2. 河海大学 港口海岸与近海工程学院, 南京 210098;
3. 水文水资源与水利工程科学国家重点实验室, 南京 210098;
4. 港口航道泥沙工程交通行业重点实验室, 南京 210024
2. College of Harbor, Coastal and Offshore Engineering, Hohai University, Nanjing 210098, China;
3. The State Key Laboratory of Hydrology-Water Resources and Hydraulic Engineering, Nanjing 210098, China;
4. Key Laboratory of Port, Waterway and Sedimentation Engineering of Ministry of Transport, Nanjing 210024, China
21世纪是河口海洋经济的世界。在河口海岸开发利用中,泥沙输移引起的床面冲淤变化预报是工程建设中的关键技术问题之一。波浪和潮流是河口与海岸地带2种常见主要动力,在天文大潮和较强波浪作用下泥沙运动活跃。由于泥沙运动直接受制于床面剪应力的大小,因此床面剪应力是研究泥沙运动基本理论问题的重要途径之一。床面剪应力的测量方法大致可分为间接测量法和直接测量法。间接测量是通过测量水体底部边界层内脉动流速大小[1],然后通过理论公式计算剪应力。直接测量通过测量应力板位移等方法来计算剪应力大小[2-4]。剪应力间接测量结果的精度取决于流速测量的精度,由于边界层内脉动流速量测较为困难、精度不高,所以间接测量法在实际研究中应用较少。通过应力板直接测量床面剪应力的方法存在测量结果受水面波动引起正压力变化对剪应力测量精确度的影响问题。目前,对于水流或波浪作用下床面剪应力和泥沙运动研究成果相对较为成熟,但尚未有效探明波流等复杂动力作用下床面剪应力量测与计算方法。由于作用于泥沙颗粒上剪应力量小、变化快以及水下量测环境恶劣等原因,至今缺少波流等复杂动力作用下床面剪应力的有效量测方法,这在一定程度上制约了泥沙运动理论研究的进一步发展。
20世纪80年代,国内外开始研究应用基于微纳米技术的微型热敏式剪应力仪测量气流中壁面剪应力。通过30多年的发展,微型热敏式剪应力仪在空气动力学研究中得到了较为广泛的应用并逐步成熟,极大地推动了空气动力学的发展[5-6]。随着微机电系统(MEMS)的发展,微型热敏式剪应力仪逐步推广应用到水下剪应力测量,取得了一些突破[7-8]。但是由于水下剪应力较小、水下工作环境恶劣等原因,微型热敏式剪应力仪在水下剪应力测量应用中仍存在耐久性差、稳定性弱和精确度低等问题。因此,开展热敏式剪应力仪在波流复杂动力作用下床面剪应力量测研究工作具有重要的理论和实际意义。
1 热敏式剪应力仪简介波流作用下床面剪应力通过将基于微纳米技术的热敏式剪应力仪器贴附在床面进行量测,如图 1所示,传感器厚度约50μm,最大输出频率可达200Hz以上,可快速响应捕捉波浪等高频运动复杂动力条件下床面剪应力变化特征。热敏剪应力仪工作原理是利用流体经过热敏元件表面带走热量并转换为热敏元件输出电压信号变化进行工作的,分恒流法和恒温法2种工作模式。本次试验仪器采用恒流工作模式,工作原理示意如图 2所示。热敏仪器耐久性和稳定性从探头、衬底加工工艺等方面进行了改进,而精度则通过提升加热电流和探头电阻达到改善效果。与以往量测方法相比较,热敏剪应力仪具有响应频率高、对水体干扰小、操作方便等优势。针对波流作用下剪切应力量测范围0~3Pa和量测精度5%等关键参数目标设置,通过不断优化设计,最终确定了合适的仪器加热电流和探头电阻的量值范围。
|
| 图 1 微型热敏式剪应力仪 Fig.1 The micro thermosensitive shear stress gauge in the test |
|
| 图 2 微型热敏剪应力仪工作原理 Fig.2 Operating principle of the micro thermal shearometer |
在恒流模式下,通过传感器的驱动电流保持不变,加热功率P=UI=Q2~τn,最终得到热平衡方程[9]为:
(1)
式中:τ为剪应力值;U为热敏传感器的输出电压值;参数A、B和n由标定试验来确定。
为了得到标定所需输入的标准剪应力值[10],可以通过建立扁薄矩形管道来实现。仪器标定原理是通过间距极小的2个平行平板及其侧壁形成扁薄矩形通道,扁薄通道内全为纯剪切流,通道槽宽10mm,设计槽高0.63mm。通过调节扁薄矩形通道流量可以获得不同的标准剪应力输入值。不同水温下,剪应力和传感器输出电压的关系曲线如图 3所示,可见同一水温条件下,随着剪应力的增大,输出电压逐步减小;不同水温条件下,水温越高,输出电压越大[11]。
|
| 图 3 剪应力仪标定曲线 Fig.3 Calibration curves of the thermosensitive shear stress gauge |
当试验水温为11.6℃时,通过标定试验率定得到剪应力标准公式(1) 中参数A、B和n分别为7.8450、0.0875和-0.2950,拟合相关系数R约为0.85,剪应力校准公式可转换写为式(2)。
(2)
波流作用下剪应力量测试验在室内长直水槽内进行,试验水槽长175m、宽1.2m、高1.6m,如图 4所示。水槽底床为水泥抹面、侧壁为玻璃框架结构,水槽一端装有造波机,另一端为消波装置。造波系统可产生规则波和不规则波,规则波周期范围为0.5~5s。造波机由伺服发生器驱动,通过油压控制生波板水平往复运动,从而产生波浪。
|
| 图 4 试验水槽照片 Fig.4 The photo of test flume |
水槽试验仪器设备主要由控制系统和测量系统组成。其中,控制系统又由造波机、可逆变频双向泵和控制室组成,为试验提供波流模拟环境;测量系统包括波高采集系统、小威龙声学多普勒流速仪和温度计等,分别对波高、流速和水温等进行测量和采集。试验波高测量采用CBY-Ⅱ型波高测量控制系统,可同步采集处理30点波高,测量精度达0.1mm;水下流速采用Nortek-Ⅰ代小威龙三维流速仪测量,测量精度1mm/s,数据采集最高频率25Hz。
根据研究需要,波流作用下剪应力量测试验水深h范围为0.31~0.65m,波高H范围为0.10~0.26m,波周期T范围为1.2~2.5s,水流流速v范围为0.10~0.26m/s,试验期间水温约为11.6℃。波流试验条件组合设置时,考虑到波流同向、波流异向条件下波流不同强度组合条件等。
3 剪应力量测计算研究 3.1 波浪作用下床面剪应力变化特性波浪作用下热敏剪应力仪输出剪应力变化过程如图 5所示,热敏剪应力仪输出频率为100Hz。由图 5可见,一个波周期内量测剪应力过程线有2个波峰和波谷,波峰表示波浪往复运动中床面剪应力最大值,波谷表示波浪往复运动转换过程中床面剪应力最小值。波浪作用下电压量测结果表明热敏剪应力仪响应频率高、稳定性好。
|
| 图 5 热敏剪应力仪输出剪应力变化过程 Fig.5 Variation process of output voltage of shear stress gauge |
波流同向传播条件下一个周期内微型热敏传感器输出剪应力过程比较如图 6所示,由图可见:(1) 波流同向传播时,波浪反向运动过程波流合成剪应力减小,而波浪正向运动过程波流剪应力增大;(2) 正负剪应力时间转换点发生变化,反向过程剪应力时间缩短,正向剪应力过程时间延长。
|
| 图 6 波流同向作用一个波周期内输出电压过程比较 Fig.6 Comparison of output voltage processes of co-propagating effect of wave-current in one period |
波流异向传播条件下一个周期内微型热敏传感器输出剪应力过程比较如图 7所示。由图可见,波流异向传播传感器输出剪应力过程与同向传播规律恰好相反。从剪应力变化过程来看,新型仪器能很好地捕捉反映波流作用下剪应力高频变化过程,输出电压变化过程结果总体可信。
|
| 图 7 波流异向作用一个波周期内输出电压过程比较 Fig.7 Comparison of output voltage processes of counter-propagating effect of wave-current in one period |
当波浪和水流方向一致时,Bijker[12]给出了1个波动周期内床面合成剪应力经典计算公式(3):
(3)
式中:u0为波动水质点底部水平分速;v为水流流速;系数ξ采用Swart[13]计算方法,
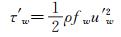
研究表明,波浪对水流的影响主要表现在水面波动引起水深和流速的变化,而水流对波浪的影响主要表现在波高的变化。基于应力叠加基本原理,本文研究提出了波流合成剪应力修正计算方法:
(4)
(5)
(6)
式中:τ′ c为考虑波浪对水流影响修正后的水流剪应力,谢才摩阻系数
利用试验测量资料对波流合成剪应力经典Bijker计算方法和本文修正方法进行了比较分析,如图 8所示。可见,Bijker公式计算值总体有所偏大,而本文修正计算方法拟合结果相对更好。与经典Bijker公式计算结果相比较,本次研究成果与其定性总体一致,定量上存在一些差别。由于波流相互作用问题的复杂性,下阶段仍需利用新型热敏剪应力仪等设备深入研究波流不同夹角作用下剪应力问题。
|
| 图 8 波流作用下剪应力计算值与实测值比较 Fig.8 Comparison between the calculated value and the measured value of shear stress with wave-current effect |
由于波流作用下水下床面剪应力具有量值小、变化快、量测环境恶劣等原因,一直缺少有效的量测方法,一定程度上制约了泥沙运动理论研究的发展。本文利用基于微纳米技术的新型热敏切应力仪,通过室内波流长直水槽试验量测研究了水下床面剪应力响应变化规律。主要结论如下:
(1) 热敏剪应力仪响应频率高、稳定性强,较好地反映了波浪及波流作用下床面剪应力变化基本规律,仪器量测结果稳定可靠。
(2) 利用波流试验剪应力量测成果,基于应力叠加基本原理,研究提出了波流共同作用下最大剪应力计算方法,公式拟合结果总体良好。
(3) 由于波流相互作用问题的复杂性,仍需利用新型热敏剪应力仪等设备深入研究波流作用不同夹角条件下剪应力计算问题。
致谢: 西北工业大学微/纳米系统实验室马炳和教授的研究团队为本文的实验研究提供了MEMS柔性热膜式剪应力传感器和指导使用帮助,作者在此表示衷心感谢。| [1] | Sleath J F A. Transition in oscillatory flow over rough beds[J]. Journal of Waterway, Port, Coastal Ocean Engineering, 1988, 114: 18–33. DOI:10.1061/(ASCE)0733-950X(1988)114:1(18) |
| [2] | 秦崇仁, 仇学艳, 李德筠, 等. 随机波浪作用下底部层流边界层切应力谱的研究[J]. 水利学报, 1999, 12: 48–52. Qin C R, Qiu X Y, Li D J, et al. A study of bottom shear stress of laminar boundary layer in random waves[J]. Journal of Hydraulic Engineering, 1999, 12: 48–52. DOI:10.3321/j.issn:0559-9350.1999.12.009 |
| [3] | Hamid M, Ian R Y. Direct measurements of the bottom friction factor beneath surface gravity waves[J]. Applied Ocean Research, 2003, 25: 269–287. DOI:10.1016/j.apor.2004.02.002 |
| [4] | 霍光. 波流边界层底沙运动研究[D]. 南京: 河海大学, 2007: 1-51. Huo G. A study of sediment movement on wave flow boundary layer[D]. Nanjing: Hohai University, 2007: 1-51. |
| [5] | Haritonidis J H. The measurement of wall shear-stress[J]. Advances in Fluid Mechanics, 1989: 229–261. |
| [6] | Jonathan W N, Mark S. Modern developments in shear stress measurement[J]. Progress in Aerospace Sciences, 2002, 38: 515–570. DOI:10.1016/S0376-0421(02)00031-3 |
| [7] | Xu Y X, Lin Q, Lin G Y, et al. Micromachined thermal shear-stress sensor for underwater applications[J]. Journal of Microelectromechanical Systems, 2005, 14(5): 1023–1030. DOI:10.1109/JMEMS.2005.856644 |
| [8] | 梁婷, 夏云峰, 徐华, 等. 波浪作用下床面切应力测量初探[J]. 水道港口, 2010, 31(5): 425–428. Liang T, Xia Y F, Xu H, et al. A primary study of bed shear stress wave measurement in waves and flows[J]. Journal of Waterway and Harbor, 2010, 31(5): 425–428. |
| [9] | Xu Y. Flexible MEMS skin technology for distributed fluidic sensing[D]. USA: California Institute of Technology Pasadena, 2002: 1-136. |
| [10] | Schetz J A, Fuhs A E. Handbook of fluid dynamics and fluid machinery[M]. Vol Ⅰ: John Wiley & Sons Inc, 1996: 1921-1989. |
| [11] | 马炳和, 王毅, 姜澄宇, 等. 柔性热膜剪应力传感器水下测量温度修正[J]. 实验流体力学, 2014, 28(2): 39–44. Ma B H, Wang Y, Jiang C Y, et al. Temperature correction of flexible thermal shear stress sensor for underwater measurements[J]. Journal of Experiments in Fluid Mechanics, 2014, 28(2): 39–44. DOI:10.11729/syltlx20140006 |
| [12] | Bijker E W. Some considerations about scales models with moveable beds[J]. Delft Hydraulics Lab Publ, 1967, 50: 1–142. |
| [13] | Swart D H, Fleming C A. Long shore water and sediment movement[C]. Proceedings of the 17th Conference on Coastal Engineering Conference, 1980, 2: 93-109. https://www.researchgate.net/publication/248574769_Holocene_geoarchaeology_of_the_Sixteen_Mile_Beach_barrier_dunes_in_the_Western_Cape_South_Africa |



