2. 中国农业科学院农业资源与农业区划研究所/农业部面源污染控制重点实验室, 北京 100081;
3. 云南农业大学资源与环境学院, 云南 昆明 650201
2. Institute of Agricultural Resources and Regional Planning, Chinese Academy of Agricultural Sciences, Key Laboratory of Nonpoint Source Pollution Control, Ministry of Agriculture, Beijing 100081, China;
3. College of Resources and Environment, Yunnan Agricultural University, Kunming 650201, China
农业面源污染是不同种植类型或土地利用与其空间格局对降雨径流的综合响应[1], 特别是种植类型的变化影响着农田的利用强度、施肥水平, 从而改变了农田土壤氮磷等污染物的产生、输出、迁移和转化, 引起区域水体水质发生不同程度的变化。种植类型影响农田氮磷流失负荷, 蔬菜地径流中氮磷流失量最大, 其次是水旱轮作和单季稻农田, 最后是苗木地和休闲地[2-3], 而且农田集约化程度越高, 农田氮磷流失负荷越大[4]。流域内种植类型或土地利用相同, 但其面积比例、空间分布格局不同也会产生不同的面源污染负荷。流域径流中氮浓度与流域汇水区不同种植类型或土地利用面积比例有明显的相关性, 随着农田面积的增加, 径流中氮浓度呈线性增加; 随着林地面积的增加, 氮浓度则成比例降低[5], 径流中94%的氮可以由农田和林地的面积比例来解释[6]。具有净化能力的种植类型或土地利用在空间上进行科学镶嵌组合也可减少面源污染负荷[7], JONES等[8]认为集水区农田和缓冲带占比变化能够解释河流中氮、可溶性磷和悬浮物变动的65%~84%。可见, 农业面源氮、磷污染物的输出及周围水体水质与土地利用、种植类型及其在区域的空间配置密切相关。
农田灌排沟渠是连接农田和下游受纳水体之间的纽带, 是向下游水体输送氮磷等物质的重要通道, 作为农田流失氮、磷的“汇”及下游受纳水体污染的“源”[9], 其水质状况与周边种植类型存在复杂的相关关系[10]。不同种植类型农田沟渠径流氮、磷浓度变化既反映该种植类型农田氮、磷输出的新增负荷和对上游农田来水的消纳净化, 又表征沟渠对农田尾水的截留净化能力, 也是实现农田流失氮、磷“源-汇”功能转换的重要场所[9]。目前, 对南方平原水网区不同种植类型氮磷流失特征研究较多[2-4], 但对山区/半山区洱海近岸农田不同种植类型农田沟渠径流氮、磷流失特征还鲜有研究。以洱海西岸苗木地、菜地和稻田3种种植类型农田内的典型灌排单元为对象, 研究农田沟渠径流氮、磷浓度变化特征, 探讨不同种植类型对农田沟渠径流氮、磷浓度的贡献率, 以期为当地调整传统种植结构,合理优化不同种植空间格局提供技术支撑, 以降低农田氮、磷等污染物输出, 保护洱海水质安全。
1 材料与方法 1.1 研究区概况研究区位于云南省大理州下关市, 范围为大丽路以东、洱海以西的农田(图 1), 包括下关镇、大理镇和银桥镇, 海拔1 980 m。气候类型为北亚热带低纬高原季风气候, 年平均气温为15.1 ℃, 最冷月平均8.7 ℃, 最热月平均20.1 ℃。年平均无霜期230 d, 初霜期为11月中旬, 终霜期为3月末。干湿季明显, 雨季主要集中在5—10月, 旱季降雨较少, 年平均降雨量1 078.9 mm, 平均降雨日136 d。年平均日照时数为2 276.6 h, 年平均湿度为66%。地形为山区半山区的山前台地。3种土地利用方式的土壤类型为水稻土, 肥力水平较高, 其中苗木、菜地在1990年开始水改旱。
|
图 1 研究区位置示意 Figure 1 Location of the study area |
试验区主要种植作物为蔬菜、水稻、蚕豆、苗木等, 主要轮作模式为常年种植苗木、露地蔬菜、水稻-蚕豆轮作等。主要轮作模式和作物的施肥情况见表 1~2。监测期内水稻-蚕豆轮作下水稻栽秧时间为5月初, 收获时间为10月初。栽秧时施入底肥, 追分蘖肥。露地蔬菜1 a种3季, 5月初种甘蓝, 移栽时施入底肥, 移栽30 d后追肥, 8月中旬收甘蓝。9月初种青笋, 移栽时施入底肥, 移栽30 d后追肥, 12月中旬收青笋。苗木地全年种苗木, 随时进行追肥。
|
|
表 1 不同轮作模式肥料投入量 Table 1 Fertilization rate of the field relative to rotation mode |
|
|
表 2 监测期内作物的肥料投入量 Table 2 Fertilization rates of the crops during the monitoring period |
大丽路以东至洱海边单一种植类型集中, 单一种植区内间或有村庄零星分布, 村污已通过管网收集处理。而大丽路以西至苍山土地利用类型复杂多变, 因此, 选择大丽路以东、洱海以西的3种种植类型(苗木地、露地蔬菜和稻田), 种植类型内沟渠径流沿苍山方向流入洱海。每一种植类型内各选择3条独立的沟渠进行布点监测, 选择的沟渠为水泥沟渠, 沟渠内底泥较多, 底泥厚度为5~10 cm, 沟渠内植物生长良好, 主要为稗草(Echinochloa crusgali)、水芹(Oenanthe javanica)、空心莲子草(Alternanthera philoxeroides)、狗牙根(Cynodon dactylon)、茭草(Zizania latifolia)等本地草本植物, 沟渠坡度为3°左右, 沟渠横截面为矩形, 取样沟渠的长、宽、高见表 3。沟渠两侧利用该沟渠进行灌排水的农田确定为1个灌排单元, 每个灌排单元两侧被道路分割, 避免灌排单元以外农田相互串水, 灌排单元沟渠径流入水口监测点沿大丽路一线布设, 入水口也是上游其它土地利用类型的出水口, 灌排单元沟渠径流出水口的监测点沿环海路一线布设, 出水口也是该灌排单元径流的入洱海口。沟渠两侧农田在降雨和灌溉时, 都时刻进行着地表水交换。3种种植类型范围、具体采样沟渠和采样沟渠控制的典型灌排面积见图 1和表 3, 图 1和表 3中每种种植类型下沟渠编号从南向北排列。沟渠径流水监测主要集中在2014年5—10月的雨季, 降雨量变化见图 2。
|
|
表 3 灌排沟渠采样位置、特征及覆盖的农田面积 Table 3 Sampling sites along the ditch and characteristics and farmland coverage of the ditch |
|
图 2 监测期内降雨量变化 Figure 2 Variation of rainfall during the monitoring period |
在每条灌排沟渠的入水口和出水口于每月月初(1—3日)、月中(14—16日)和月底(28—30日)取3次样。若遇到降雨, 在降雨当天和1 d以后增加取样。
1.3 样品测试方法及指标计算将采集的水样迅速带回实验室, 放置在4 ℃以下冰箱中冷藏, 测定水样中总氮(TN)、NO3--N、NH4+-N、总磷(TP)和可溶性磷(DTP)浓度。为了去除水中的杂质, 在测定前先用滤纸对水样进行过滤。TN浓度采用碱性过硫酸钾消解紫外分光光度法测定, NO3--N和NH4+-N浓度采用AA3型连续流动分析仪测定, TP和DTP浓度采用钼酸铵分光光度法测定[11]。NO3--N加上NH4+-N浓度为无机氮(Nmin)浓度; TN减去Nmin浓度为有机氮(ON)浓度; TP减去DTP浓度为颗粒态磷(PP)浓度。
贡献率为某一因素引起的增加量与总量之比, 种植类型对沟渠径流中不同形态氮(TN、NO3--N和NH4+-N)或磷(TP和DTP)浓度的贡献率为沟渠径流流经某一种植类型时, 由于灌排事件引起的沟渠径流中不同形态氮或磷浓度的增加量与沟渠径流流出该种植类型时沟渠径流不同形态氮或磷浓度总量之比,其计算公式为
| $ \mathit{y}{\rm{ = }}\frac{{{\mathit{x}_{\rm{1}}}{\rm{ - }}{\mathit{x}_{\rm{2}}}}}{{{\mathit{x}_{\rm{1}}}}}{\rm{ \times 100\% }}。$ | (1) |
式(1) 中,y为种植类型对沟渠径流TN、NO3--N、NH4+-N、TP或DTP浓度的贡献率, %; x1为沟渠径流流出某一种植类型时出水口径流中TN、NO3--N、NH4+-N、TP或DTP浓度, mg·L-1; x2为沟渠径流流入该种植类型时入水口径流中TN、NO3--N、NH4+-N、TP或DTP浓度, mg·L-1。
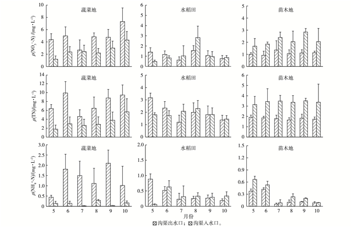
2 结果与讨论 2.1 不同种植类型沟渠径流氮浓度的变化特征不同种植类型对沟渠出水口径流各氮形态浓度影响较大, 沟渠出水口径流中TN、NO3--N和NH4+-N浓度变化趋势基本一致, 从大到小依次为菜地(TN 7.61 mg·L-1,NO3--N 4.82 mg·L-1,NH4+-N 1.33 mg·L-1)、稻田(TN 1.97 mg·L-1,NO3--N 1.09 mg·L-1,NH4+-N 0.39 mg·L-1)和苗木地(TN 1.83 mg·L-1,NO3--N 1.09 mg·L-1,NH4+-N 0.19 mg·L-1)(图 3), 这与各种植类型的施肥量、复种指数、作物对养分的吸收量和土壤本底氮浓度密切相关[2-3, 12]。菜地沟渠出水口径流TN浓度远大于地表Ⅴ类水标准[13], 稻田和苗木地沟渠出水口径流TN浓度也高于地表Ⅳ类水标准。
|
图 3 沟渠径流中各形态氮浓度月际变化特征 Figure 3 Monthly variation of concentrations of various forms of N in ditch runoff |
菜地每月沟渠出水口径流各形态氮浓度均大于沟渠入水口(图 3), TN浓度远大于地表Ⅴ类水标准。6、9和10月的TN浓度, 9月的NH4+-N浓度和10月的NO3--N浓度都较高, 这3个月是蔬菜集中种植的月份, 施肥量较大, 翻耕-施肥-灌溉-排水后带走了土壤中大量氮, 而7、8月各形态氮浓度略低, 可能是这2个月降雨量大, 一定程度上降低了径流中各形态氮浓度。
就稻田5和6月的TN, 5、6和9月的NO3--N和5月的NH4+-N而言,沟渠出水口径流中各形态氮浓度大于沟渠入水口(图 3), 其余月份均小于沟渠入水口径流中各形态氮浓度, 5和6月TN浓度高于地表Ⅴ类水标准, 8和9月TN浓度高于地表Ⅳ类水标准, 7月TN浓度小于地表Ⅳ类水标准, 主要是因为5—6月为水稻栽秧和返青的主要时期, 这段时期稻田施入底肥和返青肥, 施肥量大, 增加了稻田外排水中氮浓度, 其他月份稻田对周围水体存在一定净化作用, 此与曹志洪等[14]认为的稻田是水循环中氮素汇的观点基本一致。
苗木地每月沟渠出水口径流各形态氮浓度小于沟渠入水口, TN浓度也远低于地表Ⅴ类水标准, 主要是一方面苗木地复种指数低, 施肥量较小而需肥量大; 另一方面苗木地本底氮浓度较低, 用沟渠入水口远大于地表Ⅴ类水的水源灌溉苗木地后, 苗木地对灌溉水起到净化作用。这与章明奎等[2]研究的苗木地各形态氮径流流失量较低的结果基本一致。除了5和6月NH4+-N浓度较大外, 其他月的NH4+-N浓度和每月的TN、NO3--N浓度变化都较小, 这与苗木地较少的生产管理活动密切相关。
3种种植类型下无机氮(Nmin)是沟渠径流中主要的氮素形态, 苗木地、菜地和稻田Nmin/TN分别为70.32%、72.59%和81.49%(图 4)。无机氮中流失量最大的是NO3--N, 苗木地、菜地和稻田NO3--N/Nmin分别为81.49%、84.75%和75.13%, NH4+-N占比较低, 这与王彩绒[15]的研究结果一致, 主要是因为雨季农田排水量大, 且沟渠有一定坡度, 使得沟渠径流流量、流速大, 流态紊乱加速了氮的硝化作用[16]。
|
图 4 沟渠径流中各形态氮浓度的比例 Figure 4 Proportions of various forms of N in concentration in ditch runoff |
稻田沟渠出水口径流中NH4+-N占无机氮浓度较高, 为24.87%, 其次是菜地和苗木地, 为18.51%和15.25%, 主要是因为稻田田面水无机氮以NH4+-N为主[17], 田面水的外排增加了沟渠径流中NH4+-N浓度, 而苗木地和菜地为旱地, NO3--N是旱地氮素径流流失的主要形式[18]。但李国栋等[19]认为NH4+-N是太湖地区菜地径流输出的主要形式, 占可溶态氮的50%, NO3--N仅占30%, 这可能是由于区域地形差异造成, 太湖地区为平原河网区, 沟渠径流水流不畅, 易形成厌氧环境, 不利于氮的硝化, 而洱海近岸菜地沟渠坡度为3°左右, 水流通畅, 易形成有氧条件, 利于氮的硝化作用[20]。
菜地沟渠出水口径流中有机氮(ON)浓度占TN的29.68%(图 4), 其次是稻田(27.41%)和苗木地(17.36%), 这与不同种植类型的有机肥施用量、复种指数及降雨密切相关[2]。在5、7和8月稻田沟渠出水口径流中ON/TN较大, 主要是因为5月种水稻时施入有机肥, 然后翻耕泡田, 而7、8月降雨量多, 径流量大, 导致ON流失量增加。菜地月际间沟渠径流中ON/TN相差不大, 主要是因为菜地复种指数高, 一年最多种4季, 频繁的施肥、翻耕及灌溉排水等农事活动增加了有机氮的流失风险。苗木地沟渠出/入水口径流间ON/TN相差不大, 这与苗木地不用有机肥和少的农事活动有关。
2.2 不同种植类型沟渠径流磷浓度的变化特征不同种植类型对沟渠出水口径流TP和DTP的影响较大(图 5), 但变化趋势一致, 从大到小依次为菜地(TP 0.52 mg·L-1,DTP 0.36 mg·L-1)、稻田(TP 0.21 mg·L-1,DTP 0.15 mg·L-1)和苗木地(TP 0.08 mg·L-1,DTP 0.06 mg·L-1)。由于沟渠径流直排洱海, 径流中TP浓度高低直接影响着洱海的水质安全。菜地沟渠出水口径流TP浓度远大于地表Ⅴ类水标准, 稻田沟渠出水口径流TP浓度在地表水Ⅲ~Ⅳ类之间, 苗木地沟渠出水口径流TP浓度低于地表Ⅱ类水标准。
|
图 5 沟渠径流中各形态磷浓度月际变化特征 Figure 5 Monthly variation of concentrations of various forms of P in ditch runoff |
菜地每月沟渠出水口径流TP和DTP浓度大于沟渠入水口(图 5), 主要是因为蔬菜地频繁的翻耕、施肥和灌溉等农事活动, 加速了土壤侵蚀及表层土中DTP的溶出。沟渠出水口径流TP浓度在5、6月远大于地表Ⅴ类水标准, 其他月份低于地表Ⅴ类水标准。稻田5、6月沟渠出水口径流TP和DTP浓度大于沟渠入水口, 9月沟渠出水口径流TP和DTP浓度相差不大, 这主要与5、6月稻田翻耕、施肥、泡田栽秧等农事活动及9月收割前的排水落干有关。其他月份沟渠出水口径流TP和DTP浓度小于沟渠入水口。稻田沟渠出水口径流TP浓度在地表水Ⅲ~Ⅳ类之间。苗木地每月沟渠出水口径流中TP和DTP浓度小于沟渠入水口径流中TP和DTP浓度, 沟渠出水口径流TP浓度也低于地表Ⅲ类水标准。
DTP是沟渠径流中主要的磷形态, 占总磷的70.33%~79.33%(图 6), 一般认为农田径流磷流失以PP为主, 这已被许多研究[19-23]证实, 但农田径流流失的磷进入沟渠后, 通过沟渠植物拦截吸附、颗粒沉降后, 沟渠径流中磷形态以DTP为主, 这与KLEINMAN等[24]研究结果一致。菜地沟渠出水口径流中PP/TP较大, 为29.67%, 其次是稻田(23.13%)和苗木地(20.67%)。这与农田翻耕频率、施磷水平及土壤磷累积有关, 磷流失取决于径流量、土壤流失量和土壤中的磷累积, 菜地施磷量大, 施入的磷大部分在表土富集, 加之翻耕频繁, 表土疏松, 有利于径流冲刷, 大量磷随土壤进入水体。稻田和苗木地翻耕次数少, 施磷量少, 所以沟渠径流PP浓度小。3种种植类型在7、8月PP/TP比值较其他月份大, 这是因为7、8月降雨量大, 沟渠径流量增多, 增加了对农田土壤及沟道底泥的冲刷, 所以PP浓度较大。
|
图 6 沟渠径流中各形态磷浓度的比例 Figure 6 Proportions of various forms of P in concentration in ditch runoff |
3种种植类型的农田沟渠兼顾灌排功能, 沟渠上游来水通过灌溉进入菜地、稻田或苗木地达到消纳的目的, 同时多余灌溉水或降雨产生的径流又会携带该种植类型下新增的氮磷重新进入相同沟渠, 这种梯级网络化农田对沟渠水反复灌溉和排放, 从而实现灌排单元尺度农田沟渠径流N、P浓度的增减变化。图 7表明苗木地对沟渠径流氮磷浓度的贡献率最低, 对TN、NH4+-N、NO3--N、TP和DTP的贡献率分别为-89.88%、-64.81%、-96.49%、-72.11%和-69.69%。其次是稻田, 对TN、NH4+-N、NO3--N、TP和DTP的贡献率分别为-4.50%、-15.14%、-10.01%、-0.85%和-0.29%。最高为菜地, 沟渠径流通过菜地后, TN、NH4+-N、NO3--N、TP和DTP分别增加56.41%、85.81%、44.61%、66.17%和64.80%。3种种植类型沟渠出/入水口水量一致的条件下, 苗木地发挥了“汇”的作用, 稻田基本达到“源-汇”平衡, 菜地发挥了“源”的作用。
|
图 7 种植类型对沟渠径流氮磷的贡献率 Figure 7 Contribution rates of planting patterns to N and P in ditch runoff |
苗木地降低了上游来水中氮磷浓度, 但苗木地对径流中氮磷净化效果的优劣还与上游来水氮磷浓度的高低和自身条件下新增的氮磷量有关。章明奎等[2]研究认为苗木地各形态氮磷流失量远低于稻田及菜地。稻田也对上游来水中的氮磷发挥了一定的净化作用, 曹志洪等[14]的研究认为稻田具有氮磷流失的汇作用。但与汤秋香等[25]研究的洱海北部稻田氮磷的排放量较大有一定差异, 这主要与水稻前作作物有关, 洱海北部区域主要是水稻-大蒜轮作, 而洱海西部主要是水稻-蚕豆轮作, 大蒜施肥量大, 土壤中残留的氮磷量高, 而蚕豆施肥量小。
菜地由于复种指数高, 施肥量大, 灌溉频繁, 是农田氮磷重要的排放源, 也是农田面源污染重点控制的种植类型, 这已被许多研究[12, 15, 19]证实。虽然3种种植类型对农田沟渠径流氮磷浓度有不同的贡献率, 但是对洱海水质仍有一定危害, 图 3和图 4表明苗木地沟渠出水口径流的TN大于地表水Ⅳ类水标准, TP低于湖库水Ⅳ类水标准, 稻田沟渠出水口径流的TN也大于地表水Ⅳ类水标准, TP是大于湖库水Ⅳ类水标准, 菜地沟渠出水口径流的TN、TP远高于地表水Ⅳ类水标准。近几年洱海总体水质为Ⅱ~Ⅲ类水标准[26], 所以苗木地、稻田和菜地出水口径流直排洱海, 对洱海水质造成不同程度的危害。由于不同种植类型农田对氮磷的净化效果不同, 可以将具有汇效应的种植类型在湖滨带农田空间格局上进行科学镶嵌组合, 以距离洱海由近及远逐步配置“农田缓冲带—苗木地—稻田—菜地”, 通过优化种植类型的空间镶嵌格局, 实现农田面源污染防治的源头减量、过程减排和末端净化策略, 以保护洱海的水环境安全。
3 结论不同种植类型对沟渠出水口径流氮磷浓度的影响从大到小依次为为菜地、稻田和苗木地。菜地沟渠出水口径流中各形态氮磷浓度均大于沟渠入水口, 而苗木地则相反。在5、6月稻田沟渠出水口径流中各形态氮磷浓度大于沟渠入水口, 而其它月份则相反。3种种植类型下无机氮是沟渠径流中主要的氮素形态, 占TN浓度的70.32%~81.49%。无机氮中流失量最大的是NO3--N, 占无机氮的75.13%~84.75%。DTP是沟渠径流中主要的磷形态, 占TP的70.33%~79.33%。菜地对沟渠径流中TN、NH4+-N、NO3--N、TP和DTP浓度的贡献率最大, 分别为56.41%、85.81%、44.61%、66.17%和64.80%;其次是稻田, 贡献率分别为-4.50%、-15.14%、-10.01%、-0.85%和-0.29%;苗木地最小, 贡献率分别为-89.88%、-64.81%、-96.49%、-72.11%和-69.69%。
| [1] |
CHANG H J. Spatial Analysis of Water Quality Trends in the Han River Basin, South Korea[J]. Water Research, 2008, 42(13): 3285-3304. DOI:10.1016/j.watres.2008.04.006 ( 0) |
| [2] |
章明奎, 王阳, 黄超. 水网平原地区不同种植类型农田氮磷流失特征[J]. 应用生态学报, 2011, 22(12): 3211-3220. ZHANG Ming-kui, WANG Yang, HUANG Chao. Characteristics of Nitrogen and Phosphorus Runoff Losses From Croplands With Different Planting Patterns in a Riverine Plain Area of Zhejiang Province, East China[J]. Chinese Journal of Applied Ecology, 2011, 22(12): 3211-3220. ( 0) |
| [3] |
张继宗, 张维理, 雷秋良, 等. 太湖平原农田区域地表水特征及对氮磷流失的影响[J]. 生态环境学报, 2009, 18(4): 1497-1503. ZHANG Ji-zong, ZHANG Wei-li, LEI Qiu-liang, et al. Surface Water Characteristics of Farmlands Area and the Impact of Nitrogen and Phosphorus Losses From Farmland in Taihu Lake Region[J]. Ecology and Environmental Sciences, 2009, 18(4): 1497-1503. ( 0) |
| [4] |
徐爱国, 冀宏杰, 张认连, 等. 太湖水网地区原位模拟降雨条件下不同农田类型氮素流失特征研究[J]. 植物营养与肥料学报, 2010, 16(4): 809-816. XU Ai-guo, JI Hong-jie, ZHANG Ren-lian, et al. Nitrogen Losses Under Simulated Rainfall Conditions in Different Cropping Lands of Taihu Lake Region[J]. Plant Nutrition and Fertilizer Science, 2010, 16(4): 809-816. DOI:10.11674/zwyf.2010.0405 ( 0) |
| [5] |
SCHILLING K E, LIBRA R D. The Relationship of Nitrate Concentrations in Streams to Row Crop Land Use in Lowa[J]. Journal of Environmental Quality, 2000, 29(6): 1846-1951. ( 0) |
| [6] |
CASTILLO M M, ALLAN J D, BRUNZELL S. Nutrient Concentrations and Discharges in a Midwestern Agricultural Catchment[J]. Journal of Environmental Quality, 2000, 29(4): 1142-1151. ( 0) |
| [7] |
郭长城, 喻国华, 王国祥. 湖滨带植物群落对挟沙水体氮、磷污染物的截留效果[J]. 生态环境, 2007, 16(3): 866-870. GUO Chang-cheng, YU Guo-hua, WANG Guo-xiang. Removal of N and P in Water Taking Sediment by Simulative Bank[J]. Ecology and Environment, 2007, 16(3): 866-870. ( 0) |
| [8] |
JONES K B, NEALE A C, NASH M S, et al. Predicting Nutrient and Sediment Loadings to Streams From Landscape Metrics:A Multiple Watershed Study From the United States Mid-Atlantic Region[J]. Landscape Ecology, 2001, 16(4): 301-312. DOI:10.1023/A:1011175013278 ( 0) |
| [9] |
陆海明, 孙金华, 邹鹰, 等. 农田排水沟渠的环境效应与生态功能综述[J]. 水科学进展, 2010, 21(5): 719-725. LU Hai-ming, SUN Jin-hua, ZOU Ying, et al. Review of Environmental Impact and Ecological Function of Agricultural Drainage Ditches[J]. Advances in Water Science, 2010, 21(5): 719-725. ( 0) |
| [10] |
陆琦, 马克明, 倪红伟. 湿地农田渠系的生态环境影响研究综述[J]. 生态学报, 2007, 27(5): 2118-2125. LU Qi, MA Ke-ming, NI Hong-wei. A Review on the Ecological and Environmental Impacts of Agricultural Ditch Systems in Wetlands[J]. Acta Ecologica Sinica, 2007, 27(5): 2118-2125. ( 0) |
| [11] |
国家环境保护总局. 水和废水监测分析方法[M]. 4版. 北京: 中国环境科学出版社, 2002. State Environmental Protection Administration. Water and Wastewater Monitoring and Analysis Methods[M]. 4th. Beijing: China Environmental Science Press, 2002. ( 0) |
| [12] |
沈连峰, 苗蕾, 韩敏, 等. 河南省淮河流域不同土地利用类型氮磷流失的特征分析[J]. 水土保持学报, 2012, 26(4): 77-80. SHEN Lian-feng, MIAO Lei, HAN Min, et al. Characteristics Analysis of Nitrogen and Phosphorus Loss About Different Land Use Types of Huaihe River Basin in Henan Province[J]. Journal of Soil and Water Conservation, 2012, 26(4): 77-80. ( 0) |
| [13] |
GB 3838-2002, 地表水环境质量标准[S]. GB 3838-2002, Environmental Quality Standards for Surface Water[S]. ( 0) |
| [14] |
曹志洪, 林先贵, 杨林章, 等. "稻田圈"在保护城乡生态环境中的功能Ⅱ:稻田土壤氮素养分的累积、迁移及其生态环境意义[J]. 土壤学报, 2006, 43(2): 256-260. CAO Zhi-hong, LIN Xian-gui, YANG Lin-zhang, et al. Ecological Function of "Paddy Field Ring" to Urban and Rural Environment Ⅱ:Characteristics of Nitrogen Accumulation, Movement in Paddy Field Ecosystem and Its Relation to Environmental Protection[J]. Acta Pedologica Sinica, 2006, 43(2): 256-260. DOI:10.11766/trxb200505080213 ( 0) |
| [15] |
王彩绒. 太湖典型地区蔬菜地氮磷迁移与控制研究[D]. 杨凌: 西北农林科技大学, 2006. WANG Cai-rong.Study on Nitrogen and Phosphorus Movement and Control in Vegetable Fields in Taihu Lake Region[D].Yangling:Northwest A & F University, 2006. http://cdmd.cnki.com.cn/Article/CDMD-10712-2006180010.htm ( 0) |
| [16] |
何军, 崔远来, 王建鹏, 等. 不同尺度稻田氮磷排放规律试验[J]. 农业工程学报, 2010, 26(10): 56-62. HE Jun, CUI Yuan-lai, WANG Jian-peng, et al. Experiments on Nitrogen and Phosphorus Losses From Paddy Fields Under Different Scales[J]. Transactions of the CSAE, 2010, 26(10): 56-62. DOI:10.3969/j.issn.1002-6819.2010.10.009 ( 0) |
| [17] |
肖梦华, 俞双恩, 章云龙. 控制排水条件下淹水稻田田面及地下水氮浓度变化[J]. 农业工程学报, 2011, 27(10): 180-186. XIAO Meng-hua, YU Shuang-en, ZHANG Yun-long. Changes of Nitrogen Concentration for Surface and Groundwater in Flooding Paddy Field Under Controlled Drainage[J]. Transactions of the CSAE, 2011, 27(10): 180-186. DOI:10.3969/j.issn.1002-6819.2011.10.032 ( 0) |
| [18] |
高德才, 张蕾, 刘强, 等. 不同施肥模式对旱地土壤氮素径流流失的影响[J]. 水土保持学报, 2014, 28(3): 209-213. GAO De-cai, ZHANG Lei, LIU Qiang, et al. Effects of Different Fertilization Modes on Soil Nitrogen Runoff in Dryland Field[J]. Journal of Soil and Water Conservation, 2014, 28(3): 209-213. ( 0) |
| [19] |
李国栋, 胡正义, 杨林章, 等. 太湖典型菜地土壤氮磷向水体径流输出与生态草带拦截控制[J]. 生态学杂志, 2006, 25(8): 905-910. LI Guo-dong, HU Zheng-yi, YANG Lin-zhang, et al. Soil Nitrogen and Phosphorus Losses With Surface Runoff From Typical Vegetable Field of Taihu Lake Region and Their Control With Grass Buffer Strip[J]. Chinese Journal of Ecology, 2006, 25(8): 905-910. ( 0) |
| [20] |
胡宜刚, 吴攀, 赵洋, 等. 宁蒙引黄灌区农田排水沟渠水质特征[J]. 生态学杂志, 2013, 32(7): 1730-1738. HU Yi-gang, WU Pan, ZHAO Yang, et al. Water Quality of Cropland Drainage Ditches in the Yellow River Irrigation Regions of Ningxia and Inner Mongolia, China[J]. Chinese Journal of Ecology, 2013, 32(7): 1730-1738. ( 0) |
| [22] |
YANG J L, ZHANG G L, SHI X Z, et al. Dynamic Changes of Nitrogen and Phosphorus Losses in Ephemeral Runoff Processes by Typical Storm Events in Sichuan Basin, Southwest China[J]. Soil and Tillage Research, 2009, 105(2): 292-299. DOI:10.1016/j.still.2009.04.003 ( 0) |
| [23] |
HAN J G, LI Z B, LI P, et al. Nitrogen and Phosphorous Concentrations in Runoff From a Purple Soil in an Agricultural Watershed[J]. Agricultural Water Management, 2010, 97(5): 757-762. DOI:10.1016/j.agwat.2010.01.007 ( 0) |
| [24] |
KLEINMAN P J A, ALLEN A L, NEEDELMAN B A. Dynamics of Phosphorus Transfers From Heavily Manured Coastal Plain Soils to Drainage Ditches[J]. Journal of Soil and Water Conservation, 2007, 62(4): 225-235. ( 0) |
| [25] |
汤秋香, 任天志, 雷宝坤, 等. 洱海北部地区不同轮作农田氮、磷流失特性研究[J]. 植物营养与肥料学报, 2011, 17(3): 608-615. TANG Qiu-xiang, REN Tian-zhi, LEI Bao-kun, et al. Characteristics of Nitrogen and Phosphorus Loss in Various Crop Rotation Systems in Northern Watershed of Erhai Lake[J]. Plant Nutrition and Fertilizer Science, 2011, 17(3): 608-615. DOI:10.11674/zwyf.2011.0381 ( 0) |
| [26] |
尹延震, 储昭升, 赵明, 等. 洱海湖滨带水质的时空变化规律[J]. 中国环境科学, 2011, 17(7): 608-615. TANG Qiu-xiang, REN Tian-zhi, LEI Bao-kun, et al. Characteristics of Nitrogen and Phosphorus Loss in Various Crop Rotation Systems in Northern Watershed of Erhai Lake[J]. Plant Nutrition and Fertilizer Science, 2011, 17(3): 608-615. ( 0) |




0)