2. 中国人民大学环境学院, 北京 100872;
3. 山东师范大学信息科学与工程学院, 山东 济南 250358
2. School of Environment & Natural Resources, Renmin University of China, Beijing 100872, China;
3. School of Information Science and Engineering, Shandong Normal University, Jinan 250358, China
生物多样性是人类赖以生存的必要条件, 我国是生物多样性最丰富的国家之一。但是, 由于现有生物多样性保护体系尚不完善, 一些重要生态系统和生物资源尚未得到有效保护, 生物多样性下降的总体趋势尚未得到有效遏制。据统计, 全球15 000多个物种正在消失, 生物多样性保护成为国际重点关注问题[1]。生物多样性保护优先区域是根据物种的丰富和珍稀濒危程度、生态系统类型的代表性以及区域的不可替代性而划定的, 是我国生物多样性保护的重点和关键区域。我国原环境保护部于2015年正式发布了《中国生物多样性保护优先区域范围》[2], 其中, 陆地和水域类型32个, 海洋类型3个。
植被与水域、地质、地貌、气候、土壤、动物和微生物共同构成了自然地理环境, 是最能反映其他要素性质的指示者, 植被覆盖变化是生态环境变化的直接结果, 很大程度上代表了区域生态环境总体状况[3]。此外, 对长时间系列植被活动的年际变化特征进行监测有助于更好地模拟陆地生态系统的动态变化特征[4]。许多学者指出植被的动态变化可以有效地指示动物栖息地的变化情况[5]。赵海迪等[6]从植被覆盖度角度分析了阿尔金山保护区藏羚羊栖息地的空间分布及变化情况。VIÑA等[7]通过中分辨率成像光谱仪(MODIS)数据指示植被的分布, 从而成功地预测了卧龙保护区大熊猫的分布情况。
水是万物之源, 陆表水域为动物提供了水源, 为水生动植物提供了栖息场所, 其分布和面积状况对生物多样性的维持同样具有重要意义。王慧等[8]通过提取洞庭湖水面面积数据, 剖析了水面面积变化对生物多样性的影响。韩奔等[9]对纳帕海自然保护区水域面积进行动态监测, 证明越冬水鸟种类和数量与水域面积呈正相关。赵慧颖等[10]基于呼伦湖水域面积、生态环境等资料进行回归分析, 发现水域面积的缩减必将导致呼伦湖湿地生态环境的恶化, 使生物多样性受到严重影响。
植被和水域都是与生物多样性保护相关的重要遥感指标, 为了在宏观尺度上获取区域生物生境质量的信息, 并掌握其变化趋势, 笔者从反映我国生物多样性保护优先区域内重要遥感指标变化角度出发, 以植被覆盖度和水域面积为具体指标, 综合利用GIS和RS技术, 对2001—2016年32个陆地和水域生物多样性保护优先区域(以下简称“优先区域”)开展遥感监测, 并对此期间自然生境状况及变化进行分析与评估, 以期为优先区域生物多样性保护提供依据。
1 数据与方法 1.1 植被覆盖度提取以国产全球陆地特征量(GLASS)产品为主要数据源, 收集2001—2016年基于MODIS数据生产的全球陆地特征量植被覆盖度(GLASS FVC)产品[11]。该产品是在高空间分辨率样本数据集构建的基础上, 将预处理后的MODIS地表反射率数据作为输入数据, 通过训练和检验不同机器学习算法的反演效果, 选择多元自适应样条回归(MARS)模型反演得到全球FVC产品[12]。该产品采用Sinusoidal投影方式, 空间分辨率为500 m, 时间分辨率为8 d, 全年共监测46次。
考虑到引入植被分类和土地利用变化状况会带来新的数据误差, 所以直接采用全区域的平均值, 能更为直接地反映植被动态变化, 忽略其他要素的影响。因此, 为获取植被动态变化特征和趋势, 采用Theil-Sen Median趋势分析方法, 并通过Mann-Kendall检验方法, 逐像元对植被覆盖度时间序列变化趋势进行分析[13]。同时, 在计算过程中, 为了避免水体富营养化及水体对区域统计的影响, 去除水域部分。与线性回归相比, Sen趋势度可以很好地减少噪声的干扰, 但其本身不能实现系列趋势显著性判断, 而Mann-Kendall方法本身对系列分布无要求且对异常值不敏感, 因此引入该方法可对系列趋势进行显著性检验。结合以上2种方法, 可以增强方法的抗噪性, 减少异常值的影响, 在一定程度上提高检验结果的准确性[14]。Theil-Sen Median计算公式为
| $ \beta = Median\left( {\frac{{{f_j} - {f_i}}}{{j - i}}} \right),\forall j > i。$ | (1) |
式(1)中, f为FVC值, 当β>0时, FVC在时间序列上呈增长趋势, 反之则呈退化趋势。
Mann-Kendall检验是对Theil-Sen Median检验程度的细化, 由于该文时间序列长度n=15, 因此可用标准的正态分布统计量Z进行趋势检验[15], 即当β>0且Z>1.96时, 序列呈显著上升趋势, 当β>0且Z≤1.96时, 序列呈上升趋势, 但未达显著水平; 同理, 当β < 0且Z>1.96时, 序列呈显著下降趋势, 当β < 0且Z≤1.96时, 序列呈下降趋势, 但未达显著水平[16]。
1.2 水域面积的提取采用丰水期水域面积和常年性水域面积作为地表水变化的指标, 利用MODIS长时间序列观测数据, 每8 d观测1次, 基于水体指数动态分析法, 将时间连续的水体指数计算结果进行累计, 只有当累计观测结果分别达到一定阈值后才认为是丰水期水域和常年性水域[17]。
水体的反射从可见光到短红外波段逐渐减弱, 在近红外和短红外波段范围内吸收最强, 可以采用水体在可见光波段和近红外波段的光谱差异构建水体指数。此外, 由于植被在近红外波段的反射率最强, 采用绿波段和近红外波段的指数法可以有效地抑制植被和土壤信息。因此, 选取一年内非结冰期遥感影像绿波段反射率(RG)和近红外波段反射率(RNIR)计算归一化水体指数(normalized difference water index, NDWI,INDW),其计算公式为
| $ {I_{{\rm{NDW}}}} = \frac{{{R_{\rm{G}}} - {R_{{\rm{NIR}}}}}}{{{R_{\rm{G}}} + {R_{{\rm{NIR}}}}}}。$ | (2) |
将INDW>0的点视作该点在该时间被水体淹没, 且认为在1 km空间分辨率遥感影像上面积大于1个像元且一年中95%的时间被水体淹没的区域为常年性水域, 在1 km空间分辨率遥感影像上面积大于1个像元且一年中50%的时间被水体淹没的区域为丰水期水域, 根据得到的淹没像元数和像元大小计算该区域水域面积[18]。
2 结果与分析 2.1 优先区域植被覆盖状况及变化趋势2016年各优先区域植被覆盖度统计和空间分布见表 1和图 1。由表 1可知, 在优先区域内, 年均植被覆盖度较高的5个区域依次为海南岛中南部区(78.92%)、西双版纳区(73.80%)、南岭区(69.52%)、武夷山区(69.16%)和桂西南山地区(68.87%); 年均植被覆盖度较低的5个区域依次为库姆塔格区(0.01%)、塔里木河流域区(1.36%)、西鄂尔多斯-贺兰山-阴山区(2.58%)、锡林郭勒草原区(5.78%)和祁连山区(6.89%)。
|
|
表 1 2001—2016年全国和优先区域植被覆盖度及其变化 Table 1 Status and changes of FVC in nationwide and priority areas during 2001-2016 |
|
图 1 2016年优先区域植被覆盖度 Fig. 1 FVC in priority areas for terrestrial biodiversity conservation in 2016 |
由图 1可知, 优先区域植被覆盖度整体由东南向西北逐步降低, 东北、藏东南和新疆部分地区植被覆盖度比周边区域高, 优先区域平均植被覆盖度为27.73%, 优于全国平均水平(24.94%)。
在计算2001—2016年植被覆盖度的基础上, 通过Sen+Mann-Kendall趋势分析法, 对优先区域植被覆盖度进行动态监测, 分析时间序列变化特征和变化趋势。2001—2016年优先区域植被覆盖度年际变化斜率空间分布见图 2, 分区域统计曲线见图 3。可以看出, 优先区域年均植被覆盖度整体上升, 整个优先区域上升速率略低于全国平均上升速率。阿尔泰山区、三江平原区和天山-准噶尔盆地西南部区经过一段时间的下降后又逐步上升。在32个优先区域内, 植被覆盖度上升较明显的是六盘山-子午岭区、桂西南山地区、太行山区、武陵山区和秦岭区; 植被覆盖度呈下降趋势的优先区域有天山-准噶尔盆地西南部区、三江平原区和阿尔泰山区。
|
图 2 2001—2016年优先区域植被覆盖度变化率空间分布 Fig. 2 Spatial distribution of FVC variation slope in priority areas for terrestrial biodiversity conservation during 2001-2016 |
|
图 3 2001—2016年全国及优先区域年均植被覆盖度变化曲线 Fig. 3 Curve of annual FVC variation in nationwide and priority areas during 2001-2016 |
通过Sen+Mann-Kendall趋势分析法, 对优先区域植被覆盖度变化趋势进行等级划分。其中, Sen趋势度>0时, 呈上升趋势, Sen趋势度 < 0时, 呈下降趋势, Sen趋势度为0时,则不变; |Z|≥1.96时, 则变化显著,|Z| < 1.96时, 则变化不显著。因此, 可将植被覆盖度变化划分为明显退化、轻微退化、稳定不变、轻微改善和明显改善5个等级, 再逐区进行统计, 结果见图 4。可以看出, 2001—2016年优先区年均植被覆盖度变化以改善为主, 其中, 明显改善区域面积占优先区面积的20.07%, 低于全国平均水平(24.53%); 轻微改善面积占整个优先区面积的33.91%, 高于全国平均水平(28.22%)。退化区域面积占整个优先区面积的24.41%, 也高于全国平均水平(21.23%), 其中, 轻微退化区域面积占20.51%, 高于全国平均水平(16.59%); 明显退化区域面积占3.90%, 低于全国平均水平(4.64%)。稳定不变区域面积占优先区总面积的21.61%,低于全国平均水平(26.20%)。
|
图 4 2001—2016年优先区域植被覆盖度变化趋势空间分布 Fig. 4 Spatial distribution of FVC variation trends in priority areas for terrestrial biodiversity conservation during 2001-2016 |
如表 2所示, 从每个优先区域来看, 2001—2016年有24个优先区域植被覆盖度以改善为主。其中, 六盘山-子午岭区、太行山区、武陵山区、秦岭区、大别山区、桂西黔南石灰岩区、桂西南山地区、大巴山区、小兴安岭区、松嫩平原区和西双版纳区11个优先区域植被覆盖度以明显改善为主; 呼伦贝尔区、锡林郭勒草原区、大兴安岭区、长白山区、岷山-横断山北段区、横断山南段区、南岭区、黄山-怀玉山区、武夷山区、鄱阳湖区、洞庭湖区、三江平原区和海南岛中南部区13个优先区域植被覆盖度变化以轻微改善为主; 而阿尔泰山区和天山-准噶尔盆地西南部区2个优先区域植被覆盖度变化以退化为主, 库姆塔格区、塔里木河流域区和西鄂尔多斯-贺兰山-阴山区3个优先区域年均植被覆盖度变化以稳定不变为主。
|
|
表 2 优先区域植被覆盖度变化趋势分区统计结果 Table 2 Variation trends and zonal statistics of FVC in priority areas for biodiversity conservation |
总的来说, 2001—2016年32个陆地与水域生物多样性保护优先区域年均植被覆盖度变化以改善为主, 改善区域面积占整个优先区域面积的53.98%, 高于全国水平(52.75%)。其中, 24个优先区域植被变化以改善为主, 六盘山-子午岭区、太行山区、武陵山区、秦岭区、大别山区、桂西黔南石灰岩区、桂西南山地区和大巴山区8个区域明显改善比例超过50%;植被覆盖状况退化的为阿尔泰山区、天山-准噶尔盆地西南部区, 区域内约50%的植被均呈现退化趋势。
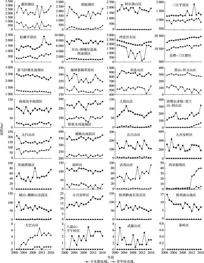
2.2 优先区域水域状况及变化趋势基于水体淹没次数法统计得到2016年水域面积和空间分布(表 3和图 5)。可以看出, 31个优先区域内监测存在丰水期水域, 比例较高的优先区域依次为鄱阳湖区、洞庭湖区、阿尔泰山区、三江平原区、松嫩平原区、天山-准噶尔盆地西南部区、呼伦贝尔区、羌塘-三江源区和喜马拉雅东南部区。24个优先区域内监测存在常年性水域, 比例较高的优先区域依次为鄱阳湖区、洞庭湖区、三江平原区、呼伦贝尔区、松嫩平原区和羌塘-三江源区。
|
|
表 3 2016年优先区域常年性水域和丰水期水域面积 Table 3 Perennial water area and water area in flood period respectively in priority areas in 2016 |
|
图 5 2016年优先区域丰水期水域和常年性水域空间分布 Fig. 5 Spatial distribution of perennial waters and waters in flood period in priority areas in 2016 |
从空间分布(图 5)上来看, 在32个优先区域中, 水域面积所占比例较大的区域主要分布在3大区域:中部, 水域以洞庭湖、鄱阳湖两大湖泊为主; 西部, 水域以大量分散的高原湖泊为主; 东北部, 水域以河流流域和少量湖泊为主。
2001—2016年在获取优先区域内常年性水域面积和丰水期水域面积的基础上, 对其变化趋势和比例做进一步分析, 结果见图 6。根据统计结果, 有16个区域常年性水域面积增加, 增幅较大的6个优先区域分别为洞庭湖区、松嫩平原区、羌塘-三江源区、塔里木河流域区、阿尔泰山区和太行山区; 其中, 羌塘-三江源区呈显著增加趋势; 在8个常年性水域面积减少区域中, 减幅较大的6个优先区域分别为长白山区、鄱阳湖区、黄山-怀玉山区、喜马拉雅东南部区、呼伦贝尔区和三江平原区。有19个区域丰水期水域面积增加, 增幅较大的6个优先区域分别为洞庭湖区、鄱阳湖区、松嫩平原区、羌塘-三江源区、阿尔泰山区和塔里木河流域区; 其中, 羌塘-三江源区呈显著增加趋势; 在12个丰水期水域面积减少区域中, 减幅较大的5个优先区域分别为大兴安岭区、长白山区、锡林郭勒草原区、喜马拉雅东南部区和呼伦贝尔区。可以看出, 分布在西部和东北部的林地、草地, 以及湖泊周边的区域, 水域面积不稳定, 存在明显的增加或减少区域, 而水域面积占比极低的区域, 如东南部的森林, 水域面积变化很小。
|
图 6 2001—2016年优先区域常年性水域和丰水期水域面积变化 Fig. 6 Variation of water area in perennial waters and waters in flood period in priority areas during 2001-2016 |
植被条件是影响动物数量及品质的重要因素, 而且也体现了其他环境要素的状况, 因此植被覆盖度状况可在一定程度上决定着保护区的生物多样性。同时, 水是万物之源, 水域的分布与面积对生物多样性的维持同样具有重要意义。
2016年, 优先区域植被覆盖度平均为27.73%, 高出全国平均水平(24.94%)约2.79百分点, 植被覆盖状况总体良好。从空间上来看, 植被覆盖度由东南向西北逐步降低, 东北、藏东南和新疆部分地区高于周边区域。2001—2016年期间, 优先区域年均植被覆盖度总体以改善为主, 有53.98%的面积植被覆盖度呈增加趋势, 有24.41%的面积呈降低趋势, 有21.61%的面积稳定不变。其中, 六盘山-子午岭区、太行山区、武陵山区、秦岭区、大别山区、桂西黔南石灰岩区、桂西南山地区和大巴山区8个优先区域植被覆盖状况明显改善, 面积比例均超过50%。16 a间, 阿尔泰山区和天山-准噶尔盆地西南部区等总体降低趋势明显, 2012年以来总体转变为逐步改善趋势, 但在羌塘-三江源区、呼伦贝尔区和洞庭湖区等优先区域, 近5 a来植被覆盖度总体呈现降低趋势(图 3)。
2016年, 有24个优先区域分布有常年性水域, 主要为中部地区的大型湖泊、西部地区的高原湖泊群和东北地区的中小型湖泊。2001—2016年有16个优先区域常年性水域面积增加, 有19个优先区域丰水期水域面积增加。总体来看, 优先区域水域面积总体呈增加趋势, 其中, 羌塘-三江源区、松嫩平原区和西鄂尔多斯-贺兰山-阴山区3个区域增加趋势较明显; 鄱阳湖区丰水期水域面积总体增加, 但是常年性水域面积呈减少趋势。
由于该文重点研究优先区域植被覆盖度和水域面积16 a来的变化情况, 因此在计算区域植被覆盖度时, 考虑到引入植被分类和土地利用变化后会带来新的数据误差, 所以直接采用全区域的平均值, 能更为直接地反映植被的动态变化情况, 而忽略其他要素的影响。另外, 该文主要采用遥感技术获取指标数据, 更多地是利用同一模型反映时空变化, 在具体区域上, 与传统地面测量的真实值会有所差别。在今后的研究中可收集气象、人类活动等数据, 进一步对植被和水域变化状况的驱动力因素(包含自然因素和人为活动的干扰)进行分析以增加研究深度。
4 结论通过对我国2001—2016年32个陆地和水域生物多样性保护优先区域生境状况进行遥感监测, 深入分析了与生物多样性密切相关的植被覆盖度和水域面积的现状及变化趋势。结果表明, 羌塘-三江源区、呼伦贝尔区和洞庭湖区等优先区域变化较明显, 但引起变化的具体原因还需要做进一步专题研究和分析, 配合地面调查, 分析驱动因素, 找出变化原因, 提出应对措施, 增强抵御全球气候变化的能力, 防范人类活动造成的威胁。遥感技术作为宏观监测的必要技术手段, 也亟需建立优先区域“天地一体化”监测体系, 形成区域综合监管能力, 主动发现生物多样性保护优先区域和重要物种生境条件变化, 从而服务于优先区域综合管理与决策。
| [1] |
田贵全, 宋沿东, 刘强, 等. 山东省生物多样性试点评价[J]. 中国环境监测, 2013, 29(3): 84-90. [ TIAN Gui-quan, SONG Yan-dong, LIU Qiang, et al. Pilot Evaluation of Biodiversity in Shandong Province[J]. Environmental Monitoring in China, 2013, 29(3): 84-90. DOI:10.3969/j.issn.1002-6002.2013.03.017] ( 0) |
| [2] |
环境保护部.关于发布《中国生物多样性保护优先区域范围》的公告[EB/OL]. (2015-12-31)[2018-04-04]. http://www.mee.gov.cn/gkml/hbb/bgg/201601/t20160105_321061.htm.
( 0) |
| [3] |
张新时. 中国植被及其地理格局:中华人民共和国植被图(1:1000000)说明书[M]. 北京: 地质出版社, 2007: 3-4.
( 0) |
| [4] |
马明国, 王建, 王雪梅. 基于遥感的植被年际变化及其与气候关系研究进展[J]. 遥感学报, 2006, 10(3): 421-431. [ MA Ming-guo, WANG Jian, WANG Xue-mei. Advance in the Inter-Annual Variability of Vegetation and Its Relation to Climate Based on Remote Sensing[J]. Journal of Remote Sensing, 2006, 10(3): 421-431.] ( 0) |
| [5] |
STOW D, HAMADA Y, COULTER L, et al. Monitoring Shrubland Habitat Changes Through Object-Based Change Identification With Airborne Multispectral Imagery[J]. Remote Sensing of Environment, 2008, 112(3): 1051-1061. DOI:10.1016/j.rse.2007.07.011 ( 0) |
| [6] |
赵海迪, 刘世梁, 董世魁, 等. 基于植被覆盖度的藏羚羊栖息地时空变化研究[J]. 生态学报, 2014, 34(12): 3285-3292. [ ZHAO Hai-di, LIU Shi-liang, DONG Shi-kui, et al. Study on Spatio-Temperal Change of Tibetan Antelope's Habitat Based on Vegetation Coverage[J]. Acta Ecologica Sinica, 2014, 34(12): 3285-3292.] ( 0) |
| [7] |
VIÑA A, BEARER S, ZHANG H M, et al. Evaluating MODIS Data for Mapping Wildlife Habitat Distribution[J]. Remote Sensing of Environment, 2008, 112(5): 2160-2169. DOI:10.1016/j.rse.2007.09.012 ( 0) |
| [8] |
王慧, 谢小魁, 米胜渊, 等. 基于遥感的洞庭湖面积变化及其影响研究[J]. 农业网络信息, 2017(1): 90-95. [ WANG Hui, XIE Xiao-kui, MI Sheng-yuan, et al. Study on the Change and Its Impact of Dongting Lake's Area Based on Remote Sensing[J]. Agriculture Network Information, 2017(1): 90-95. DOI:10.3969/j.issn.1672-6251.2017.01.019] ( 0) |
| [9] |
韩奔, 冯理, 韩联宪, 等. 纳帕海越冬水鸟数量与水域面积的关系[J]. 西南林学院学报, 2009, 29(2): 44-46. [ HAN Ben, FENG Li, HAN Lian-xian, et al. Relationship Between Population Fluctuation of Wintering Waterfowls and Water Area Change in Napahai Nature Reserve[J]. Journal of Southwest Forestry University, 2009, 29(2): 44-46.] ( 0) |
| [10] |
赵慧颖, 乌力吉, 郝文俊. 气候变化对呼伦湖湿地及其周边地区生态环境演变的影响[J]. 生态学报, 2008, 28(3): 1064-1071. [ ZHAO Hui-ying, WU Li-ji, HAO Wen-jun. Influences of Climate Change to Ecological and Environment in the Hulun Lake Wetland and Its Surrounding Areas[J]. Acta Ecologica Sinica, 2008, 28(3): 1064-1071. DOI:10.3321/j.issn:1000-0933.2008.03.020] ( 0) |
| [11] |
JIA K, LIANG S L, LIU S H, et al. Global Land Surface Fractional Vegetation Cover Estimation Using General Regression Neural Networks From MODIS Surface Reflectance[J]. IEEE Transactions on Geoscience and Remote Sensing, 2015, 53(9): 4787-4796. DOI:10.1109/TGRS.2015.2409563 ( 0) |
| [12] |
梁顺林, 程洁, 贾坤, 等. 陆表定量遥感反演方法的发展新动态[J]. 遥感学报, 2016, 20(5): 875-898. [ LIANG Shun-lin, CHENG Jie, JIA Kun, et al. Recent Progress in Land Surface Quantitative Remote Sensing[J]. Journal of Remote Sensing, 2016, 20(5): 875-898.] ( 0) |
| [13] |
王佃来, 刘文萍, 黄心渊. 基于Sen+Mann-Kendall的北京植被变化趋势分析[J]. 计算机工程与应用, 2013, 49(5): 13-17. [ WANG Dian-lai, LIU Wen-ping, HUANG Xin-yuan. Trend Analysis in Vegetaiton Cover in Beijing Based on Sen+Mann-Kendall Method[J]. Computer Engineering and Applications, 2013, 49(5): 13-17. DOI:10.3778/j.issn.1002-8331.1206-0282] ( 0) |
| [14] |
HOAGLIN D C, MOSTELLER F, TUKEY J W. Understanding Robust and Exploratory Data Analysis[M]. New York: Wiley, 1983: 169-181.
( 0) |
| [15] |
HIRSCH R M, SMITH R A, SLACK R J. Techniques of Trend Analysis for Monthly Water Quality Data[J]. Water Resources Research, 1982, 18(1): 107-121. DOI:10.1029/WR018i001p00107 ( 0) |
| [16] |
贺冉冉, 马玲.基于滑动窗口的非参数趋势检验在气候序列趋势和波动分析中的应用[C]//蚌埠市科学技术协会.促进科技经济结合, 服务创新驱动发展: 蚌埠市科协2012年度学术年会论文集.蚌埠: [出版者不详], 2012: 213-220.
( 0) |
| [17] |
JAIN S K, SINGH R D, JAIN M K, et al. Delineation of Flood-Prone Areas Using Remote Sensing Techniques[J]. Water Resources Management, 2005, 19(4): 333-347. DOI:10.1007/s11269-005-3281-5 ( 0) |
| [18] |
万华伟, 高帅, 刘玉平, 等. 呼伦贝尔生态功能区草地退化的时空特征[J]. 资源科学, 2016, 38(8): 1443-1451. [ WAN Hua-wei, GAO Shuai, LIU Yu-ping, et al. Grassland Degradation Monitoring and Spatio-Temporal Variation Analysis of the Hulun Buir Ecological Function Region[J]. Resources Science, 2016, 38(8): 1443-1451.] ( 0) |




0)