对于暂冲式跨声速风洞,降低马赫数随时间波动水平是提高试验数据精准度的重要前提。在可调二喉道控制的试验方式下,试验段马赫数Ma由试验段与二喉道面积比确定,主调压阀门反馈参数仅为前室总压,由于不再引入驻室静压误差因此可以提高Ma数控制精度。另外,由于试验段Ma数仅由试验段与二喉道面积比确定,因此可以提高亚声速试验的前室总压,进而提高试验雷诺数Re[1,2]。
在跨声速试验中,试验段的噪声与湍流度对凡与雷诺数有关的气动数据都有影响,特别是对非定常试验数据的影响尤为明显[3,4,5]。而在可调二喉道控制方式下,由于在喉道处达到声速,因此可以抑制下游动态干扰前传[6,7,8,9,10,11,12]。
本文作者在某风洞初步设计阶段,首先利用数值计算方法模拟二喉道型面,选取二喉道最优方案。在CFD计算过程中,发现同一套网格在相同的湍流模型下,仅仅改变出入口压比,二喉道流场会出现对称和不对称2种流场。为了研究这一现象,在现有的风洞条件下,设计加工了一套Ma=0.7的带有可变中心体的第二喉道段,通过试验验证了CFD计算的 正确性,以及二喉道段不对称现象对风洞试验段流场 品质的不利影响。最后结合CFD计算和试验数据,通 通过控制中心体第2块板扩散角度,避免二喉道段出现不对称分离流动。 1 第二喉道数值模拟 1.1 计算模型介绍
为分析第二喉道段对于风洞流场的影响,本文计算主要基于引导风洞实物进行等尺度二维建模,数值模型见图 1,下面进行详细介绍。
![]() |
| 图 1 数值计算模型 Fig. 1 Numerical calculation model |
计算模型根据引导风洞二喉道段尺寸选取,为了研究二喉道处流场是否会出现不对称现象,对风洞进行全模型模拟。另外,考虑到计算机计算能力和计算时间,采用二维模型进行计算。同时,为了确保计算结果具有普遍适用性,分别对Ma=0.5、0.7和0.8进行建模计算,并对其计算结果进行分析比较。 1.2 计算网格与边界条件
进行二维几何建模,利用网格生成软件生成结构计算网格,通过风洞壁面网格层加密提高附面层分辨力,第1层边界层网格距壁面距离为1×10-5m,在流场变化剧烈的区域,如尾延板、中心体与尾流部分进行局部网格加密,整个计算域内共20000左右的网格单元,网格如图 2所示。
![]() |
| 图 2 第二喉道网格 Fig. 2 Grid of the second throat |
计算设定的边界条件为:压力入口边界、压力出口边界和壁面边界。风洞壁面和中心体以及尾延板设定为无滑移、无穿透边界条件,温度按绝热壁面处理。 1.3 二喉道段流场不对称现象 1.3.1 Ma=0.7下二喉道段数值模拟
对于Ma=0.7状态下,利用同一套网格,湍流模型均采用SST k-ω,入口总压为140000Pa,仅仅改变出口反压,发现出口反压在93000~95000Pa之间时,流场出现不对称现象。图 3给出Ma=0.7时二喉道段流场Ma数云图。
从图 3可以看出,随着出口反压的变化,二喉道 段流场出现 3 种形态。当出口反压较大,也就是风洞 压比较小时,二喉道处两侧流场均由一道弱激波减速至亚声速;随着风洞压比的增大,二喉道处流场出现一个过渡流态,一侧仍由一道弱激波减速至亚声速,另一侧则先出现一道斜激波,然后才由一道弱激波减速至亚声速。当压比足够大时,二喉道两侧均先形成一道斜激波,最后由正激波减速至亚声速。
![]() |
| 图 3 Ma=0.7下二喉道段马赫数分布 Fig. 3 Second throat flow distribution at Ma=0.7 |
为了确定此种形式二喉道段不对称现象具有普遍性,针 对Ma=0.5和0.8状态,也按照Ma=0.7的计算条件进行模拟。从图 4和5结果发现:在网格相同、湍流模型一样的情况下,当出口反压达到99000Pa时,Ma=0.5下二喉道流场出现不对称现象;当出口反压达到93000Pa时,Ma=0.8下二喉道流场出现不对 称现象。
![]() |
| 图 4 Ma=0.5下二喉道段马赫数分布Fig. 4 Second throat flow distribution at Ma=0.5 |
![]() |
| 图 5 Ma=0.8下二喉道段马赫数分布Fig. 5 Second throat flow distribution at Ma=0.8 |
通过数值计算看出,在Ma=0.5、0.7和0.8 这3种状态下,二喉道段在某些压比下均出现不对称现象。为了验证数值计算的正确性,在现有引导风洞,设计加工了一套Ma=0.7的二喉道段,分析其试验数据是否与计算结果相吻合。 2.1 试验设备介绍
本次试验在高速进气道引导风洞中进行,该引导风洞是一座直流暂冲下吹式亚、跨、超三声速风洞,实验段尺寸为0.214m×0.228m,试验Ma数范围为0.40~1.35,实物如图 6所示。
![]() |
| 图 6 引导风洞实物图片Fig. 6 The model wind tunnel |
二喉道段安装在引导风洞驻室内,试验段之后、扩散段之前。如图 7所示,二喉道段入口截面290mm×228mm,出口截面265mm×228mm,具体参数如表 1所示。
![]() |
| 图 7 二喉道段结构示意图Fig. 7 Sketch of the second throat |
| 各截面尺寸 | 尺寸(长度单位为mm) |
| 入口截面尺寸(宽×高) | 290×228 |
| 出口截面尺寸(宽×高) | 265×228 |
| 二喉道段长度 | 655 |
| 侧壁第一调节片长度 | 448.6 |
| 尾延板前后缘角度 | 10° |
| 尾延板起点距二喉道段入口距离 | 20 |
| 尾延板终点距二喉道段出口距离 | 240 |
为了研究二喉道段流场不对称现象,在二喉道段的侧壁板和上壁板上均布置有测压点。上壁板上有2排,距中心60mm,测压孔间距10mm。一侧壁板上布置有测压点,另一侧壁板不布置,测压孔在中心线上,靠近二喉道处的测压孔间10mm,较远处间距20mm。壁板上的测压孔直接用外径1.2mm内径0.8mm的不锈钢管引出[13,14]。 2.2 测控设备介绍
本研究使用DTC Initium电子扫描采集系统测量沿风洞试验段内壁面各测点的静态压力及试验段总压p0和驻室静压pCT。
测量前室总压的为量程0~0.2MPa、精度0.1%的压力传感器,测量驻室静压的为量程-0.1~0.1MPa、精度0.1%的压力传感器,测量试验段内壁面各测点的静态压力为量程±20PSI、精度±0.05%的扫描阀,通过PSI 9000压力测量系统测量。 2.3 试验结果分析与比较 2.3.1 二喉道段Ma数分布(中心体15°)
本次试验测试了Ma=0.7状态下二喉道段流场特性,由于引导风洞二喉道中心体无法实现连续变角度调节,本次试验加工了3副菱形中心体,菱形半角分别为10°、15°和20°,试验过程中手动进行更换。
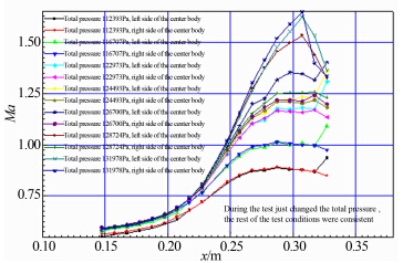
图 8给出中心体15°时,不同前室总压下二喉道段沿程Ma数分布。为了研究二喉道段流场不对称现象,在中心体两侧开有2排沿风洞轴线对称的测压孔,所以试验数据中每个状态均有2条压力曲线。当前室总压达到116000Pa后,二喉道处形成声速喉道,声速喉道位置稳定在二喉道尖点处;当前室总压为121520~124990Pa时,流场在二喉道尖点处出现不对称现象,结合CFD数值模拟结果可以看出,此时二喉道流场类似于数值模拟中出口反压93000Pa的情况;当前室总压继续增大时,二喉道处流场又恢复对称。
![]() |
| 图 8 不同前室总压下,超扩段上壁Ma数分布(15°中心体)Fig. 8 Ma number distributions of different total pressures on the top wall of the super diffuser (15° central object) |
3种流动形态下,试验段侧壁Ma数波动量都在0.002左右,但试验段模型区Ma数均方根偏差有较大差距,数据如表 2所示。
| 二喉道流场 | 对称流场 | 不对称流场 | 对称流场 |
| 前室总压范围 | ≤116062Pa | 116062~128128Pa | ≥128128Pa |
| Ma数均方根偏差 | 0.0004~0.0007 | 0.0006~0.0009 | 0.0004~0.0007 |
从试验结果可以看出,试验段Ma数均方根偏差在二喉道流场对称时最小,近似比二喉道处流场不对称状态下小20%。 2.3.2 二喉道段Ma数分布(中心体10°和20°)
图 9和10分别给出了中心体10°和20°状态下,二喉道段Ma数分布。从图中可以看出:中心体10°和20°状态下,二喉道段流场均出现过流场不对称的 情况,并且在中心体20°状态下,流场不对称情况更恶劣;前室总压在124493~131978Pa范围内,二 喉道段流场均处于不对称状态,这与CFD数值模 拟结果比较吻合。
![]() |
| 图 9 不同前室总压下,超扩段上壁Ma数分布(10°中心体)Fig. 9 Ma number distributions of different total pressures on the top wall of the super diffuser (10° central object) |
![]() |
| 图 10 不同前室总压下,超扩段上壁Ma数分布(20°中心体)Fig. 10 Ma number distributions of different total pressures on the top wall of the super diffuser (20° central object) |
从CFD模拟结果和试验数据可以看出,当风洞压比较低时,二喉道左右侧均是亚声速流动,此时风洞流场稳定,不会出现不对称的情况;当风洞压比继续变大达到临界值时,二喉道中心体一侧刚形成声速喉道,而另一侧未达到声速,在声速这一敏感速度下,会出现左右不对称的现象;当风洞压比继续增大,二喉道左右两侧均形成超声速流动后,左右两侧流场恢复对称。 3 新型二喉道优化设计
从数值结果与试验数据都可以看出,中心体第2块板扩张角度越小,气流形成声速喉道后加速越平缓,二喉道段不对称现象越不明显。为避免二喉道段出现气流不对称现象,针对Ma=0.7状态下,进行优化设计,将中心体第2块板从原来的120mm延长至360mm,以便在中心体第1块板角度不变的情况下,让尖点后气流平稳过渡,不出现过膨胀现象,从而避免不对称现象的出现。从图 11可以看出,计算结果与试验规律相吻合,流场未出现不对称情况。
![]() |
| 图 11 Ma=0.7下新型二喉道段马赫数分布Fig. 10 New second throat flow distribution at Ma=0.7 |
通过风洞试验与数值模拟对第二喉道段自身流场特性进行了针对性的研究,得出以下结论:
(1) 通过CFD模拟,较详细地研究了二喉道内部流场分布,并发现了某些压比下二喉道内部流场呈不对称性分布。
(2) 通过引导风洞试验数据,验证了CFD数值模拟结果,即风洞压比较小时,二喉道段流场会出现不对称现象。另外,二喉道段不对称分离将会对试验段流体品质产生不利影响,在设计中需要避免这种情况出现。
(3) 通过试验数据以及后期CFD计算可以看出,二喉道段侧壁第2块板与中心体第2块板角度近似一致,且角度都较小的情况下,二喉道段不易产生不对称分离现象。
| [1] | Goethert, Bernhard H. Transonic wind tunnel testing[M]. Dover Pubns: Goethert, Bernhard H, 2007. |
| [2] | Hartzuiker J P. The european transonic windtunnel ETW: design concepts and plans[R]. AIAA-86-0731, 1986. |
| [3] | 刘政崇, 廖达雄, 董谊信, 等. 高低速风洞气动与结构设计[M]. 北京: 国防工业出版社,1999. Liu Zhengchong, Liao Daxiong, Dong Yixin, et al. Aerodynamic and structure designs of high speed and low speed wind tunnel[M]. Beijing: National Defense Industry Press, 1999. |
| [4] | 惠增宏, 何明一, 竹朝霞. NF6风洞Ma数控制系统研制[J]. 实验流体力学, 2005, 19(1): 62-66. Hui Zenghong, He Mingyi, Zhu Zhaoxia. Research on the Mach number control system in NF-6 wind tunnel[J]. Journal of Experiments in Fluid Mechanics, 2005, 19(1): 62-66. |
| [5] | 赵书军, 施洪昌, 冷崇珍, 等. 神经网络在风洞流场Ma数辩识中的应用研究[J]. 流体力学实验与测量, 2004, 18(3): 87-91. Zhao Shujun, Shi Hongchang, Leng Chongzhen, et al. Research of application of neural network in Mach number identification of wind tunnel flow field[J]. Experiments and Measurements in Fluid Mechanics, 2004, 18(3): 87-91. |
| [6] | 恽起麟. 实验空气动力学[M]. 北京: 国防工业出版社, 1991. Yun Qilin. Experimental aerodynamics[M]. Beijing: National Defense Industry Press, 1991. |
| [7] | Thombi Layukallo, Yoshiaki Nakamura. Flow stabilization in a transonic wind tunnel with a second throat[J]. Journal of Aircraft, 2000, 37(6). |
| [8] | Thombi Layukallo, Yoshiaki Nakamura. The efficiency of a second throat in stabilizing the flow in a transonic wind tunnel[R]. AIAA 99-3413, 1999. |
| [9] | 丛成华, 廖达雄, 陈吉明, 等. 跨声速风洞第二喉道性能计算[J]. 航空动力学报, 2010, 25(9): 134-140. Cong Chenghua, Liao Daxiong, Chen Jiming, et al. The performance computing of the transonic wind tunnel second throat[J]. Journal of Aerospace Power, 2010, 25(9): 134-140. |
| [10] | 秦红岗. 连续式跨声速风洞第二喉道设计技术研究[D]. 绵阳: 中国空气动力研究与发展中心, 2009. Qin Honggang. Research of the second throat in the continuous transonic wind tunnel[D]. Mianyang: China Aerodynamics Research and Development Center, 2009. |
| [11] | Yaga M, Haga T, Oyakawa K. Study on passive control around throat in a transonic diffuser[R]. AIAA -2000-0902, 2000. |
| [12] | 廖达雄, 陈吉明, 彭强, 等. 连续式跨声速风洞设计关键技术[J]. 实验流体力学, 2011, 25(4): 76-80. Liao Daxiong, Chen Jiming, Peng Qiang, et al. Key design techniques of the low noise continuous transonic wind tunnel[J]. Journal of Experiments in Fluid Mechanics, 2011, 25(4): 76-80. |
| [13] | Dennis E Fuller, M Susan Williams. Testing experience with the national transonic facility[R]. AIAA-86-0748, 1986. |
| [14] | 陈建兵,高鑫宇, 蔡清青. 风洞喉道可调中心体机构分析与设计[J]. 机械设计与研究, 2012, 28(3): 17-19, 23. Chen Jianbing, Gao Xinyu, Cai Qingqing. Analysis and design of the adjustable central flap mechanism of the second throat in wind tunnel[J]. Machine Design and Research, 2012, 28(3):17-19, 23. |














