2. 中国科学院力学研究所, 北京 100190;
3. 北京控制工程研究所, 北京 100190
2. Institute of Mechanics, Chinese Academy of Sciences, Beijing 100190, China;
3. Beijing Institute of Control Engineering, China Academy of Space Technology, Beijing 100190, China
绿色推进技术已成为空间推进技术领域的研究热点[1],其中ADN([NH4]+[N(NO2)2]-)单组元液体推进剂以其高能、绿色无毒、相容性好、低特征信号等特性,成为了新型绿色推进剂的合适候选[2-5]。ADN基单组元推力器既具有单元推力器推进结构简单、可靠性高的优点,又拥有接近双组元推进的性能特性,在未来的航天任务中具有广泛的应用前景,国外在此领域已经开展了大量的工作[6-11]。
ADN基推进剂的分解、燃烧反应过程非常复杂,目前国内外对ADN基推进剂分解和燃烧过程缺乏统一、完善的燃烧动力学机理,尤其欠缺有效的内流测试手段,对推力器地面热试车试验燃烧室内部燃气参数进行在线诊断。内部气流参数,尤其是组分浓度的定量诊断在国内外单组元化学推力器地面实验中几乎是空白,迫切需要发展具有浓度定量测试能力的非接触测量技术[12]。近年来,激光吸收光谱技术以其多参数同时测量,测量精度和重复频率高,已广泛应用于超燃直联台、激波风洞、激波管等设备的在线气流诊断[12],是诊断ADN基推力器燃烧过程的理想手段。中国科学院力学研究所利用激光吸收光谱诊断的方法,在国内外首次获得了对于ADN基单组元推力器内部燃烧过程的气流参数,初步获得了关键组分浓度、燃气温度随时间的变化规律[13-16]。
本文利用新型的中红外量子级联激光吸收光谱技术(QCLAS),开展ADN基推进剂分解、燃烧过程中关键中间产物CO、N2O和燃气温度定量研究,实现了高压、高温、短程条件下复杂燃烧场的在线实时诊断。研究了推力器稳态点火和脉冲点火2种典型工况下,燃烧产物浓度和燃气温度随喷前压改变的演化规律,实验结果证明了ADN基推力器良好的稳态点火和脉冲点火能力,清晰的区分了推进剂催化分解和燃烧2个阶段。本研究工作有益于理解ADN基推进剂反应动力学机理,进一步可作为常规的推力器地面试验内流测试手段,评估推力器性能和指导推力器整机设计。
1 试验部分 1.1 ADN基推进剂反应机理介绍ADN基推进剂是ADN(NH4N(NO2)2)、水和燃料(甲醇)3者的混合物。结合国内外的研究工作,其可能机理与路径可以归纳为2个分支,如图 1所示。CO,N2O是ADN基推力器燃烧室分解反应和燃烧反应的重要产物,本实验通过对这2种组分的实时测量,研究ADN热分解及燃烧的反应进程。
1.2 激光吸收光谱测量原理直接吸收光谱的基本理论已经得到研究者的深入研究[18-19],一束频率为ν的激光通过待测流场,前后光强发生变化,入射光强和出射光强满足Beer-Lambert定律:
(1)
式中:I0为入射光强;I为出射光强;αν 表示吸收率,满足:
(2)
P表示静压,atm;X为待测组分浓度,测量时用PX表示待测组分的分压;S(T) 表示吸收谱线的线强度,(cm-2·atm-1);L表示吸收长度,cm;φ(ν)表示线型函数,与温度和压力有关,φ(ν)满足∫φ(ν)dν=1,对公式(2)积分,可得积分吸收率A:
(3)
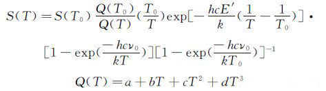
谱线线强度S(T)是温度的单值函数:
(4)
Q(T)是组分的配分函数,对于H2O双线测温,积分吸收比R表示2条待测谱线积分吸收率之比,有如下表示:
(5)
通过R与T的对应关系即可得到燃烧室气流的温度,待测组分浓度测量采用单线吸收,通过公式(6)得出:
(6)
本文选用的中红外量子级联激光吸收光谱技术(QCLAS)是在原有近红外吸收光谱技术(NIR-LAS)基础上发展的流场诊断技术,在近年来才逐步应用于对实际燃烧流场的诊断[20-21]。中红外吸收光谱相比于近红外吸收探测,最大的优势在于其对各种组分的探测极限可以至少提高2~3个量级,适用于对ADN基推力器(小尺寸、高温、高压、微量组分) 燃烧内流的探测。本实验采用4.6和5.2μm波长附近的2台DFB量子级联激光器进行浓度测量。4.6μm量子级联激光器的可调谐频率范围在2187和2201cm-1之间,结合ADN基推力器燃烧室对应的温度、压力和浓度条件,N2O选用2192.48cm-1(P33)和2193.54cm-1(P32)2条谱线,CO选用2193.36cm-1(R13)吸收线。实验中同时扫描这3条谱线,同时测量N2O,CO。表 1给出了浓度测量谱线的光谱参数:
| Species | Wavelength /cm-1 | Linestrength S(296K) /(cm-2·atm-1) | Lower state energy E″ /cm-1 |
| N2O | 2192.48 | 8.39 | 469.91 |
| N2O | 2193.54 | 9.30 | 442.28 |
| CO | 2193.36 | 6.02 | 349.70 |
借鉴本研究小组早期对超燃直联台燃烧室、激波风洞等高超设备的近红外H2O测温[36],基于本实验ADN推力器点火工作的实验条件(T:500~1500K,P:0.1~0.6MPa,XH2O:0.2~0.6),实验选择7185cm-1(J′K′-1 K′-1=660←J″K″-1K″-1=661)和 7444cm-1(J′K′-1K′-1=13,2,12←J″K″-1K″-1=12,2,11)双线组成双色测温线对,表 2给出了这2条测温谱线的光谱参数。
|
Wavelength /cm-1 | Linestrength S(296K) /(cm-2·atm-1) | Lower state energy E″/cm-1 |
| 7185.597 | 0.0197 | 1045.058 |
| 7444.35+ 7444.37 | 0.00112 | 1774.751 1806.670 |
ADN基光学推力器组件包含电磁阀,喷注器,催化床,带光学窗口的燃烧室和尾喷管,如图 2所示。推力器通过燃烧生成的高温高压气体经喷管排出产生推力。
|
| 图 2 ADN基推力器激光燃烧诊断系统示意图 Fig.2 Schematic of laser-based absorption sensors for ADN based thruster |
光学测量的位置位于燃烧中心截面,光学测量系统分为2部分:(1)H2O双线测温;(2)CO、N2O浓度测量。H2O双线测温采用分时直接探测策略,将信号发生器的标准脉冲锯齿波经方波调制成2个半锯齿波,分别调制2台电流控制器。2台H2O激光器的输出激光经光纤耦合器耦合进入1根单模光纤中,经准直器进入推力器燃烧室待测截面,透射光由对测单台硅探测器采集,近红外测量频率为1kHz。在光学测量过程中,为了有效避免室内空气H2O的干扰,可以引入光纤,同时在光路上采用N2吹除。浓度测量采用中红外吸收光谱技术,CO和N2O测量使用单台4.6μm量子级联激光器,中红外测量频率为100Hz。中红外激光尽可能保证与近红外H2O双线测温在同一个测量截面,激光通过燃烧室后,透射光用InSb探测器接收。
2 实验结果和分析ADN基推力器有2种典型的工作模式:稳态点火和脉冲点火。影响其工作性能的参数主要有3个:(1)喷注器入口压力,即喷前压。改变喷前压会影响推进剂的流量,影响推进剂在催化床和燃烧室的反应时间,进而改变推进剂的释热率;(2)催化床预热温度。催化剂需要高于一定温度才能发挥催化活性,使ADN快速分解;(3)催化床长度。合适的床长既能保证推进剂分解完全,又能最小化流动损失和热损失,合适的床长是推力器结构设计的重要一环。对于本次实验采用的推力器,催化床长度设计为19mm,对应现有的原理样机设计方案。催化床温度确定为推力器在轨点火启动温度200℃,实验主要考察了1.2、0.8和0.5MPa(绝对压力)3组喷前压下,推力器稳态点火和脉冲点火的燃烧过程。其中200℃,1.2MPa喷前压(对应质量流量为0.48g/s)条件下点火对应ADN基推力器的标准点火工况。
2.1 稳态点火图 3给出了10s稳态点火标准点火(喷前压:1.2MPa)过程中N2O浓度的测量结果。点火开始前催化剂已预热,此时N2O浓度很低(小于0.1%),这些N2O来自于催化床中残留推进剂在预热过程中发生的热分解。点火启动后N2O浓度急剧上升,达到峰值之后N2O开始迅速下降,在2s以后基本达到平衡,平衡浓度值约为0.3%,说明这个阶段内燃烧反应进行程度非常高,可以定义为图 1中ADN推进剂反应的燃烧阶段,在2s之前的时间段界定为ADN的分解反应阶段。1.2、0.8和0.5MPa喷前压下,N2O浓度均呈现类似的趋势,可以明显地区分分解反应和燃烧反应。
|
| 图 3 稳态点火N2O浓度 Fig.3 Measured concentration of N2O in the combustion chamber for steady-state firing |
文献[22]是基于ADN推进剂分解机理的数值计算,研究认为点火开始的早期阶段,温度较低时,反应分支一 (NH4N(NO2)2→NH4NO3+N2O) 占据主导。这与本实验中N2O浓度迅速上升阶段是一致的。其后,作为一种高能、小分子氧化剂,N2O迅速与燃料反应生成 N2,消耗殆尽。与之对应,CO作为燃烧反应的典型产物,表征燃烧反应进行程度。CO组分浓度的升高来自甲醇脱氢反应,点火初期,反应以推进剂分解为主,CO浓度上升;随着燃烧反应程度加深,部分CO进一步被氧化,CO浓度出现回落,最终达到平衡。详细分析CO的生成,它来源于推进剂中燃料甲醇的燃烧反应。Li等发展的甲醇氧化详细机理显示[23],CO是来自于甲醇逐步的脱氢反应。从图 4和5可以看到,同一喷前压工况下,推进剂反应过程中CO与N2O发生反应,CO浓度达到峰值的时刻对应N2O浓度达到平衡的时刻。随着喷前压的下降,该时刻向后推迟,显示一个逐步变慢的燃烧反应进程。需要强调的是,在图 4中点火即将结束(t=8~10s)时,0.5MPa点火条件下CO浓度出现上升,显示一个不稳定的燃烧过程,推力器点火工作异常。
|
| 图 4 稳态点火CO浓度 Fig.4 Measured concentration of CO in the combustion chamber for steady-state firing |
图 5给出了10s稳态点火过程中,1.2、0.8和0.5MPa喷前压下推力器燃烧室内的燃气温度测量结果。在1.2MPa时,点火启动后燃气温度迅速上升,很快达到平衡温度(约1500K)。在0.8MPa时,点火启动后燃气温度建立平衡变慢,但仍能达到平衡,平衡温度与喷前压1.2MPa点火工况接近,说明此喷前压范围内推进剂燃烧稳定,释热完全,推力器属于正常工作状态。在较低的喷前压点火工况(0.5MPa),燃烧室燃气温度无法建立平衡,出现剧烈的上下震荡,且燃气温度保持在1200K以下,远低于正常值,说明此工况下推进剂燃烧不稳定,释热不完全,推力器处于异常工作状态。
|
| 图 5 稳态点火燃气温度 Fig.5 Measured temperature in the combustion chamber for steady-state firing |
脉冲点火模式是推力器在轨工作的重要方式,用于微量调整卫星姿态。本文研究ADN基推力器在脉冲点火模式下推进剂的燃烧过程。实验通过定时控制器输出的脉冲信号控制电磁阀开启和闭合,以实现推力器的脉冲点火。电磁阀开关时间为0.1s ON/2s OFF,每次实验脉冲次数为10次。
图 6和7分别给出了20s脉冲点火过程中测得的N2O和 CO浓度结果。N2O、CO组分浓度变化规律与点火脉冲序列显示良好的一致性:随着脉冲启动,组分浓度迅速升高,单脉冲点火结束,组分浓度迅速回落。对于N2O,随着脉冲序列的进行,每个脉冲的N2O峰值浓度逐渐减小,说明燃烧反应逐渐加剧;而对于CO,脉冲的峰值浓度上下震荡,且低于稳态点火的结果,说明燃烧反应进行程度较低,反应不稳定,10个脉冲点火下,推进剂分解燃烧反应无法达到平衡,推力器工作难以达到稳定状态。
|
| 图 6 脉冲点火N2O浓度 Fig.6 Measured concentration of N2O in the combustion chamber for pulse-mode firing |
|
| 图 7 脉冲点火CO浓度 Fig.7 Measured concentration of CO in the combustion chamber for pulse-mode firing |
此外,最初几个脉冲周期内,N2O、CO组分浓度下降的速率较慢,随着点火脉冲序列继续,下降速率逐渐加快,这应归结于脉冲启动初期的分解燃烧反应速率较慢,多个脉冲点火后推进剂分解燃烧反应速率逐渐上升。
图 8给出了推力器脉冲点火工况下的燃气温度的测量结果。推力器在1.2、0.8和0.5MPa喷前压下点火工作,燃气温度建立和回落与脉冲序列非常一致。由于脉冲点火时间较短,推进剂燃烧不完全,燃气温度无法达到平衡,10个脉冲周期内,燃气温度呈现震荡上升的趋势。在1.2MPa点火工况,脉冲周期内燃气温升明显,燃气温度接近1200K,低于稳态点火燃气温度值,说明此脉冲工况,ADN分解反应较完全,而燃烧反应进行程度低于对应稳态点火工况,推力器仍然没有达到稳定工作状态。在0.8和0.5MPa点火工况,脉冲周期内燃气温升低于200K,燃气温度值低于700K,说明此时ADN分解反应不完全,燃烧反应进行程度接近于0,推力器工作不正常。
|
| 图 8 脉冲点火燃气温度 Fig.8 Measured temperature in the combustion chamber for pulse-mode firing |
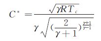
特征速度C*表征推进剂化学能转化为热能的有效度量,是评估推力器工作性能的关键指标,其值取决于推进剂燃烧产物的热力学特性,与燃烧温度Tc、产物气体常数R和比热比γ相关,C*越大,说明推进剂的能量越高,对应更高的气体喷出速度。C*可以用公式(7)表示[24]:
(7)
图 9给出了1.2、0.8和0.5MPa这3组喷前压下推力器稳态点火和脉冲点火的特征速度。对于稳态点火工况,推力器正常点火工况下,推力器的特征速度在1130m/s左右,同类型肼推力器的特征速度一般在1100m/s,说明ADN基的性能指标已经达到了同类型肼推力器的标准[25]。随着喷前压下降,特征速度有一个先维持稳定、后逐渐降低的变化趋势。
|
| 图 9 稳态、脉冲点火下推力器性能比较 Fig.9 Performance comparison of steady-state firing and pulse-mode firing |
对于脉冲点火工况,特征速度定义为10个脉冲点火周期内最大特征速度的平均值。随着喷前压的下降,推力器的特征速度呈整体下降的趋势,但较低的喷前压下出现波动。这是因为脉冲点火下,点火初期的几个脉冲周期内推进剂分解、燃烧过程以分解反应为主,推进剂无法保证进行充分的催化分解,燃烧反应进行程度非常低,燃烧室内燃烧处于不稳定状态,随着喷前压的下降,燃烧不稳定加剧。
4 结 论本文以1N ADN基单组元卫星推力器为研究对象,利用中红外量子级联激光吸收光谱技术开展了推力器稳态点火和脉冲点火下燃烧室内的燃烧过程定量诊断,得到如下结论:
(1) 首次实现了ADN基推力器内部燃烧过程中的多参数测量,获得了实时的CO,N2O多组分浓度和温度的结果。多参数的在线实时诊断从实验上验证了ADN推进剂分解和燃烧两步反应阶段,对于理解ADN基分解、燃烧反应路径具有重要意义。
(2) ADN基推力器稳态点火和脉冲点火2种主要工况测量结果验证了推力器良好的稳态、脉冲工作特性,证明了所发展光学非接触式测量技术可作为推力器热试车试验的常规有效测试手段。
(3) 推力器性能评估显示,标准点火工况下,ADN基推力器的特征速度在1130m/s左右,性能指标已经达到了肼推力器的标准。
在后续的研究工作中,将基于激光吸收光谱技术(LAS),开展对燃烧室沿轴向多点空间分布测量,进而获得ADN推力器工作过程中燃烧室内分解燃烧反应的整个过程。
| [1] | Gohardani A S, Stanojev J, Demaire A, et al. Green space propulsion: Opportunities and prospects[J]. Progress in Aerospace Sciences, 2014, 71: 128–149. DOI:10.1016/j.paerosci.2014.08.001 |
| [2] | Kamal F, Yann B, Rachid B, et al. Application of ionic liquids to space propulsion[M]. Rijeka, Croatia: InTech, 2011: 447-466. |
| [3] | Amrousse R, Hori K, Fetimi W, et al. HAN and ADN as liquid ionic monopropellants: thermal and catalytic decomposition processes[J]. Applied Catalysis B: Environmental, 2012, 127: 121–128. DOI:10.1016/j.apcatb.2012.08.009 |
| [4] | Kappenstein C, Batonneau Y, Perianu E, et al. Non toxic ionic liquids as hydrazine substitutes. Comparison of physico-chemical properties and evaluation of ADN and HAN[C]//Proc of 2nd European Space Agency International Conference on Green Propellants for Space Propulsion (ESA SP-577), 2004. |
| [5] | Bombelli V, Marée T, Caramelli F. Non-toxic liquid propellant selection method-a requirement oriented approach[C]. 41st AIAA/ASME/SAE/ASEE Joint Propulsion Conference&Exhibit, 2005. |
| [6] | Anflo K, Crowe B. In-space demonstration of an ADN-based propulsion system[C]. 47th AIAA/ASME/SAE/ASEE Joint Propulsion Conference&Exhibit, 2011. |
| [7] | Anflo K, Grönland T A, Wingborg N. Development and testing of ADN-based monopropellants in small rocket engines[C]. 36th AIAA/ASME/SAE/ASEE Joint Propulsion Conference&Exhibit, 2000. |
| [8] | Anflo K, Grönland T A. Towards green propulsion for spacecraft with ADN-based monopropellants[C]. 38th AIAA/ASME/SAE/ASEE Joint Propulsion Conference&Exhibit, 2002. |
| [9] | Anflo K, Mollerberg R. Flight demonstration of new thruster and green propellant technology on the PRISMA satellite[J]. Acta Astronautica, 2009, 65(9-10): 1238–1249. DOI:10.1016/j.actaastro.2009.03.056 |
| [10] | Neff K, King P, Anflo K, et al. High performance green propellant for satellite applications[C]. 45th AIAA/ASME/SAE/ASEE Joint Propulsion Conference&Exhibit, 2009. |
| [11] | Anflo K, Persson S, Bergman G, et al. Flight demonstration of an ADN-based propulsion system on the PRISMA satellite[C]. 42nd AIAA/ASME/SAE/ASEE Joint Propulsion Conference&Exhibit, 2006. |
| [12] | Hanson R K. Applications of quantitative laser sensors to kinetics, propulsion and practical energy systems[J]. Proceedings of the Combustion Institute, 2011, 33(1): 1–40. DOI:10.1016/j.proci.2010.09.007 |
| [13] | Yao Z, Zhang W, Wang M, et al. Tunable diode laser absorption spectroscopy measurements of high-pressure ammonium dinitramide combustion[J]. Aerospace Science and Technology, 2015, 45: 140–149. DOI:10.1016/j.ast.2015.05.003 |
| [14] | Zeng H, Li F, Zhang S, et al. Midinfrared absorption measurements of nitrous oxide in ammonium dinitramide monopropellant thruster[J]. Journal of Propulsion and Power, 2015, 31(5): 1496–1500. DOI:10.2514/1.B35648 |
| [15] | 张伟, 沈岩, 姚兆普, 等. 基于量子级联激光器的ADN基液体发动机稳态燃烧CO特征浓度的实验测量[J]. 中国科学技术科学 (中文版), 2015, 45(1): 15–20. Zhang W, Shen Y, Yao Z P, et al. Concentration measurement of carbon monoxide in the combustion chamber of ADN-based thruster with QCL[J]. Sci Sin Tech, 2015, 45(1): 15–20. |
| [16] | 张伟, 沈岩, 余西龙, 等. ADN基发动机燃烧室CO组分实验测量[J]. 推进技术, 2015, 36(5): 650–655. Zhang W, Shen Y, Yu X L, et al. Concentration measurement of carbon monoxide in combustion chamber of an ADN-Based propellant thruster[J]. Journal of Propulsion Technology, 2015, 36(5): 650–655. |
| [17] | Sinditskii V P, Egorshev V Y, Levshenkov A I, et al. Combustion of ammonium dinitramide, Part 2: combustion mechanism[J]. Journal of Propulsion and Power, 2006, 22(4): 777–785. DOI:10.2514/1.17955 |
| [18] | Baer D S, Nagali V, Furlong E R, et al. Scanned- and fixed-wavelength absorption diagnostics for combustion measurements using multiplexed diode lasers[J]. AIAA Journal, 1996, 34(3): 489–493. DOI:10.2514/3.13094 |
| [19] | Nagali V, Chou S I, Baer D S, et al. Tunable diode-laser absorption measurements of methane at elevated temperatures[J]. Applied Optics, 1996, 35(21): 4026–4032. DOI:10.1364/AO.35.004026 |
| [20] | Spearrin R, Goldenstein C, Schultz I, et al. Simultaneous sensing of temperature, CO, and CO2 in a scramjet combustor using quantum cascade laser absorption spectroscopy[J]. Applied Physics B, 2014, 117(2): 689–698. DOI:10.1007/s00340-014-5884-0 |
| [21] | Schultz I A, Goldenstein C S, Mitchell R Spearrin, et al. Multispecies midinfrared absorption measurements in a hydrocarbon-fueled scramjet combustor[J]. Journal of Propulsion and Power, 2014, 30(6): 1595–1604. DOI:10.2514/1.B35261 |
| [22] | Thakre P, Duan Y, Yang V. Modeling of ammonium dinitramide (ADN) monopropellant combustion with coupled condensed and gas phase kinetics[J]. Combustion and Flame, 2014, 161(1): 347–362. DOI:10.1016/j.combustflame.2013.08.006 |
| [23] | Li J, Zhao Z, Kazakov A, et al. A comprehensive kinetic mechanism for CO, CH2O, and CH3OH combustion[J]. International Journal of Chemical Kinetics, 2007, 39(3): 109–136. DOI:10.1002/kin.20218 |
| [24] | 屠善澄. 卫星姿态动力学与控制[M]. 北京: 中国宇航出版社, 2006. |
| [25] | Hinckel J N, Jorge J A, Neto T G S, et al. Low cost catalysts for hydrazine monopropellant thrusters[C]//Proceedings of the 45th AIAA/ASME/SAE/ASEE Joint Propulsion Conference&Exhibit, 2009. |


