在飞行器设计过程中,必须对其气动性能进行分析及综合设计。动稳定性导数(动导数)作为描述飞行器机动飞行和受扰动时气动特性的关键性气动参数,在飞行器气动性能设计、控制系统和总体设计中必不可少[1-4]。直接阻尼导数是最常用,也是对飞行器性能影响较大的动导数之一。其中滚转阻尼导数由于其量级相对较小(特别是对于导弹类飞行器)的特点,对机械阻尼的要求较高,在风洞试验中精准测量的难度大[3, 5]。
现有滚转阻尼导数测量风洞试验多采用自由振动试验技术[3-4]。该方法简单实用,能够测量多个方向的直接阻尼导数。赵忠良、任斌等[5-6]利用自由振动试验技术测量了短粗类模型俯仰与偏航动导数;龚卫斌[7]在俯仰阻尼导数的测量试验中取得了良好的结果。自由振动试验技术需要依靠经验设计弹性铰相关参数以满足振动频率等试验要求,其抗载荷能力、特别是一体式弹性铰也具有一定的局限性。随着飞行器有效突防需求的提高,高机动能力的要求使得飞行器自然频率进一步降低,风洞试验中对减缩频率模拟的难度也进一步增大;同时滚转阻尼导数试验要求测量的量级越来越小、精度要求越来越高;需要建立成熟、系统、低机械阻尼的滚转阻尼导数测量试验技术。高清等[8-9]研制了抗载荷能力较强的组合式自由振动弹性铰,并应用于升力体的横侧向稳定性研究中,但未进行滚转阻尼导数的测量。白葵等[10]和赵俊波等[11-12]利用基于气浮轴承的自由滚转试验技术同时测得了滚转静力矩和滚转阻尼导数,研究重点在于测量再入弹头的小不对称滚转力矩,因此并未指出滚转阻尼导数的测量能力和适用范围。
针对滚转阻尼导数测量的发展需求,中国航天空气动力技术研究院改进发展了组合式弹性铰自由振动试验技术、基于气浮轴承的自由滚转试验技术等多项试验技术,并应用于滚转阻尼导数测量的风洞试验。以不同气动外形飞行器为对象,在多种试验技术的基础上,通过不同模型进行系统的试验,研究各试验技术机械阻尼、试验频率等关键性试验指标的变化规律;给出了不同试验技术测量能力的适用范围;并根据不同的试验要求选择合理的试验技术方案。典型风洞试验结果表明,各试验技术能够满足不同的振动频率范围要求,同时具有多种量级的机械阻尼,可满足不同气动外形风洞试验需求。
1 试验设备和原理 1.1 一体式弹性铰自由振动试验技术一体式弹性铰自由振动试验技术在飞行器滚转阻尼导数测量中是较为常规和成熟的技术[3-4]。试验设备由弹性铰链、模型、支杆、气动激振装置和数据处理与采集系统等组成。其核心部件是采用弹性材料加工成截面形状为十字形弹性梁的整体弹性铰链结构(见图 1),该结构优点在于:小振幅试验精度高、设计简单、无需润滑、无磨损。
|
| 图 1 一体式滚转弹性铰 Fig.1 Photograph of the integrated roll flexible hinge |
试验时,环形拨杆由气动活塞推动,从而拨动模型产生初始滚转角位移,然后释放模型使之自由振动,模拟飞行器飞行时受到扰动而产生滚转角运动时的衰减过程,最后从试验衰减曲线中辨识得到气动滚转阻尼导数[3-4],具体过程在多篇文献中均有详细介绍,不再赘述。
试验时,应满足相似参数,除了马赫数和雷诺数外,还必须满足减缩频率ωc/V一致。减缩频率表征了飞行器运动与绕流流体运动在时域的同时性,是动态试验中需要考虑的重要相似参数。当某外形模型试验满足所需减缩频率的条件时,此时模型实际振动频率较低,则弹性梁厚度较薄,试验中易超出最大应力发生铰链折断的危险。因此,在满足减缩频率的条件下抗载荷能力有限是传统一体式弹性铰自由振动试验技术的最大缺点。
1.2 组合式弹性铰自由振动试验技术为了增强弹性铰抗载荷能力,研制发展出了组合式弹性铰[8](见图 2)。由于增加了直线轴承作为辅助承力部件,能够抵抗较大的径向载荷,极大地改善了弹性铰链的抗载荷能力。因此,弹性梁可以设计得更薄,更容易满足试验较低频率的要求。
|
| 图 2 组合式滚转弹性铰 Fig.2 Photograph of the combined roll flexible hinge |
除弹性铰链结构形式不同外,组合式弹性铰自由振动试验技术的基本原理、试验方法等与一体式弹性铰自由振动试验技术一致,虽然设计较为复杂、结构尺寸较大且存在轴承润滑和摩擦损耗等问题,但可满足更低频率的试验要求,并已在升力体高超声速飞行器非定常滚转气动特性研究中得到应用[8-9]。
1.3 基于气浮轴承的自由滚转试验技术基于气浮轴承的自由滚转试验技术的基本原理和试验方法与弹性铰自由振动试验技术不同,该技术能够对小不对称滚转静力矩进行测量的同时得到滚转阻尼导数[10-12]。其核心部件如图 3所示,其工作原理和试验方法在文献[10-11]中均有详细描述,这里简要介绍如下:
|
| 图 3 气浮轴承及模型装配 Fig.3 Gas bearing and test model assembling |
风洞启动后,模型在风洞中作自由滚转运动,可用滚转运动方程进行描述:
(1)
式中:P为模型转速,I为模型滚转转动惯量,D为模型底部直径,V为来流速度,q为来流动压,s为模型底部面积,Clp为滚转阻尼系数,Cl0为滚转静力矩系数。
针对滚转运动方程,使用最小二乘法对模型转速、转加速度变化曲线(P~dP/dt曲线)进行拟合,可获得滚转阻尼系数Clp和滚转静力矩系数Cl0[10]。因此,通过试验能够同时对滚转阻尼导数和滚转静力矩进行测量。近年来,结合气动建模、动力学仿真及气动辨识方法,基于气浮轴承的自由滚转试验技术已经能够进一步获得任意滚转角状态下的小不对称滚转静力矩系数[11-12]。
2 试验结果与分析根据前文所述及以往相关试验技术的研究经验,对某一型号飞行器模型滚转阻尼导数测量试验而言,准确模拟其飞行条件、满足减缩频率要求和准确测量其滚转阻尼导数是考验试验技术的2个关键指标。也就是说,除了试验机构的固有振动频率应达到相应要求外,试验机构在无风状态下的机械阻尼也应足够小。一般来说,机械阻尼的量级应当小于或等于气动阻尼(最好小于),以便能从风洞试验测得的总阻尼中扣除得到气动阻尼,避免带来其他非测量误差(大量级数减大量级数得到小量级数的计算误差)。本文以多个典型风洞和无风试验结果为例比较了各滚转阻尼导数测量试验技术特点,并进行分析和讨论。
2.1 弹性梁厚度的影响本文首先利用2种弹性梁厚度分别为1.2mm和1.6mm的一体式弹性铰链,配合不同模型进行了无风试验。其中,1.2mm厚度弹性铰链刚度系数K为28.49N·m/rad,1.6mm厚度弹性铰链刚度系数为62.39N·m/rad,A、B模型分别为某制导炸弹模型和某巡航弹模型,其滚转方向转动惯量Ix分别为1.9×10-2kg·m2和6.2×10-3kg·m2。固有振动频率和机械阻尼结果如表 1和图 4所示。其中,机械阻尼可通过无风试验进行测量:
(2)
| 厚度/mm | 模型 | f/Hz | L0 |
| 1.2 | A | 6.26 | -8.17×10-4 |
| B | 10.84 | -6.93×10-4 | |
| 1.6 | A | 9.1 | -3.24×10-3 |
| B | 16 | -2.61×10-3 |
|
| 图 4 自由振动滚转阻尼导数试验机械阻尼特性 Fig.4 Mechanical damping characteristics of wind-tunnel free-oscillation experiment |
式中:Ix为模型滚转转动惯量,f为振动频率,δ为振动曲线衰减对数。由于各模型尺寸、风洞条件均不相同,无量纲量不具有可比性,为了分析方便,本文中所涉及到的模型、铰链等试验设备,均按照0.5m量级风洞尺寸要求设计;滚转机械阻尼L0、滚转气动阻尼Lp和其他相关量均为有量纲量。
由表 1和图 4中的结果可以看到,对于同样厚度弹性梁的一体式铰链,由于模型转动惯量的差异造成了振动频率不同,但L0基本保持不变。这是因为机械阻尼是由弹性铰链本身的结构和性质所决定的,与试验模型等无关。结果显示,弹性梁的厚度越厚、刚度系数越大,L0就越大。
对于确定的飞行器外形,可通过模型设计时选择合适的转动惯量,结合不同弹性梁厚度来匹配其试验所需的振动频率以及合适的机械阻尼量级。模型转动惯量一致时,弹性梁的厚度越厚即刚度系数越大,振动频率越高;弹性铰链一样时,模型转动惯量越小,振动频率越高。
针对组合式弹性铰链也进行了类似的无风试验。组合式弹性铰链的弹性梁为可拆卸式,表 2和图 4中显示了0.8mm厚度×2片弹性梁(刚度系数K=8.22N·m/rad)、0.8mm厚度×4片弹性梁(刚度系数K=12.89N·m/rad)配合不同模型的试验结果。C、D模型滚转方向转动惯量Ix分别为1.34×10-3kg·m2和2.55×10-3kg·m2。
| 结构 | 模型 | f/Hz | L0 |
| 0.8mm×2 | C | 12.5 | -4.00×10-4 |
| D | 9.0 | -8.40×10-4 | |
| 0.8mm×4 | B | 6.4 | -2.87×10-3 |
由表 2和图 4中的结果可以看到,组合式弹性铰链的性质与一体式弹性铰链相似:弹性梁厚度和片数一致时,其自身结构的基本性质决定了其机械阻尼维持在一个稳定的量级。同样,弹性梁的刚度系数越大,L0就越大。
对比表 1、2和图 4中B模型的试验结果,1.2mm一体式弹性铰厚度比0.8mm×4组合式弹性铰厚度更厚,刚度系数也更大(28.49N·m/rad和12.89N·m/rad),但前者的L0量级反而更小。原因在于组合式弹性铰中直线轴承自身的滚动摩擦和其他相关部件的安装环节增大了机械阻尼。因此同样刚度系数下一体式弹性铰机械阻尼要小得多。但是,在风洞试验中,还应考虑弹性铰链的抗载荷能力、减缩频率匹配等多方面因素。对比表 1、2和图 4中B模型的试验结果,相同的机械阻尼下组合式弹性铰的试验频率更低,并还有继续降低弹性梁刚度达到进一步降低试验频率和机械阻尼的能力;而1.2mm几乎是一体式弹性梁厚度的下限,若厚度变薄在风洞试验中将存在折断的危险。
综上所述,弹性铰自由振动滚转阻尼导数试验技术的基本特性可由图 4简要表示,图中的椭圆点代表了前文所述的各典型试验结果在图中的大致位置。针对不同模型进行风洞试验时,应结合多方面因素选取合适的试验技术和试验方案。
2.2 气浮轴承机械阻尼根据前文所述,以一体式弹性铰和组合弹性铰为核心的滚转自由振动试验技术已经能够满足较大范围内的试验频率、试验载荷和机械阻尼要求。但对于某些导弹类飞行器,气动滚转阻尼极小,转换为适用于0.5m量级风洞的模型下有量纲气动滚转阻尼约为10-4~10-5量级[10-11],这就要求试验L0量级最好在10-5甚至更低,弹性铰自由振动的试验技术无法达到要求。
表 3显示了基于气浮轴承的自由滚转试验中多种外形模型的无风试验结果,可以看到,对于各种模型,在较大的转速范围内,基于气浮轴承的自由滚转试验技术都能将L0维持在-2×10-5左右,比弹性铰自由振动试验技术低了1~2个量级,可满足低机械阻尼的特殊试验要求。气浮轴承机械阻尼较低的原因在于:气浮轴承自由滚转试验中模型自由滚转运动时,由于轴承转子和定子之间靠空气膜支撑,并未实际接触,摩擦阻尼几乎为零,因此试验机构的机械阻尼极小,更易在风洞试验中准确测量小量级的滚转气动力(包括滚转阻尼导数和滚转静力矩)。
| 模型1 | 模型2 | 模型3 | |
| L0 | -1.7×10-5 | -2.1×10-5 | -2.5×10-5 |
首先以某制导炸弹外形模型A为例进行滚转阻尼导数测量试验技术的选择。该模型特点有:翼较大,滚转阻尼导数较大,根据前期CFD计算和工程估算,量级约为10-1;模型与静态试验共用,转动惯量较大;根据其飞行条件、缩比和减缩频率要求计算得到所需风洞试验滚转方向振动频率约13.5Hz。针对此模型的这些特点,如表 1所示,如果采用1.6mm厚度一体式弹性铰进行试验,试验频率与所需频率接近(9.1Hz),L0(-3.24×10-3)也比Lp小了2个量级,足以满足试验需求。表 4显示了风洞试验部分状态点的试验结果,可以看到,Lp量级与前期估算一致,风洞试验结果可信。
| Ma | α/(°) | Lp |
| 0.5 | 0 | -0.13 |
| 3 | -0.13 | |
| 0.7 | 0 | -0.12 |
| 3 | -0.17 |
对于某导弹模型C,翼和舵面较小,Lp约为10-3量级,所需试验频率约3.2~12.5Hz。因为该模型滚转转动惯量较小,若采用一体式弹性铰试验方案,要满足其频率条件,弹性梁必须很薄,抗载荷能力较弱,因此采用组合式弹性铰方案。如表 2所示,采用2×0.8mm厚度弹性梁的组合式弹性铰进行试验,试验频率满足上限要求(12.5Hz),L0(-4.00×10-4)比Lp小1个量级,均满足试验需求。图 5和6分别显示典型风洞试验曲线和部分试验结果,可以看到,由于试验技术和方案合理,试验吹风状态和无风状态下模型自由振动曲线变化明显,有利于数据的辨识和计算。试验结果符合气动特性,Lp随马赫数和迎角变化规律合理。
|
| 图 5 某导弹模型风洞试验曲线 Fig.5 The experimental curves of model C |
|
| 图 6 某导弹模型风洞试验结果 Fig.6 The experimental results of model C |
对于某再入弹头模型,其弹体外形轴对称,控制翼面小,经工程估算,滚转气动阻尼Lp约为10-4量级甚至更小,若采用弹性铰自由振动试验技术进行试验将面临机械阻尼过大,无法从总阻尼中辨识出精准的气动阻尼值。因此该弹头滚转阻尼导数测量试验采用了基于气浮轴承的自由滚转试验技术。
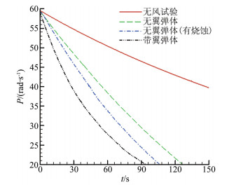
图 7显示了无风情况下和吹风情况下不同试验弹头的模型转速变化曲线,可以看到试验曲线能够清晰反映出模型烧蚀和控制翼面产生的模型转速变化,有利于数据的分析和辨识,得到其中的滚转阻尼导数变化。数据辨识后的试验结果如图 8所示,很小的Lp变化,特别是弹头烧蚀所产生的变化能够得到准确测量,得益于基于气浮轴承的自由滚转试验技术的低机械阻尼特性。
|
| 图 7 滚转转速变化曲线 Fig.7 Time courses of rolling rate |
|
| 图 8 某再入弹头模型风洞试验结果 Fig.8 The experimental results of a re-entry body model |
本文基于中国航天空气动力技术研究院开展的大量研究工作,针对滚转阻尼导数测量试验的关键性问题和技术指标,分层次综合介绍了多项相关风洞试验技术研究。分别根据各试验技术的特点对其主要特性进行了分析,并给出了试验技术的选择依据和典型风洞试验结果。分析和试验结果表明:
(1) 弹性铰自由振动试验机构的机械阻尼是由弹性铰链本身的结构和性质所决定的;弹性铰结构形式相同时,刚度系数越大,机械阻尼就越大;
(2) 组合式弹性铰的安装环节、轴承摩擦等因素增大了其机械阻尼,但由于其抗载荷能力强,弹性铰刚度能够设计得更小。因此其机械阻尼范围和一体式弹性铰相似,而且更适合于低频、气动载荷较高的滚转阻尼导数测量试验;
(3) 针对不同飞行器外形进行风洞试验时,应结合多方面因素选取合适的试验技术和试验方案。如测量的滚转气动阻尼极小,应考虑采用基于气浮轴承的自由滚转试验技术进行风洞试验。
致谢: 感谢李潜研究员、毕志献研究员、秦永明研究员以及空气动力实验与工程应用研究所科技处在本文工作开展过程中给予的指导与帮助!| [1] | Etkin Bernard. Dynamics of atompheric flight[M]. John Wiley & Sons, Inc: , 1972 . |
| [2] | Tobak M, Schiff L B. On the formulation of the aerodynamic characteristics in aircraft dynamics[R]. NASA TR R-456, 1976. |
| [3] | 李周复, 李潜, 陈玉, 等. 风洞特种试验技术[M]. 北京: 航空工业出版社 ,2010 . Li Z F, Li Q, Chen Y, et al. Special technique of wind tunnel test[M]. Beijing: Aviation Industry Press , 2010 . |
| [4] | 范洁川. 风洞试验手册[M]. 北京: 航空工业出版社 ,2002 . Fan J C. Handbook of wind tunnel test[M]. Beijing: Aviation Industry Press , 2002 . |
| [5] | 赵忠良, 任斌, 黄叙辉, 等. 跨超、高超声速风洞模型动导数试验技术研究[J]. 航空学报 , 2000, 21 (1) : 52–55. Zhao Z L, Ren B, Huang X H, et al. Investigation on model dynamic stability derivatives test techniques in trans-, supers-, hypersonic wind tunnels[J]. Acta Aeronautica et Astronautica Sinica , 2000, 21 (1) : 52–55. |
| [6] | 任斌, 赵忠良.飞船返回舱跨超声速动稳定性试验[R].技术报告EJ-2-94091, 绵阳:中国空气动力研究与发展中心, 1994. |
| [7] | 龚卫斌. 再入体动导数试验技术[J]. 流体力学实验与测量 , 1997, 11 (1) : 30–34. Gong W B. Experimental techniques of reentry body dynamic derivatives[J]. Experiments and Measurements in Fluid Mechanics , 1997, 11 (1) : 30–34. |
| [8] | 高清.升力体高超声速飞行器横侧向稳定性研究[D].北京:中国航天空气动力技术研究院, 2013. Gao Q. Study on lateral-directional stability of hypersonic lifting-configuration[D]. Beijing:China Academy of Aerospace Aerodynamics, 2013. http://www.cqvip.com/qk/90272x/201501/663882562.html |
| [9] | 高清, 李建华, 李潜. 升力体高超声速飞行器横向气动特性研究[J]. 实验流体力学 , 2015, 29 (1) : 43–48. Gao Q, Li J H, Li Q. Study on lateral stability of hypersonic lifting-configurations[J]. Journal of Experiments in Fluid Mechanics , 2015, 29 (1) : 43–48. |
| [10] | 白葵, 冯明溪, 付光明. 小不对称再入体滚转气动力测量技术[J]. 流体力学实验与测量 , 2002, 16 (3) : 63–72. Bai K, Feng M X, Fu G M. Experimental technique for rolling aerodynamic of slight asymmetric re-entry body[J]. Experiments and Measurements in Fluid Mechanics , 2002, 16 (3) : 63–72. |
| [11] | 赵俊波, 梁彬, 付增良, 等. 机动式再入弹头小滚转气动力风洞试验技术[J]. 空气动力学学报 , 2016, 34 (1) : 53–58. Zhao J B, Liang B, Fu Z L, et al. Experimental technique in wind tunnel for micro rolling aerodynamics of maneuvering re-entry body[J]. Acta Aerodynamic Sinica , 2016, 34 (1) : 53–58. |
| [12] | 赵俊波, 付增良, 梁彬, 等.再入弹头小气动力风洞试验技术[C].北京:中国航天空气动力技术研究院第二研究所第二届风洞试验与测试技术交流会, 2015:1-8. |



