结冰现象普遍存在于工程实践和应用当中,例如高压输电、轨道交通和风力发电等,特别是当飞机在低于冰点的结冰气象条件下飞行时,过冷水滴碰到机体后会在机翼、进气道等部位冻结,其中机翼是飞机主要的升力装置,其结冰危害性很大。风洞试验表明:在机翼前缘或上表面增加约1mm的粗糙霜、雪和冰的沉积物可使升力减少30%以上,阻力增加50%以上[1]。为避免结冰事故的发生,保证飞行安全,通常会在飞机上安装冰防护系统,目前大型飞机如客机已应用有成熟的防除冰系统,而对于一些如无人机等小型飞行器,由于飞行速度低、长时间处于结冰环境且自身携带的防除冰能量有限,防除冰问题较为严重。因此,亟需发展轻小型化、高效、低能耗防除冰技术。
研究和探索有效的机翼防除冰方法一直受到国内外学者的普遍关注,目前传统的飞机防冰除冰技术可分为液体防冰、机械除冰(气动带除冰、电脉冲除冰)和热力防除冰(电热除冰、气热防冰)3种[2]。
液体防冰技术利用防除冰液来降低液体冰点、提高飞机表面疏水性和抑制金属腐蚀[3],但其携带质量大、使用效率低、环境污染严重。机械除冰技术利用蒙皮形变对冰层施加剪切应力使积冰脱落,国内近年来在电脉冲除冰的理论研究、计算方法与实验探索上取得了一定的创新与突破[4]。热力防除冰通过给蒙皮传热传质来防除冰,目前大型飞机气热防除冰领域的一个研究热点为防冰系统结构优化[5]。电热除冰通常采用周期性的方式将电能转化成热能,通过固壁材料传递到蒙皮表面的热量和气动力共同除冰,相关研究发现高功率周期性加热方式比低功率连续性加热方式更为经济有效[6]。
除了传统的防除冰技术,国内外学者也在积极探索开发新原理、新技术和新材料。Daniel等[7]设计了一种形状记忆合金除冰系统,利用形状记忆合金在温度变化下收缩、膨胀的特性去除表面冰层。Buschhorn等[8]使用碳纤维镍金属镀层来制作电热元件,使得电热除冰系统具有更高密度热流和除冰效率。美国亚利桑那州州立大学交叉学科研究中心研究员受到毒蛙皮肤启发,仿生开发出一种新型双层式除冰涂层,能够有效减少防冻剂的浪费[9]。蔡晋生等[10]发明了一种介质阻挡放电等离子体除积冰的方法,通过在飞行器蒙皮易结冰部位固定等离子体激励器,利用介质阻挡放电产生的热效应对飞行器蒙皮进行除冰。
最近有学者提出将主动流动控制中的合成射流技术应用到防除冰领域,其展现的可分布式、小型化、电控等特点有望解决小型飞行器防除冰问题。2013年Nikisha等[11-13]提出利用底部加热的合成射流激励器进行结冰控制的思想,该方法通过在斜劈表面下镶嵌数个加热的合成射流激励器产生的周期性微型喷流,阻碍过冷水滴与机翼表面的碰撞而实现防冰的效果。
而合成射流技术中较为先进的是压电式合成双射流技术[14-15],该技术的核心元件是合成双射流激励器,其由2个腔体和2个出口共享1个振动膜构成,具有能量效率和射流频率倍增的特点,因而在防除冰领域中的应用前景更为突出。2016年李玉杰[16]采用合成双射流激励器对冷面上水珠结霜结冰后的除霜过程进行了实验研究,实验中利用-30℃的半导体制冷片作为冷面,在水滴结冰结霜后启动合成双射流激励器,利用合成双射流激励器将温度为室温的合成双射流对凝固冰珠进行强迫对流换热,从微观角度验证了合成双射流的除冰能力。为进一步揭示合成双射流激励器对机翼的除冰效果和除冰机理,本文利用设计和搭建的地面试验平台,开展了基于热力条件下的合成双射流机翼除冰的实验研究。
1 实验设备及实验过程 1.1 实验设备如图 1所示,合成热射流机翼除冰系统由地面低温环境下的机翼模型、合成双射流激励器系统和观测系统组成。
|
| 图 1 实验系统示意图 Fig.1 The sketch map of the experimental system |
为模拟高空低温环境,地面除冰试验在低温环境中进行,地面低温环境由制冷设备实现,采用温度控制范围为-20~0℃的低温冰柜。
合成双射流激励器及其控制系统主要由4部分组成:合成双射流激励器、信号发生器、压电陶瓷驱动电源和示波器。信号发生器产生波形、幅值及频率可调的电压信号,该信号经压电陶瓷驱动电源放大后为合成双射流激励器提供工作所需的能源,同时示波器用来观察加载于激励器的电压信号,本实验激励器信号采用频率400Hz、电压±180V的正弦波。激励器内部固支的压电片在交流电压的驱动下伸缩变形实现上下振动,从而激发腔体内部流动并在双出口处产生合成双射流。
图 2为激励器示意图,实验中合成双射流激励器长64mm、宽59mm、高12.5mm,激励器正面有2个长20mm、宽2mm的长方形射流出口缝,上下腔体体积相等,为9120mm3。同时在激励器背面贴装电热片,电热片工作参数为电压20.00V,电流1.00A。
|
| 图 2 合成双射流激励器 Fig.2 The dual synthetic jet actuator |
为了了解合成双射流激励器的工作特性,在进行除冰实验之前对激励器的流场特性进行了PIV实验测量,图 3给出激励器在除冰工作条件下1个周期内出口附近的流场图。
|
| 图 3 周期内合成双射流激励器PIV实验射流速度云矢图 Fig.3 Periodic velocity contour and vector maps of dual synthetic jet actuator |
图 3是本实验采用的合成双射流激励器的射流速度矢量和速度云图 1个周期的演变过程,时间间隔为T/8。如图 3所示,在激励器下游近区,合成双射流激励器产生2股相位差为180°的射流,且速度峰值约为40m/s,每股射流的旋涡由于受到相邻射流的吸引而向其倾斜。当合成双射流激励器左侧出口的射流加速“吹”出时,右侧出口的射流则加速“吸”入;当左侧出口的射流减速“吹”出时,右侧出口的射流减速“吸”入;当左侧出口的射流加速“吸”入时,右侧出口的射流加速“吹”出;当左侧出口的射流减速“吸”入时,右侧出口的射流减速“吹”出;当激励器进入下一个工作周期也是如此。
同时采用型号为WRE-013,规格Φ3×100/1000mm的热电偶和热电阻对加热后的激励器热特性进行了点测量,发现二者的测量值接近。在温度为T=-15℃的环境中测得底部电热片稳定工作表面温度约为40℃,而由于激励器金属导热能力比较强,电热片一部分热量被接触的基底通过导热散失掉,激励器金属表面温度约为20℃,激励器工作时出口附近热射流温度峰值约为10℃。
结冰机翼模型采用NACA0015翼型,弦长为500mm,机翼模型示意图如图 4所示,机翼模型内部开有能够镶嵌下激励器的槽,机翼模型的2个射流开缝分别与激励器的长方形射流出口对接,机翼模型的2个射流开缝与翼型弦长方向夹角为θ,本实验设计了3种角度,分别是17.5°、30°和90°。由于研究的结冰区域只在机翼模型的开缝附近,故加工的模型只截取机翼的前缘上半段部分。
|
| 图 4 机翼模型示意图 Fig.4 The picture of airfoil model |
合成热射流除冰实验中设有不同的小组,对应的变量为环境温度和机翼射流开缝角度,以下为T=-15℃,θ=90°小组的实验过程:
(1) 将冰箱温度调至-20℃,选择开口角度θ= 90°的机翼模型,在该机翼模型表面的气流出口处冻结6mm厚的4cm×3cm的长方体冰层,冻结时间为2h;
(2) 固定机翼模型和电子显微镜的摆放位置,使电子显微镜水平正对机翼表面开缝处结冰区域,并对电子显微镜进行调焦和标定;
(3) 正确连接合成热射流激励器系统的线路,并检查各仪器是否正常工作,设置信号发生器、示波器及压电陶瓷驱动电源参数,保证合成双射流激励器能够正常工作,工作电压180V,频率400Hz,调试好后关闭;
(4) 打开激励器电热片电源,参数设置为电压20.00V,电流1.00A,对激励器腔体进行预热,同时调整冰箱温度至实验所需的-15℃并达到稳定;
(5) 实验设备准备完毕后,迅速将预热完毕的激励器放入冰箱内的机翼模型中,将激励器固定在确定的位置。
(6) 同时开启激励器和加热片电源并使用电子显微镜开始录制,记录机翼模型表面冰层去除的变化过程。
(7) 待机翼模型表面冰层完全去除后,关闭电子显微镜,记录环境温度、湿度,然后关闭激励器以及加热片电源。
2 实验现象及分析实验过程中,环境的相对湿度和温度分别为43±1.5%,-15±1.0℃。实验分为2个过程:(1) 先将连接好的机翼模型放置于低温冰箱结冰环境内,在机翼模型表面开缝附近通过水围的方式滴水结冰,冻结2h至冰形不再改变;(2) 开启电加热片,将预热完毕的合成双射流激励器置入机翼模型,并开启激励器工作。实验研究了环境温度和机翼射流开缝角度2种变量对除冰的影响。
2.1 3种环境温度下热射流除冰如图 5所示,当环境温度为-15℃时,6mm厚度的冰层在合成双射流的加热和机翼表面的升温双重作用下融化,靠近机翼模型表面的冰层先融化,当冰层融化到足够薄时,合成双射流冲破冰层,最终在实验开始140s后完全融化。
|
| 图 5 合成热射流除冰过程 Fig.5 The process of de-icing using heated DSJA |
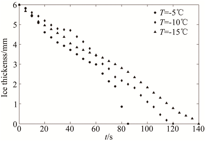
实验还在-5和-10℃的环境温度下使用合成热射流对机翼结冰进行了观察,3种环境温度得到的冰层厚度随时间的变化关系如图 6所示。
|
| 图 6 不同环境温度下冰层厚度随时间变化图 Fig.6 The change of ice thickness under different environment temperatures |
由图 6可知,在T=-5℃时,除冰时间为85s,T=-10℃时,除冰时间为120s,T=-15℃时,除冰时间为140s,故温度越低,除冰速度越慢,这说明低温环境增加了机翼除冰的难度。同时,排除实验误差的干扰,对数据进行拟合,随着时间增加,3种温度下的除冰速率都呈现“两段式”的变化规律,即先慢后快的规律,它们的除冰速率拐点位置如表 1所示。
|
在T=-5、-10和-15℃时,除冰速率拐点分别在除冰进程中的60s(70.6%)、85s(70.8%)和85s(60.7%)出现,分析可知,除冰速率拐点出现在除冰的中后程,并且主要与冰层厚度有关。3种环境温度除冰速率拐点分别出现在冰层厚度为2.2、2.0和2.6mm,当冰层厚度介于2~3mm时,冰层中含水量升高,冰层的材料性质发生改变,导致除冰速率增加,但是拐点前后除冰速率接近定值。在拐点之后,冰层在热射流的作用下扰动增加,除冰速度加快,临近完全除冰前开缝处有一个破冰吹除的现象,如图 7所示。
|
| 图 7 冰层破冰吹除 Fig.7 The blowing down of ice sheet |
另外为研究合成射流和加热各自对除冰的作用,分析除冰过程中的能量传递,分别进行了合成射流单独除冰、单独加热除冰的实验,除冰的时间对比如表 2所示。
通过除冰时间可以看出,实验结果中热射流与纯加热方案相比,除冰时间能够减少25.0%~36.4%,然而单纯使用合成双射流时,冰层没有融化,因为除冰的实质是热量的输运,使得冰层受热而发生相变,而在没有内部热源的情况下,合成射流并不会增加冰层的热能。
为了进一步研究除冰过程中的融冰机理,采取了2个角度进行了拍摄:第1个角度采用更近距离、更高放大倍数观察冰层,如图 8(a)所示;第2个角度是在冰层斜上方拍摄,如图 8(b)所示。
|
| 图 8 冰层融化图 Fig.8 The melting of ice sheet |
合成热射流工作,与物面接触的冰层受到机翼模型的传热和机翼模型开缝内部的强迫对流换热,使得靠近的冰层发生了相变并形成了一层很薄的水膜。由于水膜温度较上部分冰层高及上下的水分子浓度差,水分子穿过冰层内部的间隙,向上发生扩散,这个过程为质量传递。伴随着底部冰层的吸热融化,水分子将底部热量也带到较上的冰层,形成了冰水混合层并改变了冰层的材料性质,因此质量传递的同时,也产生能量传递,图 8(a)中下层较为深色的部分为水膜侵入上部分冰层形成。
以冰层为研究对象,分析冰层的能量传递过程,如图 9所示,冰层在受热条件下的能量方程为:
|
| 图 9 冰层能量传递图 Fig.9 The energy transportation of ice sheet |
(1)
式中:qi是冰层融解吸收的热量;qa1是腔体开缝处与冰层的强迫对流换热的热量;qn是冰层与底部接触面传导的热量;qe是冰层升华以及水蒸发散走的热量;qa2是冰层与环境的自然对流换热的热量。
冰层覆盖在有激励器开缝出口的机翼模型表面,接收的能量分为2部分,第1部分是激励器底部电加热片-铝合金-冰层的路线传递的热量,第2部分是激励器底部电加热片-激励器内部空气-开缝-冰层的路线传递的热量。虽然金属的导热能力远远比空气的导热能力强,但由于腔体内部的膜片振动引起了压力脉动,导致腔体内部发生强迫对流换热,使得电加热片产生的热量传导得更快,故表 2中3种温度条件下热射流均提升了除冰效果,而不开启电加热只有单独的腔内膜片振动,没有能量传输无法使冰融化。
2.3 3种开缝角度除冰采取3种合成热射流开缝角度在-15℃条件下进行了实验,得到的除冰时间如表 3所示。
腔体至机翼表面的开缝长度可无量纲化表示为1/sinθ,可知开缝角度为17.5°时对应的开缝长度约为开缝角度为90°时对应的开缝长度的3.3倍,相应的除冰时间也从140s增加到了194s。结合式(1) 的能量分析可知,不同的开缝角度不影响冰层与底部接触面传导的热量qn,主要影响强迫对流换热的热量qa1。开缝角度越小,壁面的阻滞造成速度分量的损失,同时由于结冰条件下合成双射流激励器内部流动为低速流动,机翼模型内部孔缝越长,雷诺数越大,边界层的粘滞作用越强,导致合成热射流速度损失越大,能量扩散和输运效果越差。
3 结论利用合成热射流对机翼进行防冰控制[11-13]具有较好的应用前景,即在过冷来流中对机翼进行防冰,同时合成热射流也一定的除冰效果,其展现的可分布式、小型化、电控等特点有望解决小型飞行器防除冰问题。本文采用合成热射流对机翼除冰的效果进行了显微可视化实验研究。实验结果表明:
(1) 加热的合成双射流能够有效除冰,且环境温度越高,机翼表面和冰层同空气自然对流换热散失的能量越小,除冰速度越快,时间越短;
(2) 合成双射流单独除冰效果不明显,合成热射流除冰的主要机理为金属壁面导热和开缝处空气与冰层的强迫对流换热,使用加热条件下的合成双射流能够加速电热片产生的热能向积冰的传递,因而加快电热除冰速度;
(3) 3种机翼射流开缝角度比较,与机翼弦长呈90°时除冰效果最明显,这样可以减少开缝角度产生的速度分量阻滞及开缝壁面边界层的粘滞作用,最大程度减少合成双射流的速度损失。
在机翼模型除冰实验过程中,由于电热贴片发热功率有限、机翼模型与实际飞机机翼结构的差异,且电热片较大部分热量被基底散失,得到的除冰时间仍不理想,距离工程应用有一定差距,为提高合成热射流的除冰能力,下一步可重点开展以下工作:
(1) 采用更接近机翼蒙皮实际的结构,并进行过冷来流条件下的合成热射流除冰实验;
(2) 对合成热射流机翼除冰过程进行流固耦合数值模拟,定量研究不同射流角度对应的内部空隙长度与除冰时间的关系;
(3) 优化结冰气象条件下合成射流激励器工作参数,如激励器工作电压、频率、电热片位置、激励器位置等,提高激励器的工作性能。
| [1] | Lee S, Bragg M B. Investigation of factors affecting iced-airfoil aerodynamics[J]. Journal of Aircraft, 2003, 40(3): 499–508. DOI:10.2514/2.3123 |
| [2] | 袭燮纲, 韩风华. 飞机防冰系统[M]. 北京: 航空专业教材编审组, 1985. Qiu X G, Han F H. Aircraft anti-icing system[M]. Beijing: Aeronautic Specialty Textbook Read and Edit Group, 1985. |
| [3] | 马蕾, 王贤明, 宁亮. 飞机防冰涂料的研究进展[J]. 中国涂料, 2014, 29(1): 11–18. Ma L, Wang X M, Ning L. Research progress of aircraft anti-icing[J]. China Coatings, 2014, 29(1): 11–18. |
| [4] | 李清英. 电脉冲除冰系统的实验、理论与设计研究[D]. 南京: 南京航空航天大学, 2012. Li Q Y. Research on the experiments, theories, and design of the electro-impulse de-icing system[D]. Nanjing: Nanjing University of Aeronautics and Astroautics, 2012. http://mall.cnki.net/magazine/Article/HKXB201208005.htm |
| [5] | Mathieu P, Wagdi G H, Alberto P. Design optimization of hot-air anti-icing systems by FENSAP-ICE[C]. 48th AIAA Aerospace Sciences Meeting, 2010: 2010-1252. |
| [6] | 肖春华. 飞机电热除冰过程的传热特性及其影响研究[D]. 绵阳: 中国空气动力研究与发展中心, 2010. Xiao C H. Study on heat transfer characteristics and effects of electrothermal aircraft de-icing[D]. Mianyang: China Aerodynamics Research and Development Center, 2010. |
| [7] | Daniel B S, Florent R, Darren J H, et al. Shape memory alloy rotor blade deicing[C]. Structures, Structural Dynamics, and Materials and Co-located Conferences, 2013: 2013-1915. |
| [8] | Samuel T B, Noa L, Jennifer G, et al. Electrothermal icing protection of aerosurfaces using conductive polymer nanocomposites[C]. Structures, Structural Dynamics, and Materials and Co-located Conferences, 2013: 2013-1729. |
| [9] | 胡燕萍. 美国受毒蛙皮肤启发开发出新型飞机除冰涂层[J]. 军民两用技术与产品, 2015(11): 31. Hu Y P. American scientists developed a novel anti-icing coating which is inspired by poison frog[J]. Dual-use Techniques and Products, 2015(11): 31. |
| [10] | 蔡晋生, 田永强, 孟宣市, 等. 一种介质阻挡放电等离子体除积冰装置及方法: 中国, 201510275368. 3[P]. 2015-09-09. Cai J S, Tian Y Q, Meng X S, et al. A device and method in deicing using DBD plasma: China, 201510275368. 3[P]. 2015-09-09. |
| [11] | Nikisha N, Vladimir V G. On icing control using thermally activated synthetic jets[R]. AIAA-2013-0093, 2013. |
| [12] | Nikisha N, Vladimir V G. Parametric analysis of icing control using synthetic jet actuators[R]. AIAA-2013-2453, 2013. |
| [13] | Nikisha N. Numerical modeling of anti-icing using an array of heated synthetic jets[D]. Florida: Embry-Riddle Aeronautical University, 2013. http://commons.erau.edu/edt/index.3.html |
| [14] | Luo Z B, Xia Z X, Liu B. New generation of synthetic jet actuator[J]. AIAA Journal, 2006, 43(10): 2418–2419. |
| [15] | Luo Z B, Xia Z X. An adjustable synthetic jet by a novel PZT-driven actuator with a slide block[J]. Journal of Physics: Conference Series, 2006, 34(1): 487–495. |
| [16] | 李玉杰, 罗振兵. 水滴结冰结霜及合成双射流除霜除冰实验研究[J]. 实验流体力学, 2016, 30(3): 27–32. Li Y J, Luo Z B. An experimental investigation on the process of the droplet icing/frosting and defrosting/deicing using dual synthetic jet[J]. Journal of Experiments in Fluid Mechanics, 2016, 30(3): 27–32. |



