2. 兰州理工大学 温州泵阀工程研究院, 浙江 温州 325105
2. Engineering Institute of Wenzhou Pump & Value, Lanzhou University of Technology, Wenzhou Zhejiang 325105, China
低比转速离心泵在小流量工况运行时,由于叶片包角过大、流道狭窄以及叶轮进、出口位置的液体流动状态遭到破坏等,导致其进、出口处产生回流现象[1];当回流旋涡区域的局部压力低于液体的饱和蒸汽压时,就会发生空化,这使得离心泵内部流动更加紊乱,泵扬程、效率降低;当空化进一步发展时,离心泵及其连接管路还会产生强烈的振动和噪声,严重时可导致轴承破坏及泵轴断裂[2-3]。在工程实际中,离心泵的安全稳定运行是重中之重,但小流量工况下的空化会对泵的运行稳定性造成极大威胁。截止目前,针对小流量工况下低比转速离心泵空化特性的研究已成为国内外研究的重点和难点[4-5]。卢加兴等人[6]采用数值和试验相结合的方法,研究了小流量工况下离心泵不同空化程度的内流特性及进、出口压力脉动特性。Dominik Lefor等人[7]运用CFD技术,通过监测离心泵吸入口、蜗壳和叶轮腔体内瞬态静压变化,探究了平衡孔直径对离心泵内部流场的影响。付燕霞等人[1]研究了叶片数从4~8时离心泵小流量工况下的空化特性。曹卫东等人[8]采用数值模拟手段分析得出,径向回流平衡孔的回流方向与叶轮来流方向基本一致,能够明显改善低比转速数离心泵的空化性能。黄绪[9]依托离心叶轮,对平衡孔的机理及对容积效率的负面效应进行了定量分析。特别地,叶轮平衡孔直径是影响离心泵轴向力变化的主要参数[10],同样,经叶轮平衡孔的泄漏流与进入叶轮的主流相冲击,也会使离心泵的空化特性发生改变[11]。因此,研究平衡孔直径对离心泵小流量工况空化特性格外重要。
为了真实揭示低比转速离心泵的空化特性,解决工程领域中小流量工况下离心泵运行不稳定的问题,选用降速后的IS80-50-315型离心泵4种平衡孔直径对0.8Qd工况及平衡孔直径d=6mm时分别对0.4Qd、0.5Qd、0.6Qd和0.8Qd这4个工况进行试验测试,从叶轮所受扭矩、泵腔液体压力及轴向力等方面分析不同平衡孔直径对低比转速离心泵小流量工况空化特性的影响。
1 试验测试系统 1.1 试验模型选用降速后的IS80-50-315型离心泵为试验对象,其设计参数为:流量Q=25m3/h,扬程H=32m,转速n=1450r/min,效率η=52%。
离心泵叶轮重要几何参数为:外径D2=315mm,轮毂直径Db=50mm,叶片数Z=5,出口宽度b2=6mm,平衡孔数量z=5。前后密封环直径Dm=90mm,径向间隙b=0.2mm,长度L=18mm,如图 1所示。
|
| 图 1 离心泵叶轮和平衡孔实物图 Fig.1 Picture of the impeller and balance hole in a centrifugal pump |
在离心泵闭式试验台上分别进行流量工况Q/Qd=0.4、0.5、0.6和0.8时腔体压力特性和空化特性的测试。为了便于试验装置拆装和测量离心泵前后腔及平衡腔的瞬态压力分布规律,将电机布置在试验泵的进口方向[12],如图 2(a)所示。图 2(b)为试验测试的真机试验台。
|
| 图 2 离心泵闭式试验台 Fig.2 Centrifugal pump closed test rig |
图 3(a)为泵腔内液体压力的测试装置[13]。图中,d为平衡孔直径,b为后密封环间隙,rm为后密封环半径。因第Ⅷ断面为离心泵蜗壳的特征断面,故前泵腔第Ⅷ断面所在轴面分别在半径是155、146.5、116和75.5 mm的位置处开设4个测压孔,同样后泵盖亦分别在半径是155、146.5、116.5和74.5 mm的位置处开设4个测压孔,在平衡腔的轴向和径向位置各开设1个测压孔。
|
| 图 3 离心泵腔体压力测试装置 Fig.3 Experimental device for measuring pressure in centrifugal pump chamber |
为了降低液体压力脉动对试验测量的影响,保证腔体不同孔径处液体压力测量的精确度和可靠性,专门设计了图 3(b)所示的稳压装置,稳压罐上装有精密压力表(精度等级为0.4级)和电容式压力传感器(精度等级为0.5级),压力表和压力传感器位于同一水平线上,可以同步显示被测液体压力,并可相互印证[14]。稳压罐上的测压点通过压力软管与泵腔体测压点连接,通过切换不同测压点的阀门,即可测量出腔体不同半径处的压力。
1.4 试验方法为了方便不同平衡孔直径的测试,专门设计了叶轮不变、只更换平衡孔的试验装置,解决了试验过程中平衡孔不易更换的难题,节约了试验成本。如图 1中局部放大图所示,加工了不同平衡孔直径的平衡孔套用于改变平衡孔直径的大小,试验时只需将叶轮后密封环、不同平衡孔直径的平衡孔套依次组装在叶轮上,即可实现同一个叶轮上不同直径平衡孔离心泵空化特性的测试。改变平衡孔直径d,分别为4、6、8和11mm,调节出口阀门,使流量工况依次为0.4Qd、0.5Qd、0.6Qd和0.8Qd,采用液环真空泵降低水箱中的压力,进而改变试验泵的进口压力,当压力降低值不足以使离心泵小流量工况发生空化时,可适当调节进口阀门开度,通过增大进口管路阻力的方式进一步降低进口压力,满足试验要求。小流量工况、不同叶轮平衡孔直径下离心泵运转时,测得试验泵进、出口和腔体不同孔径处的液体压力、转速转矩以及轴功率,分析得到不同平衡孔直径下低比转速离心泵小流量工况的空化特性。
2 结果与分析 2.1 不同平衡孔直径离心泵的水力性能图 4为不同平衡孔直径下离心泵的水力性能曲线。从图中可看出,随叶轮平衡孔直径增大,离心泵的性能呈现出规律性变化。由试验曲线可得,当叶轮平衡孔直径从4mm增大至11mm过程中:在0.6Qd(Qd=25m3/h)工况下,效率下降幅值在2.58%范围内,扬程降低幅值在0.48%范围内,输入功率增大幅值在3.32%范围内;在0.8Qd工况下,效率下降幅值在2.57%范围内,扬程降低幅值在0.78%范围内,输入功率增大幅值在3.31%范围内;在1.0Qd工况下,效率下降幅值在2.43%范围内,扬程降低幅值在0.41%范围内,输入功率增大幅值在2.05%范围内。综合考虑,小流量工况下,叶轮平衡孔直径为6mm的离心泵水力性能最优。
|
| 图 4 离心泵的水力性能 Fig.4 Performance curves of centrifugal pump |
从流体水力损失的角度分析,由于平衡孔的存在,叶轮出口处的部分高压液体未能及时排出,而是沿后腔体流道经叶轮平衡孔流入叶轮进口,形成回流,使离心泵扬程降低。同时,经叶轮平衡孔回流的液体破坏了叶轮进口主流的正常流态,很大程度上增大了作用在离心泵叶轮上的输入功率[15-16],从而导致了离心泵效率的下降。
为方便对空化特性的研究,参考文献[17-18]引入了空化系数σ(简称空化数)、扬程系数ψ、轴向力系数cF、比面积K等无量纲参数,定义如下:
(1)
(2)
(3)
(4)
其中,
式中:p1为泵的进口压力;pv为液体的饱和汽化压力;v1为泵的进口流速;ρ为液体的密度;F为轴向力;p2为平衡腔内液体的压力;K为平衡孔总面积与后密封环间隙面积的比值(简称比面积)。
2.2 不同平衡孔直径离心泵的空化性能图 5为离心泵在0.8Qd工况不同叶轮平衡孔直径下的空化特性曲线。为分析类似泵中,平衡孔直径对离心泵空化特性的影响,根据试验测试数据和引入的无量纲参数,绘制出不同平衡孔直径下ψ=f(σ)的无因次曲线。从图 5可以看出,离心泵的扬程曲线具有规律性变化,即随空化数减小,泵扬程系数先近似保持不变后急剧下降。
|
| 图 5 0.8Qd工况不同平衡孔直径叶轮的空化特性曲线 Fig.5 Head-drop curves of centrifugal pump with different balance holes diameters at 0.8Qd |
平衡孔直径从d=4mm增加至11mm时,相同空化数下的扬程系数略有升高,且平衡孔直径越大,扬程系数的突降点出现越晚。由此分析得出,随着平衡孔直径的增大,离心泵的抗空化性能逐渐提高,这主要是,平衡孔直径加大,平衡孔总面积随之增大,在后密封环径向间隙不变时,根据K=S平衡孔/S后密封环间隙可得出,比面积K由1.12增大至8.50,由Q=v·A可得,在后泵腔体积一定的情况下,液体流量Q一定,当横截面积A不断增大时,泄漏流速v不断减小,对主流的冲击破坏作用减小,可以有效避免叶轮进口区域局部低压的出现,从而改善离心泵的空化性能。
为了更加直观的表征空化特性,引入了空化余量这一量纲化参数,定义如下:
(5)
式中:NPSHA为空化余量;pA为标准大气压。
图 6为叶轮平衡孔直径d=6mm、0.4Qd~0.8Qd工况下的离心泵空化特性曲线。依据文献[1, 11, 19]提出的扬程下降3%(即扬程断裂点)作为离心泵汽蚀的发生点这一观点,结合图可得出,0.8Qd工况下,临界空化余量NPSHc=1.726m;0.6Qd工况下,NPSHc=1.409m;0.4Qd工况下,NPSHc=1.268m。由此表明,随着叶轮进口压力的下降,0.4Qd工况下,离心泵的扬程较0.8Qd工况更晚出现突降点,即相同平衡孔直径下流量越小,离心泵越不易发生空化。由图还可以看出,同一流量工况下,在有效空化余量NPSHA减小到临界值之前,离心泵扬程值基本保持不变;当NPSHA=NPSHc时,离心泵处于临界空化;随着NPSHA进一步减小,其扬程迅速降低。
|
| 图 6 平衡孔直径d=6mm各小流量工况下叶轮的空化特性曲线 Fig.6 Head-drop curves of centrifugal pump with 6mm balance hole diameter under different low flow rate conditions |
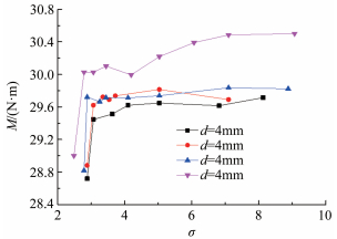
图 7为0.8Qd工况下,空化时不同平衡孔直径叶轮所受扭矩变化曲线。可以看出,在空化充分发展前,平衡孔直径为11mm的叶轮所受的扭矩明显高于平衡孔直径为4、6和8mm叶轮的扭矩,且孔径为11mm的叶轮所受扭矩在发生陡降前出现了较明显的先减小后增大再减小的振荡变化,其他孔径叶轮所受扭矩振荡幅度不大。从图中还可得,0.8Qd工况下,平衡孔直径为4和6mm的叶轮扭矩几乎同时陡降,平衡孔直径为11mm的叶轮所受扭矩较其他孔径最迟陡降,这表明发生空化陡降时平衡孔直径为4和6mm的离心泵损失较少。
|
| 图 7 Q/Qd=0.8工况下不同平衡孔直径叶轮的扭矩变化 Fig.7 ffects of balance hole diameter on the torque acting on impellers of centrifugal pump at Q/Qd=0.8 |
因此,不同平衡孔直径的叶轮所受扭矩发生突降时对应的空化数各不相同。同时,小流量工况下,平衡孔直径对叶轮所受扭矩的影响规律与其对扬程的影响相似,由图表明,随着进口压力的下降,叶轮平衡孔直径增加到一定值后,离心泵叶轮所受的扭矩明显增大,轴功率也明显增大,效率显著下降,这是由平衡孔直径增大时离心泵的做功增加造成的。
2.4 离心泵腔体压力的变化图 8为小流量工况Q/Qd=0.4下平衡孔直径d=6mm的泵腔内液体压力变化曲线。由图可得,当空化数大于4.183时,随空化数的减小,离心泵前后腔及平衡腔内液体的压力均缓慢减小,近乎成一条直线;当空化数介于4.183与3.521之间时,平衡腔液体压力开始急剧下降至-0.004MPa后一直保持不变,前后泵腔内液体的压力也较之前有明显下降后逐渐减小;当空化数小于3.521时,前后泵腔内液体压力先急剧下降后保持稳定。由此表明,随空化数的减小,泵腔内液体压力呈现出先缓慢下降后急剧降低再保持不变的规律。从图中还可以看出,相同径向测压孔处离心泵后腔内液体压力普遍高于前腔,平衡腔内液体压力明显低于前后腔内液体的压力[20]。
|
| 图 8 平衡孔直径d=6mm、0.4Qd工况下泵腔液体压力变化 Fig.8 Curves of liquid pressure in pump chamber with 6mm balance hole diameter under 0.4Qd |
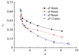
开平衡孔加双密封环叶轮具备平衡低比转速离心泵大部分轴向力的特性[21-24],对于该结构的离心泵,其平衡腔内液体压力产生的盖板力是离心泵轴向力的重要组成部分,而平衡孔直径对平衡腔内液体压力具有决定性作用。因此,分析空化发展过程中平衡孔直径对该结构叶轮小流量工况下轴向力的影响至关重要。
图 9为小流量工况Q/Qd=0.8下不同平衡孔直径叶轮空化时的轴向力变化曲线。从图中可以看出,随着离心泵内空化的产生和发展,叶轮所受轴向力呈现近似“L”形走势变化,即叶轮所受轴向力系数先趋于平坦后急剧增大,这主要是随着空化的发展,平衡腔内液体压力下降至-0.004MPa后保持不变,但液环真空泵工作使得叶轮进口压力一直处于下降趋势,导致叶轮进口压力的下降值大于平衡腔内液体压力的下降值。从图 9还可以看出,小流量工况下,平衡孔直径从4mm增大至8mm时,相同空化数下,轴向力系数逐渐减小;平衡孔直径从8mm增大至11mm时,离心泵的轴向力系数曲线基本重合。也就是说,空化发展过程中,平衡孔直径从4~8mm时离心泵轴向力随孔径的增大而逐渐减小;平衡孔直径从8~11mm时离心泵轴向力基本不变。综上所述,空化发展过程中,平衡孔直径对离心泵轴向力有较大影响。
|
| 图 9 不同平衡孔直径叶轮0.8Qd工况下的轴向力变化 Fig.9 Axial forces of the impeller of centrifugal pump with different balance hole diameters under 0.8Qd |
(1) 平衡孔直径会影响离心泵的水力性能。当平衡孔直径从4mm增加至11mm时,离心泵扬程减小,效率下降。
(2) 小流量工况下,随着平衡孔直径的增大,离心泵的抗空化性能逐渐加强;相同平衡孔直径下流量越小,离心泵越不易发生空化;随空化数的减小,不同平衡孔直径叶轮所受扭矩与泵扬程均出现不同步的陡降,且扭矩有明显的匍匐变化,这是由于蜗壳和叶轮之间的动静干涉引起的;当叶轮平衡孔直径增加到一定值后,离心泵叶轮所受的扭矩显著增大。
(3) 小流量工况下,相同径向测压孔处离心泵后腔液体压力普遍高于前腔,平衡腔液体压力明显低于前后腔;空化初生时离心泵轴向力随着平衡孔直径的增大而逐渐减小,且同一平衡孔直径随空化的产生和发展,泵腔液体压力的下降速率先增大后减小,叶轮轴向力表现出先趋于平坦后急剧增加的规律。
(4) 对于低比转速离心泵而言,从抑制空化及减小轴向力的角度综合考虑,比面积取2.50≤K≤4.50,即平衡孔直径为6~8mm最为恰当。
| [1] | 付燕霞, 袁寿其, 袁建平, 等. 叶片数对离心泵小流量工况空化特性的影响[J]. 农业机械学报, 2015, 46(004): 21–27. Fu Y X, Yuan S Q, Yuan J P, et al. Effect of blade numbers on cavitating flow of centrifugal pump under low flow rates[J]. Transactions of the Chinese Society for Agricultural Machinery, 2015, 46(004): 21–27. |
| [2] | Grist E. Cavitation and the centrifugal pump[J]. USA:Tarloy Francis, 1998. |
| [3] | 李意民, 谢和平, 李江林, 等. 离心叶轮入口流动的动力学描述[J]. 中国矿业大学学报, 1998, 27(2): 132–134. Li Y M, Xie H P, Li J L, et al. Dynamic description of flow in centrifugal impeller inlet[J]. Journal of China University of Mining & Technology, 1998, 27(2): 132–134. |
| [4] | Tan L, Zhu B S, Cao S L, et al. Cavitation flow simulation for a centrifugal pump at a low flow rate[J]. Chinese Science Bulletin, 2013, 58(8): 949–952. DOI:10.1007/s11434-013-5672-y |
| [5] | Cheah K W, Lee T S, Winoto S H, et al. Numerical flow simulation in a centrifugal pump at design and off-design conditions[J]. International Journal of Rotating Machinery, 2007, Article ID 83641. |
| [6] | 卢加兴, 袁寿其, 任旭东, 等. 离心泵小流量工况不稳定空化特性研究[J]. 农业机械学报, 2015, 46(8): 54–58. Lu J X, Yuan S Q, Ren X D, et al. Investigation of instabilities of cavitation at low flow rate of centrifugal pump[J]. Transactions of the Chinese Society for Agricultural Machinery, 2015, 46(8): 54–58. DOI:10.6041/j.issn.1000-1298.2015.08.009 |
| [7] | Dominik Lefor, Jan Kowalski, Boris Kutschelis, et al. Optimization of axial thrust balancing swirl breakers in a centrifugal pump using stochastic methods[C]. ASME 201412th International Conference, 2014 IB:FED SM2014-21262. |
| [8] | 曹卫东, 张晓娣, 高一, 等. 径向回流平衡孔低比转数离心泵空化性能研究[J]. 农业机械学报, 2012, 43(1): 37–41. Cao W D, Zhang X D, Gao Y, et al. Cavitation performance of the low specific-speed centrifugal pump with radial reflux balance hole[J]. Transactions of the Chinese Society for Agricultural Machinery, 2012, 43(1): 37–41. |
| [9] | 黄绪, 鲁洪, 严敬. 叶轮平衡孔机理分析与计算[J]. 机械, 2011, 38(9): 23–25. Huang X, Lu H, Yan J. Analysis and calculation on mechanics of balancing holes of centrifugal impellers[J]. Machinery, 2011, 38(9): 23–25. |
| [10] | 牟介刚, 赵锦靖, 郑水华, 等. 离心泵平衡孔位置对轴向力及外特性的影响[J]. 机械设计与制造, 2012(6): 173–175. Mou J G, Zhao J J, Zheng S H, et al. The influence of balance hole position of centrifugal pump on axial force and external characteristics[J]. Machinery design & manufacture, 2012(6): 173–175. |
| [11] | 关醒凡. 现代泵理论与设计[M]. 北京: 中国宇航出版社, 2010: 101-102. Guan X F. Modern pumps theory and design[M]. Beijing: China Water Aerospace Press, 2010: 101-102. |
| [12] | 刘在伦, 孙雨, 王东伟, 等. 离心泵泵腔流道液体泄漏量试验与计算方法[J]. 农业机械学报, 2015, 46(6): 97–101. Liu Z L, Sun Y, Wang D W, et al. Experiment and calculation method of fluid leakage in flow passage of pump chamber on centrifugal pump[J]. Transactions of the Chinese Society for Agricultural Machinery, 2015, 46(6): 97–101. DOI:10.6041/j.issn.1000-1298.2015.06.015 |
| [13] | 刘在伦, 李琪飞. 水力机械测试技术[M]. 北京: 中国水利水电出版社, 2009. Liu Z L, Li Q F. Test technique of hydraulic machinery[M]. Beijing: China Water & Power Press, 2009. |
| [14] | 刘在伦, 王东伟, 侯祎华, 等. 离心泵泵腔和平衡腔液体压力试验与计算[J]. 农业机械学报, 2016, 47(8): 42–47. Liu Z L, Wang D W, Hou Y H, et al. Experiment and calculation of fluid pressure in pump chamber and balance cavity of centrifugal pump[J]. Transactions of the Chinese Society for Agricultural Machinery, 2016, 47(8): 42–47. DOI:10.6041/j.issn.1000-1298.2016.08.007 |
| [15] | 刘在伦, 石福翔, 王仁忠, 等. 叶轮平衡孔直径对离心泵水力性能的影响[J]. 兰州理工大学学报, 2016, 42(6): 57–61. Liu Z L, Shi F X, Wang R Z, et al. Influence of impeller balancing hole diameter on hydraulic performance of centrifugal pump[J]. Journal of Lanzhou University of Technology, 2016, 42(6): 57–61. |
| [16] | 孔繁余, 高翠兰, 张旭锋, 等. PBN65-40-250型屏蔽泵轴向力平衡计算及其试验[J]. 农业工程学报, 2009(5): 68–72. Kong F Y, Gao C L, Zhang X F, et al. Computation and experiment for axial force balance of canned motor pump PBN65-40-250[J]. Transactions of the CSAE, 2009(5): 68–72. |
| [17] | 闻苏平, 胡小文, 王军, 等. 旋转圆盘系统过流速度场叠加的研究[J]. 工程热物理学报, 2009(1): 57–60. Wen S P, Hu X W, Wang J, et al. Investigation on superposed flow field in rotation disk system with forced through flow[J]. Journal of Engineering Thermophysics, 2009(1): 57–60. |
| [18] | 严俊峰, 陈炜, 蒲光荣. 叶轮盖板侧的流动对离心泵泄漏量的影响[J]. 火箭推进, 2007, 33(3): 20–25. Yan J F, Chen W, Pu G R. The effect of flow in the impeller shroud on the leakage rate in a centrifugal pump[J]. Journal of Rocket Propulsion, 2007, 33(3): 20–25. |
| [19] | 苏永生, 王永生, 段向阳. 离心泵空化试验研究[J]. 农业机械学报, 2010(3): 77–80. Su Y S, Wang Y S, Duan X Y. Cavitation experimental research on centrifugal pump[J]. Transactions of the Chinese Society for Agricultural Machinery, 2010(3): 77–80. |
| [20] | 董玮, 楚武利. 平衡孔直径对离心泵性能及平衡腔压力的影响[J]. 农业机械学报, 2015, 46(6): 73–77. Dong W, Chu W L. Influence of balance hole diameter on performance and balance chamber pressure of centrifugal pump[J]. Transactions of the Chinese Society for Agricultural Machinery, 2015, 46(6): 73–77. DOI:10.6041/j.issn.1000-1298.2015.06.011 |
| [21] | Cao W D, Dai X, Hu Q X. Effect of impeller reflux balance holes on pressure and axial force of centrifugal pump[J]. Journal of Central South University, 2015(05): 1695–1706. |
| [22] | 施卫东, 李启锋, 陆伟刚, 等. 基于CFD的离心泵轴向力计算与试验[J]. 农业机械学报, 2009, 40(1): 60–63. Shi W D, Li Q F, Lu W G, et al. Estimation and experiment of axial thrust in centrifugal pump based on CFD[J]. Transactions of the Chinese Society for Agricultural Machinery, 2009, 40(1): 60–63. |
| [23] | Godbole V, Fatil R, Gavade S S. Axial thrust in centrifugal pump-experimental analysis[C]. 15th International Conference on Experimental Mechanics, Porto/Portugal. 2012:22-27. |
| [24] | 沙玉俊, 刘树红, 吴玉林, 等. 平衡孔对高温高压离心泵性能的影响研究[J]. 水力发电学报, 2012, 31(6): 259–264. Sha Y J, Liu S H, Wu Y L, et al. Influence of balancing holes on performances of the high-temperature and high-pressure centrifugal pump[J]. Journal of Hydroelectric Engineering, 2012, 31(6): 259–264. |



