2. Department of Epidemiology and biostatistics, School of Public Health, Medical College of Soochow University, Suzhou 215123, Jiangsu, China;
3. Jiangsu Key Laboratory of Preventive and Translational Medicine for Geriatric Diseases, School of Public Health, Soochow University, Suzhou 215123, Jiangsu, China;
4. Kunshan Affiliated Hospital of Nanjing University of Chinese Medicine, Suzhou 215300, Jiangsu, China
This study aimed to estimate the prevalence of and identify the factors influencing female sexual dysfunction (FSD) among Chinese nurses. A cross-sectional survey was conducted from March 2013 to May 2014 among 6 hospitals in Suzhou, China. In total, 2, 030 married female nurses were included in the analysis. Data on the sociodemographic, lifestyle, and self-reported health status of the participants were collected, and the participants were asked to complete the Chinese version of the 19-item Female Sexual Function Index (FSFI) questionnaire. In total, 1, 035 (50.99%) participants were found to have FSD. Logistic regression analysis showed that increasing age and higher body mass index, lower salary, and poor/very poor self-reported health status were risk factors for FSD; however, regular social activity and physical exercise were protective factors for FSD. The findings of this study suggest that further interventional studies are warranted to study the sexual health among Chinese nurses in detail.
Female sexual dysfunction (FSD) is a term used to describe various sexual problems among women, such as low desire, reduced arousal, difficulty or inability to achieve an orgasm, and dyspareunia. Sexual function is multicausal, and involves factors such as the biology of the individual, presence of a chronic medical disease, the psychology of the individual, his or her socioeconomic status, and cultural factors[1]. Owing to traditional culture taboos and inadequate sex education, women are reluctant to discuss sexual disorders with healthcare professionals. Although limited studies on female sexual function have been conducted in China, Ma et al. reported a 37.6% prevalence of FSD among urban Chinese women[2].
In China, nurses are a special occupational group; nearly 20% of them have been reported to experience job burnout, and 45% have reported dissatisfaction with their job because of the unsupportive work environment and low salary[3]. The majority of previous studies have focused on the mental health of female nurses in China; however, the issue of sexual function, which is an important factor for life quality, has been poorly studied. Hence, the current study aimed to estimate the prevalence of FSD and to identify the factors associated with sexual disorders among female nurses from 6 hospitals in Suzhou, Jiangsu Province, China.
A cross-sectional survey was conducted from March 2013 to May 2014. For the survey, 6 general hospitals in Suzhou, Jiangsu Province, China were selected using random cluster sampling, and all female nurses with at least 1 year of working experience in these 6 hospitals were selected as study participants. A total of 4,444 nurses were eligible for this study, of which 3,068 were willing to participate. Of the 3,068 participants, 1,038 were excluded (971 nurses were single or pregnant or were not regularly sexually active in the past 12 months, and 67 nurses did not complete the sexual function scales in the survey). Finally, a total of 2, 030 married female nurses were included in the analysis. This study was approved by the Institutional Review Board of all 6 hospitals. All participants provided written informed consent to participate.
Data regarding the sociodemographic, lifestyle, and self-reported health status of the participants were collected using a standard questionnaire administered by trained female interviewers; the questionnaire included questions regarding the age, marital status, educational degree, economic status, smoking and drinking habits, physical exercise, social activity, age at menarche, place of residence at 14 years of age, and self-reported status of the general health of the participants, including any history of diabetes and/or hypertension. The body weight and height were measured by trained staff, with the subjects wearing light clothing and without shoes. The body mass index (BMI) was calculated as the weight in kilograms divided by the square of the height in meters.
The Chinese version of the 19-item female sexual function index (FSFI) questionnaire[4] was used to investigate the sexual life of participants during the last 4 weeks, and the survey was privately completed by the participants in a designated room. The interviewers explained the items and assisted the participants in completing the questionnaire, when necessary. After completing the questionnaires, the participants were instructed to fold them and drop them into a locked box.
The FSFI questionnaire assesses the sexual function of women across six separate domains (desire, arousal, lubrication, orgasm, satisfaction, and pain), and the total scale score is computed according to a scoring algorithm. Each domain is scored on a scale of 0 or 1-5, with higher scores indicating better sexual function. In the study, a total FSFI score of ≤ 25.0 was defined as FSD[5]. A score less than the median value was considered to reflect sexual dysfunction for that particular domain[5]. Therefore, sexual dysfunctions for the six domains were suggested as a desire score of < 3.0, an arousal score of < 3.6, a lubrication score of < 4.8, an orgasm score of < 4.0, a satisfaction score of < 4.8, and a pain score of < 4.8.
Questionnaires were double entered using the EpiData 3.1 software by two individuals and checked. SAS statistical software (version 9.1) was used for statistical analysis. Means and standard deviations were calculated to describe the continuous numerical variables; the difference between two groups was compared using the t test, and the difference among multiple groups was compared using analysis of variance. A proportion or prevalence was computed for the categorical data, and the difference was compared between groups using the chi-square test or adjusted chi-square test. The unconditional logistic regression model was used to explore the factors that influence FSD. All P-values were calculated based on 2-sided tests, and P < 0.05 was considered statistically significant.
A total of 2,030 participants aged 20-54 (mean age, 32.7 ± 6.2) years were included in the analysis. The mean desire, arousal, lubrication, orgasm, satisfaction, and pain scores were 3.13 ± 0.93, 3.58 ± 1.17, 4.57 ± 1.28, 4.04 ± 1.26, 4.28 ± 1.04, and 4.60 ± 1.43, respectively, and the mean FSFI score of all participants was 24.2 ± 5.6. According to the cutoff value of 25.0, 1, 035 (50.99%) individuals were screened with FSD. FSD was detected as a problem associated with desire in 30.25% of the participants; with arousal, in 44.44% of the participants; with lubrication, in 45.81% of the participants; with orgasm, in 33.65% of the participants; with satisfaction, in 49.90% of the participants; and with pain, in 41.77% of the participants.
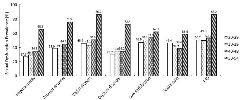
The mean FSFI scores for the groups of participants aged 20-29 years, 30-39 years, 40-49 years, and 50-54 years were 24.35, 24.40, 23.77, and 18.54, respectively; the mean score for FSFI related to desire was 3.21, 3.13, 3.04, and 2.42, respectively; that for FSFI related to arousal was 3.60, 3.65, 3.43, and 2.41, respectively; that for FSFI related to lubrication was 4.54, 4.66, 4.47, and 3.24, respectively; that for FSFI related to orgasm was 4.08, 4.04, 4.01, and 2.99, respectively; that for FSFI related to satisfaction was 4.42, 4.26, 4.12, and 3.70, respectively; and that for FSFI related to pain was 4.50, 4.66, 4.70, and 3.58, respectively. Compared to participants in the other age groups, those aged ≥ 50 years had lower FSFI and scores across the six domains (all P < 0.05). The prevalence of sexual dysfunction among participants in different age groups was shown in Figure 1. Compared with participants aged 20-29 years, those aged ≥ 50 years had a higher prevalence of hyposexuality, arousal disorder, vaginal dryness, orgasm disorder, low satisfaction, sexual pain, and total FSD. However, participants aged 30-39 years and 40-49 years were not found to have a significantly higher prevalence of dysfunction across the six domains and total FSD than those of participants aged 20-29 years.
|
Download:
|
| Figure 1 Sexual dysfunction prevalence in different age groups. | |
Table 1 presents the differences in sociodemographic characteristics between participants in the case and control groups. Compared to participants in the control group, those in the case group had higher age and BMI, and fewer participants in the control group were current drinkers. Participants with FSD did not seem to like social activities and physical exercises, and fewer participants in the case group than in the control group performed ≥ 1 social activity or ≥ 1 physical exercise per week. In addition, fewer participants in the case group reported having a fine/good health status and a higher salary (> 5, 000 Yuan/month). However, differences in the proportion of smokers, working night shifts, age at menarche, prevalence of diabetes and hypertension, and the proportion of participants residing in rural areas at 14 years of age were not significant between the two groups.
|
|
Table 1 Comparison of Demographic and Personal Characteristics between Participants in the Case and Control Groups |
Compared with the control group, the odds ratios (ORs) and 95% confidence intervals (CIs) of FSD with various factors were estimated, and the results were shown in Table 2. Univariate and multivariate regression analyses suggested that compared to participants aged < 30 years, those aged ≥ 50 years had an increased risk of FSD, with an adjusted OR of 5.756 (95% CI = 1.641-20.194). Moreover, the risk of FSD increased with an adjusted OR of 1.454 (95% CI = 1.182-1.788), with a 5 kg/m2 increase in BMI. Compared to participants with a higher salary (> 5, 000 Yuan/month), those with a lower salary (< 3, 000 Yuan/month) had a higher risk of FSD (adjusted OR = 1.820, 95% CI = 1.265-2.618). Further, compared to the good/fine self-reported health status, the poor/very poor and fair self-reported health status increased the risk of FSD by 239.7% (adjusted OR = 3.397) and 49.3% (adjusted OR = 1.493), respectively. In addition, compared to participants performing < 1 physical exercise per week, those performing an average of ≥ 3 physical exercises per week had a lower risk of FSD (OR = 0.580, 95% CI = 0.367-0.915). A similar trend was observed between engagement in social activity and FSD, and compared to participants engaged in < 1 social activity per week, those engaged in an average of ≥ 2 social activities per week had a lower risk of FSD (adjusted OR = 0.675, 95% CI = 0.475-0.961). Smoking, drinking, age at menarche, educational degree, working night shifts, diabetes, hypertension, and place of residence at 14 years of age were not found to be significantly associated with FSD in the multivariate logistic analysis.
|
|
Table 2 Unadjusted and multivariate-adjusted ORs and 95% CIs of FSD with various factors |
Internationally, the FSFI score is commonly used to screen FSD in epidemiological investigations owing to lack of standard diagnostic tools or means for measurement of sexual function. Based on the FSFI score, our findings identified a higher prevalence of FSD (50.99%) among Chinese nurses, compared to the 37.6% prevalence of FSD among urban Chinese women aged 22-60 years[2] and 43.1% prevalence among Korea women[5] aged under 40 years. Univariate analysis and multivariate regression analysis found that older age, elevated BMI, lower income, and self-reported poor/very poor health status were risk factors for FSD; however, social activities and physical exercises were protective factors for FSD.
Our study showed that compared to participants belonging to other age groups, those aged ≥ 50 years had lower FSFI score and 6-domain scores, and higher prevalence of FSD. Further, the prevalence of dysfunction related to each domain was more than 50.0%; especially, the prevalence of vaginal dryness reached 86.2%. The result was similar to the results of a study conducted in urban Chinese women, which reported the women aged over 50 had highest prevalence of FSD (53.2%; the cutoff value was 23.45%), and lubrication disorder (70.1%) among all age group[2]. Aging and menopausal status have been negatively associated with sexual function[2]. Low estrogen levels after menopause also lead to a decreased blood flow to the vagina, resulting in decreased lubrication, or dryness, which can make sexual intercourse less pleasant and painful for women.
Sexual dysfunction was often observed in women with chronic medical diseases[2, 5]. Lindau et al. reported that compared to women without diabetes, those with diabetes were less likely to be sexually active[6]. Our study did not find a significant association between FSD, and diabetes and hypertension, which may be attributed to the low prevalence of diabetes and hypertension in the participants. However, compared to the fine/good self-reported health status, the self-reported fair and poor/very poor health statuses were strongly associated with increased risk of FSD in our study. It has been clearly demonstrated that obesity is linked to an impaired health-related quality of life, and sexual function is one aspect of quality of life. Mozafari et al.[7]. showed that compared to women with a normal BMI, overweight women were more likely to lack interest in sexual relationship, and overweight and obesity negatively affected sexuality in women with sexual dysfunction.
We also observed that participants who performed regular exercise, engaged in social activity, and those with a suitable economic status had less risk of FSD. A study[8] conducted in 214 perimenopausal women aged 40-55 years reported that compared to physically inactive women, physically active women had less distressful sexual symptoms such as vaginal dryness and decreased sexual desire. Further, Frühauf et al. found that sexual dysfunction was associated with excessive psychological pressure, and psychological intervention was an effective treatment[9]. In China, many nurses experienced a professional burnout and suffered enormous pressure[3], which may have contributed, along with physical and economic status, to their FSD.
This study had some limitations. Firstly, as this was a cross-sectional survey, future prospective studies or intervention trials are still warranted to establish a causal relationship between FSD and some factors. Secondly, as we did not collect information regarding the emotional and interpersonal stress among the nurses in their workplace, the association between psychological factors and FSD could not be analyzed. Thirdly, as data regarding the menopausal and fertility status of the participants and the sexual function of their partners were not collected, the influence of these factors on FSD was unclear. Finally, as personal distress related to sexual function is central to the diagnosis of FSD, the FSD may not be a real problem if it does not result in personal distress; therefore, the prevalence of FSD was, perhaps, overestimated in the study. However, our study has several strengths. To the best of our knowledge, this was the first large study to investigate the prevalence of FSD among Chinese nurses. Further, some important sociodemographic factors influencing female sexual function were included in the analysis.
In conclusion, the current study indicated that Chinese nurses in Suzhou had a high prevalence of sexual dysfunction, and that nurses with FSD were prone to have a higher BMI, lower income, poor self-reported health status, less social activity, and less physical exercise. Therefore, regular physical exercise and social activity are suggested to contribute to good health and lead to an elevated emotional state, which would prevent the occurrence of FSD.
| 1. | Pan L, Zhang A, Wang Z, et al. Risk factors for low sexual function among urban Chinese women, a hospital-based investigation. J Sex Med, 2011, 8:2299–304. doi:10.1111/j.1743-6109.2011.02313.x |
| 2. | Ma J, Pan L, Lei Y, et al. Prevalence of female sexual dysfunction in urban Chinese women based on cutoff scores of the Chinese version of the female sexual function Index:a preliminary study. J Sex Med, 2014, 11:909–19. doi:10.1111/jsm.12451 |
| 3. | Zhang L, You L, Liu K, et al. The association of Chinese hospital work environment with nurse burnout, job satisfaction, and intention to leave. Nurs Outlook, 2014, 62:128–37. doi:10.1016/j.outlook.2013.10.010 |
| 4. | Sun X, Li C, Jin L, et al. Development and validation of Chinese version of female sexual function index in a Chinese population-a pilot study. J Sex Med, 2011, 8:1101–11. doi:10.1111/j.1743-6109.2010.02171.x |
| 5. | Song SH, Jeon H, Kim SW, et al. The Prevalence and Risk Factors of Female Sexual Dysfunction in Young Korean Women:An Internet-Based Survey. J Sex Med, 2008, 5:1694–701. doi:10.1111/j.1743-6109.2008.00840.x |
| 6. | Lindau ST, Schumm LP, Laumann EO, et al. A study of sexuality and health among older adults in the United States. N Engl J Med, 2007, 357:762–74. doi:10.1056/NEJMoa067423 |
| 7. | Mozafari M, Khajavikhan J, Jaafarpour M, et al. Association of Body Weight and Female Sexual Dysfunction:A Case Control Study. Iran Red Crescent Me, 2015, 17:e246 85. |
| 8. | Li S, Holm K, Gulanick M, et al. The relationship between physical activity and perimenopause. Health Care Women Int, 1999, 20:16378. |
| 9. | Fruhauf S, Gerger H, Schmidt HM, et al. Efficacy of psychological interventions for sexual dysfunction:a systematic review and meta-analysis. Arch Sex Behav, 2013, 42:915–33. doi:10.1007/s10508-012-0062-0 |
2017, Vol. 30
