激波作用在两种不同密度流体界面时,压力梯度和密度梯度的不重合会导致斜压涡量的产生与分布,界面上的初始扰动会随时间不断增长,最终发展为湍流混合,这种现象称为Richtmyer-Meshkov (RM)不稳定性[3, 4]利用平面激光诱导荧光技术得到了激波与无膜重、轻气柱相互作用的流动图像,并获得了流场的浓度变化;高宁等人[5]采用粒子图像测速技术实验测量了平面激波作用下重气柱界面RM不稳定性演化的二维速度场。邹立勇等人[6, 7]也实验研究了截面分别为圆形和椭圆形的重气柱界面的RM不稳定性问题。而在实际应用中,界面通常要经历多次激波的作用,研究表明反射激波会加速湍流混合的进程[8]。 Latini et al[9]和Hill et al[10]分别对反射激波作用下,单模和多模界面不稳定性的演化规律开展了数值研究并与实验结果做了对比分析。司廷等人[11]对不同时刻的反射激波条件下气泡的演化规律进行了实验研究。此外,关于反射激波条件下气帘界面不稳定性的发展也得到了大量的实验研究[12, 13]。
在RM不稳定性发展的过程中,斜压涡量是导致界面演变的主要因素[14, 15]。对于不同Atwood (A=(ρ1-ρ2)/(ρ1+ρ2),ρ1,ρ2分别是界面内外气体的密度)数所对应的界面,由于密度梯度不同,单次激波作用后界面上产生的涡量大小不同,导致界面演化有较大差异。而反射激波作用在变形的界面上会再次引起涡量的产生与分布,从而进一步影响界面的发展。Haehn et al[16]实验研究了SF6气泡和氩气泡在反射激波作用下的发展演化,讨论了不同Atwood数对界面不稳定性发展的影响。王显圣等人[17]对反射激波作用于重气柱的RM不稳定性问题进行了数值研究,沙莎等人[18]以及柏劲松等人[19]也数值研究了反射激波作用下重气柱界面不稳定性的发展,但反射激波作用下气柱界面演化的实验研究相对较少。气柱是最直观的二维界面之一,常用于检验数值方法和理论模型的可靠性,因此实验研究反射激波作用下气柱界面的演化特征是有必要的。
本文针对两种不同Atwood数的重气柱(SF6和氩气)在反射激波作用下的演化规律进行了实验研究。实验采用连续激光片光源照射流场,在无膜气柱中掺入乙二醇示踪粒子,使用高速摄像机对流场进行连续拍摄,获得了反射激波冲击下两种重气柱界面的演化过程。界面的定量变化在一定程度上揭示了Atwood数对不稳定性发展的影响。
1 实验方法实验所用的激波管驱动段长度为2m,被驱动段4m,截面积为95×95mm2。图 1是测试段简图,反射距离L定义为端壁到气柱中心的距离,实验中L=90mm。入射激波马赫数Ma=1.23±0.01,反射激波马赫数Ma=1.22±0.01(这里考虑了反射激波前气流的速度)。实验前,首先将实验气体充入位于实验段上方的箱体中,并用氧气浓度检测仪测定箱体顶部出口处氧气的浓度,当氧气浓度下降至0.5%以下则认为箱体中充满了实验气体。然后用烟雾机对液态乙二醇进行加热使其变成雾态(平均直径约为0.5 μm,其在RM不稳定性实验研究中作为示踪粒子的可行性已得到验证[20]),并充入箱体中与实验气体混合。打开箱体底部的阀门,实验气体和乙二醇粒子的混合物会在重力的作用下沿着管道自上而下流入测试段,并可通过控制阀门来调节流速的大小使气柱稳定。这样在实验段中就形成了直径约4mm的无膜重气柱界面。采用连续激光片光结合高速摄影相机(FASTCAM SA5,Photron Limited)进行流场显示。连续激光器(SDL-532-15000T,15W,532nm)产生初始光斑直径为10mm的连续激光相继通过一个凹柱面镜(焦距50mm)和一个凸透镜(焦距500mm)能够形成厚度约1mm、宽度约80mm的连续激光片光。激光片光经过安装在侧壁上的石英玻璃进入测试段,照射位于管口下34mm处的界面截面。高速摄像机安装在测试段的上方,对流场进行连续拍摄。具体的实验参数见表 1。
![]() |
| 图 1 测试段简图 Fig. 1 Schematic of the test section |
Mr,反射激波马赫数;D0,气柱直径;A和A′分别为入射激波前后界面的Atwood数)(p0=1 atm,T0=293 K)Table 1 Experimental parameters used(Ma,the incident shock Mach number; Mr,the reflected shock Mach number;
D0,the diameter of the gas cylinder; A and A′ are Atwood numbers before and after the incident shock,respectively
Gas | Ma | Mr | D0 /mm | A | A′ | 分辨率 /pixel | 帧频 /fps | 曝光时间 /s |
| SF6 | 1.24 | 1.22 | 4.1 | 0.672 | 0.688 | 256×808 | 30000 | 1/153,000 |
| Ar | 1.23 | 1.22 | 4.0 | 0.159 | 0.141 | 256×688 | 35000 | 1/253,000 |
图 2给出了入射激波和反射激波作用下SF6气柱演化的动态图。第一帧是初始界面,可以看出气柱横截面为圆形。对于入射激波和反射激波而言,上下游界面是相反的,为了避免混淆,本文不再区分上下游界面,而统一以“上下界面”代替。由于透射激波在界面内部的聚焦,在“上界面”处产生了射流结构,并且随着界面发展慢慢转移到了“下界面”(第1~4帧)。但射流结构始终不明显,且仅持续200μs就消失了,这与激波-气泡相互作用时射流结构的发展存在较大差距[21]。这种差异可能是由于透射激波在二维结构中聚焦效应弱于三维结构,产生的高压峰值所致。由于斜压涡量的正弦分布,涡量幅值最大值应位于界面左右端点处,使得界面两端开始形成反向的涡环结构并逐渐发展(第5~10帧)。当反射激波经过演化的界面时(第11帧),界面在流向上的运动受到一定的抑制。反射激波作用约60 μs后,界面上衍生出次级涡环结构,而且其旋转方向与初始两个涡环结构的旋转方向相反(第12~14帧)。次级涡环逐渐增大,愈来愈明显(第16~27帧)。在这个过程中,“上界面”的运动速度几乎为零,而“下界面”则发展缓慢,速度为负(这里把反射激波运动方向定义为负)。经过充分的发展后,“上界面”获得了正向的速度,而“下界面”获得的仍是负向速度,这最终会导致“上下界面”的分离(第31~60帧)。到了后期,由于涡量大尺度的耗散,界面变得模糊不清(第61帧)。图 3给出了在入射激波和反射激波作用下,SF6气柱界面涡量分布示意图。在本文的反射距离下,反射激波到达界面时,初始涡环结构的边缘较光滑,和初始界面形状类似,因此反射激波作用后,由于压力梯度的反向,界面上产生了反向的次级涡环结构。
![]() |
| 图 2 入射激波和反射激波作用下SF6气柱界面的演化,第一帧显示的是初始界面,入射激波从下往上运动,Δt=33.3 μs Fig. 2 Evolution of a SF6 gas cylinder accelerated by an incident shock and its reshock. The first frame gives the initial interface and the incident shock wave moves from the bottom to the top,Δt=33.3μs |
![]() |
| 图 3 入射激波(左)和反射激波(右)作用下SF6气柱界面涡量产生与分布示意图 Fig. 3 Schematic diagram of vorticity generation and distribution when a SF6 gas cylinder is impacted by an incident planar shock (left) and reshock (right) |
为了说明Atwood数对重气柱界面不稳定性发展的影响,本文还采用氩气作为实验气体,研究了反射激波作用下氩气柱界面的发展演化,实验初始条件如表 1所示。图 4给出了反射激波作用下氩气柱的发展过程,这里忽略了反射激波到达前的实验图像。由于氩气柱的Atwood数较小,入射激波作用之后,由于斜压性产生的涡量较少,界面在反射激波到达时并没有得到充分发展,涡环结构尚未完全形成(第1帧)。反射激波作用之后,由于反射激波的压缩作用,界面高度减小,这一点和SF6的结果类似,但氩气柱随后的演化和SF6气柱的演化相比呈现出较大的区别。反射激波作用较长一段时间内,氩气柱界面上仅有两个初始涡环结构的存在(第3~26帧),并没有像SF6界面中那样会很快产生两个次级涡环结构。
![]() |
| 图 4 反射激波作用后氩气柱界面的演化。第一帧是反射激波到达时的界面形态,入射激波从下往上运动,Δt=28.6 μs Fig. 4 Evolution of an argon gas cylinder accelerated by the reshock. The first frame is the initial interface for the reshock and the incident shock wave moves from the bottom to the top,Δt=28.6 μs |
界面的发展模式就像是仅仅经过入射激波的冲击一样。然而,界面经过了充分的发展之后,反射激波的效应开始凸显出来,即在初始涡环处衍生出两个较小的反向涡环并随时间不断演化(第34~94帧)。相比于SF6气柱演化中的次级涡环,氩气条件下的次级涡环始终没有得到充分发展。这主要是由于反射激波作用时氩气界面的Atwood数减小较多,氩气界面产生的反向涡量较少。
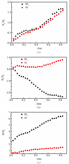
为了定量地说明反射激波作用下,不同Atwood数对界面不稳定性发展的影响,图 5给出了界面位移以及高度随时间的变化趋势。其中,Xu是“上界面”位移,Xl是“下界面”位移,H是界面高度,并用界面的初始直径D0进行了无量纲化,这里我们仅考虑反射激波作用后的流场。为了分析方便,令反射激波到达界面时为初始时刻并令此时“上下界面”的位移均为零。
![]() |
| 图 5 SF6和氩气柱结构尺寸随时间的变化曲线。“上界面”位移Xu (a);“下界面”位移Xl (b);界面高度H (c)Fig. 5 Changes of dimensions of the SF6 and argon gas cylinders. The displacement of the upper interface Xu (a); the displacement of the lower interface Xl (b); and the height of the interface H (c) |
反射激波经过以后,SF6和氩气柱的“上界面”在反射激波作用下仍向上缓慢运动,如图 5(a)所示,这是因为入射激波的作用在界面上产生了涡量而导致界面加速,经过线性拟合得到SF6和氩气柱的“上界面”速度分别为7.18m/s和6.94m/s。而SF6和氩气柱“下界面”的位移则完全相反,SF6气柱的“下界面”往下运动,速度大小约为12.43m/s,而氩气柱的“下界面”往上运动,速度大小约为2.78m/s,如图 5(b)所示。这是由于SF6气柱的初始涡环仍不断发展以及后期的扩散作用致使界面向下运动,而氩气柱的初始涡环较弱,整个界面仍是向上运动。由于SF6界面在反射激波作用下产生了发展较快的次级涡环,从而导致SF6界面的高度比氩气界面的高度大得多,如图 5(c)所示。
3 结 论实验研究了两种重气柱界面(SF6和氩气)在入射激波以及反射激波作用下的发展演化。采用乙二醇作为示踪粒子,利用连续激光片光源结合高速摄像机进行流场显示。实验结果表明,反射激波的再次作用加速了不同流体之间的混合而且出现了新的流场特征。在入射激波冲击下,SF6气柱界面产生了两个反向旋转的初始涡环结构。而在反射激波作用下,SF6气柱界面会出现次级涡对,并成为发展后期的主要特征,而且次级涡对的旋转方向与初始涡环的旋转方向相反,这主要是由于反射激波在界面上产生了反向涡量引起的。而由于氩气柱界面的Atwood数较小,入射激波的作用使得界面上的初始涡环结构并没有充分发展,而且反射激波在界面上引起的反向涡量也较少,氩气柱界面上的次级涡环结构并没有像SF6气柱界面中那样明显。定量结果表明,由于气体Atwood数不同,入射激波和反射激波引起的界面演化形态有较大的区别,界面的演化速率和结构尺寸也有较大的不同。
| [1] | Richtmyer R D. Taylor instability in shock acceleration of compressible fluids[J]. Commun Pure Appl Math, 1960, 13: 297-319. |
| [2] | Meshkov E E. Instability of the interface of two gases accelerated by a shock wave[J]. Fluid Dyn, 1969, 4: 151-157. |
| [3] | Jacobs J W. Shock-induced mixing of a light-gas cylinder[J]. J Fluid Mech, 1992, 234: 629-649. |
| [4] | Jacobs J W. The dynamics of shock accelerated light and heavy gas cylinders[J]. Phys Fluids A, 1993, 5: 2239-2247. |
| [5] |
高宁, 张光升, 林俊. PIV技术在气体界面不稳定性实验研究中的应用[J]. 高压物理学报, 2011, 25(2):177-182. Gao N, Zhang G S, Lin J. An application of PIV technique in gas interfacial instability experiment[J]. Chinese Journal of High Pressure Physics, 2011, 25(2):177-182. |
| [6] |
邹立勇, 刘金宏, 谭多望, 等. 弱激波冲击无膜重气柱和气帘界面的实验研究[J]. 高压物理学报, 2010, 24(4): 241-247. Zou L Y, Liu J H, Tan D W, et al. Experimental study on the membraneless heavy gas cylinder and gas curtain interfaces impacted by a weak shock wave[J]. Chinese Journal of High Pressure Physics, 2010, 24(4): 241-247. |
| [7] | Zou L Y, Liu C L, Tan D W, et al. On interaction of shock wave with elliptic gas cylinder[J]. J Vis, 2010, 13(4): 347-353. |
| [8] | Vetter M, Sturtevant B. Experiments on the Richtmyer-Meshkov instability of an air/SF6 interface[J]. Shock Waves, 1995, 4: 247-252. |
| [9] | Latini M, Schilling O, Don W S. High-resolution simulations and modeling of reshocked single-mode Richtmyer-Meshkov instability: Comparison to experimental data and to amplitude growth model predictions[J]. Phys Fluids, 2007, 19: 024104. |
| [10] | Hill D J, Pantano C, Pullin D I. Large-eddy simulation and multiscale modeling of a Richtmyer-Meshkov instability with reshock[J]. J Fluid Mech, 2006, 557: 29-61. |
| [11] | Si T, Zhai Z G, Luo X S, et al.Experimental investigation of reshocked spherical gas interfaces[J]. Phys Fluids, 2012, 24: 054101. |
| [12] | Balakumar B J, Orlicz G C, Tomkins C D, et al. Simultaneous particle-image velocimetry-planar laser-induced fluorescence measurements of Richtmyer-Meshkov instability growth in a gas curtain with and without reshock[J]. Phys Fluids, 2008, 20: 124103. |
| [13] | Balakumar B J, Orlicz G C, Ristorcelli J R, et al. Turbulent mixing in a Richtmyer-Meshkov fluid layer after reshock: velocity and density statistics[J]. J Fluid Mech, 2012, 696: 67-93. |
| [14] | Picone J M, Boris J P. Vorticity generation by shock propagation through bubbles in a gas[J]. J Fluid Mech, 1988, 189: 23-51. |
| [15] | Niederhaus J H J, Greenough J A, Oakley J G, et al. A computational parameter study for the three-dimensional shock-bubble interaction[J]. J Fluid Mech, 2008, 594: 85-124. |
| [16] | Haehn N, Weber C, Oakley J, et al. Experimental study of the shock-bubble interaction with reshock[J]. Shock Waves, 2012, 22: 47-56. |
| [17] |
王显圣, 司廷, 罗喜胜, 等. 反射激波冲击重气柱的RM不稳定性数值研究[J]. 力学学报, 2012, 44(4): 664-672. Wang X S, Si T, Luo X S, et al. Numerical study on the RM instability of a heavy-gas cylinder interacted with reshock[J]. Chinese Journal of Theoretical and Applied Mechanics, 2012, 44(4): 664-672. |
| [18] |
沙莎, 陈志华, 薛大文. 激波冲击R22重气柱所导致的射流与混合研究[J]. 物理学报, 2013, 62(14): 144701: 1-10. Sha S, Chen Z H, Xue D W. The generation of jet and mixing induced by the interaction of shock wave with R22 cylinder[J]. Acta Phys Sin, 2013, 62(14): 144701: 1-10. |
| [19] |
柏劲松, 王涛, 李平, 等. 激波反射对扰动界面湍流混合区影响的数值分析[J]. 中国科学, 2009, 39(11):1646-1653. Bo J S, Wang T, Li P, et al. Numerical analyse of the turbulence mixing of re-shocks with a perturbation interface[J]. Science in China: G, 2009, 39(11):1646-1653. |
| [20] | Prestridge K, Rightley P, Vorobieff P, et al. Simultaneous density-field visualization and PIV of a shock-accelerated gas curtain[J]. Exp Fluids, 2000, 29: 339-346. |
| [21] | Zhai Z G, Si T, Luo X S, et al. On the evolution of spherical gas interface accelerated by a planar shock wave[J]. Phys Fluids, 2011, 23: 084104. |







