验迎角α=-5°,侧滑角β=0°,飞行器两瓣罩模型在竖直平面内由高速摄像机同步拍摄到的投放连续运动图像序列。从图 7中可看出:当弹体飞行迎角α=-5°时,两瓣罩分离上下不对称,迎风侧的上瓣罩比背风侧的下瓣罩分离的要慢些,迎风侧的上瓣罩从闭合状态开始张开时,开始阶段上瓣罩外表面始终受到气流的下压作用,产生一个阻碍上瓣罩张开分离的气动力,使上瓣罩的分离变慢;相反,背风面的下瓣罩外表面产生一个促进下瓣罩张开分离的气动力,使下瓣罩的分离变快,从而使上瓣罩的轴向位移与纵向位移显然要比下瓣罩小很多。图 8为对应的上下瓣罩分离后运动轨迹和姿态角的时间历程,可看出上下瓣罩的运动轨迹和姿态角明显呈现出不对称状态。
|
| 图 7 迎角α=-5°,β=0°头罩分离序列图像 Fig.7 The sequence photo of nose-cap separation in α=-5°, β=0° |
|
| 图 8 迎角α=-5°时上下瓣罩运动轨迹与俯仰角时间历程 Fig.8 History of distance and pitch angle for two nose cap centroid in α=-5° |
采用风洞投放模型试验方法对稠密大气层内超声速飞行器(Ma=1.5)两瓣罩旋转分离的运动特性进行研究,研究表明:当弹体飞行迎角α=0°时,上下两瓣罩的运动轨迹和姿态角沿弹体轴基本对称,弹体飞行迎角α=-5°时,上下瓣罩的运动轨迹和姿态角明显不对称性,弹体飞行迎角α对两瓣罩的分离特性影响比较显著。本研究可为超声速飞行器头罩分离方案设计和飞行器头罩控制系统的设计提供依据与参考。
| [1] | 朱学昌, 李浩远, 喻天翔, 等. 低空高速飞行器整流罩分离技术研究现状和展望[J]. 固体火箭技术, 2014, 37(1): 12–17. Zhu X C, Li H Y, Yu T X, et al. Research status and prospects for low-altitude and high speed fairing separation technique[J]. Journal of Solid Rocket Technology, 2014, 37(1): 12–17. |
| [2] | 范庆志, 孙秦. 飞行器头罩分离技术及设计方案分析研究[J]. 机械设计与制造, 2008(9): 8–10. Fan Q Z, Sun Q. The research of aircraft shroud separation technology and design project analysis[J]. Machinery Design Manufacture, 2008(9): 8–10. |
| [3] | 刘君, 王巍, 郭正, 等. 稠密大气层内火箭头罩动态分离过程数值模拟[J]. 弹道学报, 2006, 18(3): 34–38. Liu J, Wang W, Guo Z, et al. Numerical simulation of the detaching process for rocket mantles in low altitude[J]. Journal of Ballistics, 2006, 18(3): 34–38. |
| [4] | 王巍, 刘君, 白晓征. 非结构动网格技术及其在超声速飞行器头罩分离模拟的应用[J]. 空气动力学学报, 2008, 26(1): 131–135. Wang W, Liu J, Bai X Z. DUM research and apply to solve the fairing separating form hypersonic vehicle[J]. Acta Aerodynamic Sinica, 2008, 26(1): 131–135. |
| [5] | 李盾. 三维非结构直角网格NS方程计算及抛罩分离过程的数值模拟研究[D]. 北京: 中国航天空气动力技术研究院, 2006. |
| [6] | 赵晓慧. 巡航导弹锥形头罩分离仿真分析[D]. 长沙: 国防科学技术大学, 2009. Zhao X H. Design and simulation for the separation of a taper nose cap from a cruise missile[D]. Changsha:National University of Defense Technology, 2009. http://cdmd.cnki.com.cn/Article/CDMD-90002-2010165460.htm |
| [7] | 曾江. 导弹抛整流罩过程建模与仿真[D]. 长沙: 国防科学技术大学, 2005. Zeng J. The modeling and simulation of the process of casting radoms of rocket[D]. Changsha:National University of Defense Technology, 2005. http://cdmd.cnki.com.cn/Article/CDMD-90002-2005144130.htm |
| [8] | 徐敏, 刘振. 基于多块嵌套结构动网格的拦截弹防热保护罩的二维分离模拟[J]. 计算力学学报, 2007, 24(3): 375–378. Xu M, Liu Z. Two-dimensional simulations about the separation of the interceptor missile shroud covers based on moving multi-block chimera structure grids[J]. Chinese Journal of Computational Mechanics, 2007, 24(3): 375–378. |
| [9] | Chamberlain R, Baltar J. Time accurate calculation of hypersonic shroud separation[R]. AIAA-93-0317, 1993. https://arc.aiaa.org/doi/abs/10.2514/6.1993-317 |
| [10] | Chamberlain R. Time accurate calculation of the HEDI shroud separation event[R]. AIAA-92-2775, 1992. http://arc.aiaa.org/doi/abs/10.2514/6.1992-2775 |
| [11] | Schwaniger A J, Murphree H I. Description of a mathematical model and computer simulation of separation of the nose cap from the solid rocket booster[R]. NASA-TM-82511, 1982. https://www.researchgate.net/publication/23883281_Description_of_a_mathematical_model_and_computer_simulation_of_separation_of_the_nose_cap_from_the_solid_rocket_booster |
| [12] | Wong K J, Van Dam C P. Numerical study on the effect of tip-cap shape on wing aerodynamic characteristics[R]. AIAA-95-0042, 1995. http://arc.aiaa.org/doi/abs/10.2514/6.1995-42 |
| [13] | Lawrence R, Leonard Z, Allwine J. Hypersonic shroud separation testing and modelling capabilities at the naval surface warfare center hypervelocity wind tunnel#9[R]. AIAA-94-2495, 1994. http://www.researchgate.net/publication/269060450_Hypersonic_shroud_separation_testing_and_modelling_capabilities_at_the_Naval_Surface_Warfare_Center_hypervelocity_wind_tunnel_9 |
| [14] | Resch L, Hedlund E, Decesaris C. Hypersonic shroud separation testing at the naval surface warfare center hypervelocity wind tunnel#9[R]. AIAA-92-2752, 1992. http://arc.aiaa.org/doi/abs/10.2514/6.1992-2757 |
| [15] | Resch L, Decesaris C, Hedlund E. The naval surface warfare center hypervelocity wind tunnel 9 hypersonic shroud separation testing capability[R]. AIAA-92-0676, 1992. http://arc.aiaa.org/doi/abs/10.2514/6.1992-676 |
| [16] | Lumb S B, Robert W C. Transient aerodynamics of a high dynamic pressure shroud separation for a ground-based interceptor missile[R]. AIAA-92-2820, 1992. http://arc.aiaa.org/doi/abs/10.2514/6.1992-2820 |
| [17] | Michael S H, John H, Matthew M, et al. Development and application of a new ground test capability to conduct full-scale shroud and stage separation studies at duplicated flight conditions[R]. AIAA-2005-696, 2005. https://arc.aiaa.org/doi/abs/10.2514/6.2005-696 |
| [18] | Michael S H, Timothy P W, Gregory J S, et al. Experimental and numerical studies on hypersonic vehicle performance in the LENS shock and expansion tunnels[R]. AIAA-2006-0125, 2006. http://arc.aiaa.org/doi/pdfplus/10.2514/6.2006-125 |
| [19] | 鲍国华. 风洞特种实验[M]. 西安: 西北工业大学出版社, 1990: 123-126. |
| [20] | 蒋增辉, 宋威, 鲁伟, 等. 高速风洞投放模型试验技术的关键问题及应用领域[J]. 空气动力学学报, 2016, 34(6): 744–750. Jiang Z H, Song W, Lu W, et al. Critical problems and applied fields of drop model testing technique in high speed wind tunnel[J]. Acta Aerodynamic Sinica, 2016, 34(6): 744–750. |



