飞行器自产生以来就不断向着更高速度方向发展, 超声速燃烧冲压发动机作为高超声速飞行器推进系统的首选, 目前备受关注, 已经成为世界军事强国竞争和研究的热点[1]. Ma=4~7飞行条件下的冲压发动机已经被广泛研究[2], 在未来, 高超声速飞行器必然向着更高Mach数方向发展[3], 美国NASA的Hyper-X项目高超声速飞行器X-43A[4], 在2004年分别进行了两次Ma=7和Ma=10的成功飞行, 其设计飞行Mach数为10, 受到了世界范围内的广泛关注. Ma=8飞行条件下的总焓可达2.9 MJ/kg[5], 属于高焓流动, 氢燃料在该条件下可以实现自点燃并维持火焰稳定, 无需凹腔[6]等稳焰结构, 此时壁面横向射流成为最为简单并且非常有效的燃料喷注方式.
横向射流的复杂流场特性已被广泛研究[7]. Pratte等[8]对比了不同动量比条件下的射流穿透深度, Gruber等[9]通过测量总结拟合了一种射流穿透经验关系式, Sun等[10]利用纳米示踪的平面激光散射技术(nanoparticle-based planar laser scattering method, NPLS)研究了横向射流流场中拟序结构的演变特征并给出了新的射流穿透经验关系式. Gamba等[11]研究了Ma=8飞行条件下氢气横向射流的燃烧特性, 并给出一种火焰穿透经验关系式.
横向射流的数值仿真研究也有了长足的发展, Won等[12-13]在Ben-Yakar[5]的实验条件下, 利用分离涡模拟(DES)研究了大尺度结构的产生机制和自点火现象, Liu等[14]利用混合Reynolds平均模拟(RANS)和大涡模拟(LES)对高焓超声速湍流横流中的氢气横向射流的混合和燃烧过程进行了数值仿真, 对流场中大尺度涡结构的运动进行了测量并进一步探究了高焓横向射流的火焰稳定机理.
横向射流尾迹区作为流场的重要结构之一, 已经受到关注. Sun等[15]利用直接数值模拟(DNS)方法, 研究了尾迹区中的反转漩涡对(trailing counter-rotating vortices, TCVP)的形成与演变规律, 尾迹区中的结构尺寸被定量测量[16], 尾迹区中的复杂激波结构得到研究[16]. Gamba等[11]发现Ma=8飞行条件下的尾迹区中发生剧烈燃烧, 但是对于飞行Mach数为8的高焓横向射流尾迹区中的燃料掺混和燃烧特性的研究还不够充分, 本文将采用Reynolds平均模拟(RANS)方法对Gamba等的实验[11]进行仿真, 对冷热流场进行分析并探究Ma=8飞行条件下尾迹区中的V形回流区的结构、燃料的掺混和燃烧特性, 总结高焓横向射流尾迹区中的掺混燃烧特性, 为超声速流动的混合和燃烧提供一定的参考.
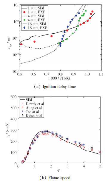
1 仿真验证 1.1 反应机理验证反应机理对于燃烧的仿真起着至关重要的作用, 本文采用氢气作为燃料, 反应机理采用经典的9组分19步氢气/空气燃烧简化反应机理[17], 并对其Arrhenius系数进行了部分修正.选取点火延迟时间和火焰传播速度两个指标来衡量简化反应机理的可靠性, 如图 1所示, 参考Kéromnès等[18]的实验条件进行点火延迟时间仿真, 参考Li等[19]的实验条件(常温常压)进行火焰传播速度仿真, 并和实验结果[20-23]进行对比.在3种不同压力下的整个温度区间上, 点火延迟时间的仿真结果和实验结果都非常吻合, 只有在1 atm(1 atm=101 325 Pa)的高温段仿真和实验略有差异; 在常温常压条件下, 整个当量比区间上, 火焰传播速度的仿真结果和实验结果都非常接近, 只是在当量比较大时稍有出入, 可以证明本文所采用的仿真机理是较为可靠的.
|
| 图 1 反应机理验证指标对比 Fig.1 Comparisons of verification indicators of reaction mechanism |
本文采用平板圆孔横向射流构型模拟超燃冲压发动机的燃烧室环境, 构型尺寸如图 2(a)所示, 射流喷孔的直径d=2 mm, 与实验[11]中采用的喷孔大小一致.射流出口与壁面前缘的距离为11d, 与壁面后缘的距离为16d, 整个计算域的壁面法向高度为17.5d, 展向宽度为22d.为了防止激波在边界上发生反射而影响计算结果, 设置外围耗散网格.在射流出口和壁面附近等梯度较大的区域对网格进行加密处理, 最终的计算域网格如图 2(b)所示, 网格总量约为2.76×106.
|
| 图 2 计算域网格示意图 Fig.2 Sketch of the computational domain and grid |
为保证网格的可靠性, 需要进行网格无关性验证.采用同样方法生成网格总量为2.2×106的粗糙网格和3.4×106的加密网格, 按照Gamba等[11]进行的实验给定仿真条件, 具体参数见表 1.对3种不同的网格进行仿真, 得到仿真结果.提取对称面内x=6d直线上的温度分布和OH质量分数分布如图 3所示, 中等网格和加密网格的温度分布曲线基本一致, 但是粗糙网格与两者存在较大差异, 3种网格的OH质量分数分布曲线基本一致.相比于加密网格, 中等网格精度基本没有损失, 而且对计算资源需求小, 因此2.76×106的中等网格适合于本文的仿真计算.
| 下载CSV 表 1 来流和射流参数表 Tab.1 Parameters of crossflow and jet |
|
| 图 3 对称面内x=6d直线上的流场参数分布 Fig.3 Distributions of flow field parameters along the line x=6d on symmetric plane |
参考Gamba等[11]的实验进行条件设置, 具体的条件如表 1所示, 大量研究表明动压比J是影响横向射流流场的重要参数[10, 24], 可以按照下式进行计算, 射流成分全部为氢气, 超声速来流与实验一致, 设置为空气, 并忽略水蒸气、二氧化碳和稀有气体等含量较少的成分, 只考虑氧气和氮气, 氧气质量分数为0.233, 氮气的质量分数为0.767.
| $ J = \frac{{{\rho _{\rm{j}}}U_{\rm{j}}^2}}{{{\rho _\infty }U_\infty ^2}} = \frac{{{p_{\rm{j}}}{\gamma _{\rm{j}}}Ma_{\rm{j}}^2}}{{{p_\infty }{\gamma _\infty }Ma_\infty ^2}} $ | (1) |
采用基于稳态三维可压缩N-S方程的Reynolds平均模拟(RANS)方法求解流场, 采用k-ω SST湍流模型、层流有限速率燃烧模型以及双精度求解器, 差分格式采用精度较高的2阶迎风格式和迎风型矢通量分裂格式(AUSM)[25], 为防止计算发散, 首先采用稳定性较好的1阶迎风格式, 求解过程逐渐增大Courant数至0.5然后计算到收敛, 再换用2阶迎风格式精确计算流场, 得到最终仿真结果.
图 4展示了实验拍摄的对称面纹影图像和仿真得到的对称面密度梯度云图, 仿真成功捕获了弓形激波、桶状激波、分离激波、反射激波、Mach盘等结构, 在仿真结果中, 弓形激波和实验结果基本重合, Mach盘略高于实验结果, 分离激波产生位置向下游略有移动, 这可能和壁面边界条件有关, 仿真中壁面是无滑移、绝热的绝对平整壁面, 而实验中的壁面不可能绝对平整, 这可能导致分离激波提前产生.
OH的浓度通常用来表示燃烧的剧烈程度, 实验方面主要采用OH平面激光诱导荧光技术(OH- PLIF)来观察OH的分布, 仿真相对于实验具有优势, 可以直接得到OH分布, 在本文中, 提取了对称面上的OH分布和实验的OH-PLIF图像进行比较, 如图 5所示, 与实验结果一致, 仿真结果中的OH主要分布在3个区域, OH分布最为密集的是射流出口上游的回流区, 长度从射流出口向上延伸到-5d的位置; 然后是射流出口下游的近壁面尾迹区, 在这一区域, 仿真和实验的OH-PLIF图像有微小差别, 实验中在紧邻射流出口下游的区域没有观察到OH, 仿真中存在一定量的OH, 同时此区域的OH浓度和OH分布层的高度也与实验有细微差别, 这可能和实验中的观察成像设备有关; OH浓度在射流迎风侧的剪切层中较低, 此处OH层的厚度和实验结果有一定差异, 这可能和RANS模型有关, 另外, 图 5(b)中还对比了实验和仿真火焰穿透边界, 图中白线为平均火焰边界, 误差棒表示均方根误差(RMS), Gamba等[11]在实验中利用多组瞬态数据平均得到火焰边界, 将其与仿真边界对比可以发现在x=10d之前的区域, 仿真与实验的火焰穿透深度基本一致, 但是在下游区域, 实验所测的火焰边界开始变小, 仿真与实验出现一定偏差.
|
| 图 5 实验[11]和仿真对称面火焰分布 Fig.5 Experiment[11] and simulation of flame distributions on symmetrical plane |
通过以上分析可以证明仿真的可靠性, 下面着重探究仿真结果中射流出口下游近壁面尾迹区中的掺混和燃烧特性.
2 尾迹区掺混燃烧特性分析 2.1 冷态流场氢气掺混特性图 6展示了壁面上的氢气分布, 在射流出口下游的尾迹区中氢气的分布区域以红线为界大致可以分为两段, 红线之前的区域氢气浓度较高, 高浓度氢气分布区域的展向宽度随x坐标的增加而线性变化; 红线之后的区域氢气浓度较低, 且展向宽度随x坐标的增加而非线性变化.在横向射流的尾迹区中一般会形成V形回流区[16], 图 6中叠加了流向速度为0的等值线, 表示了V形回流区的形状.由于仿真中参照实验设定的边界层厚度只有1 mm, 所以图 6中V形回流区的两翼在中间变细并断开, V形回流区的壁面法向高度也很小, 前半段高度为0.05d, 后半段高度为0.025d.结合图 4(b)中的反射激波与壁面交会位置可知, 受到反射激波和壁面交会影响, 在下游V形回流区重现, 但是角度发生改变, 进一步向两侧扩张, 回流区面积变大, 同时, 在V形回流区的内侧还观察到了两个小的回流区.
|
| 图 6 叠加有速度等值线的壁面氢气分布云图 Fig.6 Image of H2 mass fraction overlapped with velocity contours on the wall |
尾迹区中的氢气分布可能和尾迹区中的复杂激波结构有关, 之前的研究[16]给出了低来流总焓条件下的横向射流尾迹区的复杂激波结构, 如图 7所示, 射流膨胀产生桶状激波, 桶状激波与Mach盘相交后产生反射激波, 方向向下的反射激波会与壁面发生交会.超声速来流绕过桶状的射流后在射流背风侧相互碰撞, 产生碰撞激波.碰撞激波与边界层相互作用使得流动发生分离, 并进一步导致了V形回流区的产生.尾迹区中氢气分布区域的形状对应于其中的复杂激波结构.碰撞激波与壁面的相交线基本上为直线, 因此使得图 6中红线上游的氢气分布区域的展向宽度线性增加.对比图 4(b)可知, 图 6中红线的位置大致为反射激波与壁面交会的位置, 而反射激波与壁面的相交线不是直线, 所以图 6中红线下游的氢气分布区域的展向宽度是非线性增加的.
图 8为x=10d截面上的密度梯度云图以及放大图, 其展示了反射激波和壁面交会时的复杂相互作用, 反射激波、碰撞激波和剪切层三者相交后, 碰撞激波远离壁面, 而剪切层沿展向进一步扩展, 尾迹区中的氢气分布区域面积也开始变大, 氢气的浓度有所降低.另外, 对比图 9和图 8可以发现, 在壁面法线方向上, 尾迹区中的氢气被限制在剪切层内部, 但是在中心线位置氢气射流主流通过一个条形的氢气分布区域和尾迹区中的氢气相连.
|
| 图 8 x=10d处展向截面密度梯度云图 Fig.8 Density gradient contour on the span-wise plane of x=10d |
|
| 图 9 多截面氢气分布云图 Fig.9 Image of H2 mass fraction on the wall and span-wise planes |
图 10展示了不同截面的氢气分布云图, 从图中可以看出在尾迹区中, 受碰撞激波和反射激波影响, 氢气被限制在滑移线内部, 在反射激波与壁面交会后, 滑移线向两侧扩张, 滑移线内部的流线也向两侧扩张, 氢气分布区域的面积迅速增大, 而其中氢气的浓度开始降低.
|
| 图 10 叠加流线的氢气分布云图 Fig.10 Images of H2 mass fraction overlapped with streamline |
如图 11(a)所示, Gamba等[11]依据实验结果, 推测了主要的氢气掺混路径如下:路径S, 氢气自射流出口前侧喷出后, 穿过桶状激波系统, 流经射流的迎风侧向下游流动, 这是射流主流的流动路径, 是显而易见的; 路径W, 氢气自射流出口后方喷出后, 穿过桶状激波系统, 在射流出口下游的近壁面尾迹区流动; 路径Z, 前期和路径W一致, 在下游较远区域向外侧运动进入马蹄涡; 路径H, 氢气自射流出口喷出后流经上游回流区, 最后进入马蹄涡中; 路径U, 氢气自射流出口喷出后流经上游回流区, 在马蹄涡外围流动. 图 11(b)展示了热态流场叠加有流线的壁面氢气分布云图, 从图中可以看到与路径W对应的流线, 同时尾迹区中向两侧扩张的流线可对应于路径Z, 马蹄涡中两种不同的流线大致对应于路径U和H.
|
| 图 11 氢气主要掺混路径示意图 Fig.11 Schematic diagram of main mixing path of hydrogen |
为了探究尾迹区的氢气掺混机理, 本文描绘了流经V形回流区的多种不同三维流线形态如图 12所示, 图中等值面为流向速度为0的等值面, 等值面和流线均用氢气质量分数着色, 等值面所包围的空间为回流区, 流经V形回流区的流线有多种形态, 表明尾迹区中的氢气的输运和掺混存在多种复杂方式, 不同来流流线从远至近绕过射流出口, 卷吸夹带氢气进入V形回流区不同区域发生燃烧.
|
| 图 12 流经V形回流区的不同流线形态 Fig.12 Different streamlines flowing through the V-shaped recirculation region |
不同形态的流线(Type 1~5)的放大图如图 13所示, 其中, 等值面表示流向速度为0, 等值面和流线用氢气质量分数着色. (a)中的流线从较远处绕过射流出口, 夹带氢气进入尾迹区, 在V形回流区前侧抬升绕过V形回流区, 然后在下游V形回流区重现区域进入回流区, 这种流线又有两种不同形态, 两种不同形态的流线分别从V形回流区重现区域的迎风侧和背风侧进入回流区; (b)中的流线绕过射流出口夹带氢气进入尾迹区, 然后在(a)中流线之前抬升绕过回流区进入再附区[26], 而后进入V形回流区的两翼进行微小回流后, 相互缠绕并在V形回流区内侧流动; (c)中流线绕过射流出口夹带氢气后在V形回流区前侧抬升, 在V形回流区头部位置进入回流区发生回流, 然后在再附区中靠近壁面流动; (d)中流线绕过射流出口后在V形回流区头部进入回流区, 发生较大回流后抬升进入射流的主流区域; (e)中流线形态与(d)大致相同, 不同之处在于其未发生回流, 在V形回流区顶点附近直接抬升进入射流的主流区域.
|
| 图 13 流经V形回流区的不同形态的流线放大图 Fig.13 Magnified images of different streamlines flowing through the V-shaped recirculation region |
OH作为重要的中间产物, 通常用来指示燃烧过程中的火焰分布情况[27], 同样, 本文也用OH的分布来指代火焰的分布情况.如图 14所示, 并结合图 5(b), 射流出口下游近壁面尾迹区中的火焰在壁面上比较猛烈, 但是随高度增加迅速减弱.在流向上, 近壁面尾迹区的火焰在经过反射激波和壁面交会位置后开始变强.对比图 9和图 10(a)可以发现, 在反射激波与壁面交会位置的上游, 尾迹区中的氢气浓度较高, 高浓度的氢气对燃烧反应产生了一定的阻碍作用.图中绿线为化学恰当当量比线, 火焰主要分布于线的外侧, 说明OH主要在贫燃侧产生, 这与大多数仿真结果一致[28-30].另外, 对应于2.1小节的冷态流场, 热态流场中, 射流出口下游中心线上也有一条带状火焰和射流主流相连接.
|
| 图 14 多截面OH分布云图 Fig.14 Image of OH mass fraction on normal and spanwise planes |
射流出口下游的近壁面尾迹区的火焰结构比较特殊, 在近场区域, 火焰被限制在V形回流区中, 呈三角形, 在经过反射激波和壁面交会位置之后向外扩张并变得更为明亮.如图 15所示, 在OH分布云图上叠加了OH质量分数为0.005的等值线之后, 提取出3个与火焰结构相关的参数:
|
| 图 15 火焰结构参数示意图 Fig.15 Images of flame structure parameters |
(1) 三角形火焰端点x1, OH质量分数为0.005的等值线在下游近壁面火焰结构一侧的上游端点, 如图 15(b)所示, 由于壁面上OH浓度大, 不存在这样的点, 故用紧邻V形回流区外侧OH质量分数为0.005的等值线的延长线交点代替, 如图 15(a)所示.
(2) 三角形火焰角度α, 该角度取为两条紧邻V形回流区外侧的OH质量分数为0.005的等值线的延长线所成角度, 如图 15(a)和(b)所示.
(3) 尾迹区火焰最大宽度z1, 该宽度为射流出口下游OH质量分数为0.005的等值线的最大展向宽度, 如图 15(a)和(b)所示.
由于在y=0.75d截面以上位置, 上述火焰结构已经不明显, 因此提取在距离壁面0,0.1d,0.3d,0.5d,0.7d, 0.75d高度截面上的3个火焰结构参数, 观察其随距离壁面高度的变化如图 16所示.三角形火焰结构端点位置x1基本上随高度线性增加, 说明尾迹区火焰的结构在高度增加的过程中, 逐渐向下游移动.三角形火焰结构的角度α随着高度增加首先略有减小, 在y=0.5d位置之后迅速增加, 角度的增加可能是因为尾迹区火焰与氢气主流周围的火焰相接触使得尾迹区火焰结构发生变化; 火焰的最大展向宽度z1和α有相似之处, 随高度增加z1首先减小, 之后在y=0.5d位置开始增加.
|
| 图 16 3个火焰结构参数随高度变化 Fig.16 Variations of three flame structural parameters with height |
本小节对冷热流场进行对比分析, 定性对比如图 17, 18所示, 可以看到燃烧消耗一定量的氢气, 使得射流尾迹区中的氢气含量明显降低, 燃烧放热使得尾迹区中的温度发生明显升高.
|
| 图 17 对称面氢气分布云图 Fig.17 Images of H2 mass fraction on symmetrical plane |
|
| 图 18 对称面温度分布云图 Fig.18 Images of temperature on symmetrical plane |
图 19定量提取了对称面内y=0.3d直线上氢气质量分数、静温和Mach数变化, 对应于上面的定性分析, 可以发现, 在射流出口下游近壁面的尾迹区中, 相较于冷态流场, 热态流场氢气含量出现明显降低, 温度出现明显升高, 但是由于燃烧放热, 温度升高使得当地的声速增加, 并且声速的增加高于流动速度的增加, 因此热态流场尾迹区中的Mach数比冷态流场低.
|
| 图 19 对称面内y=0.3d直线上流场参数变化 Fig.19 Flow field parameters along the line of y=0.3d on symmetrical plane |
定量提取对称面内x=10d直线上的氢气质量分数、静温、流向速度、Mach数变化如图 20所示, 同样可以观察到尾迹区中氢气含量的降低和温度的升高.同时, 尾迹区中的流向速度略有增加, 但是Mach数出现明显降低, 说明燃烧产生的能量可能仍然以内能的形式存在, 没有充分转化为气体的动能.另外, 还可以观察到热态流场射流迎风侧剪切层中氢气含量明显降低, 温度和流向速度升高, 但是Mach数降低.
|
| 图 20 对称面内x=10d直线上流场参数变化 Fig.20 Flow field parameters along the line of x=10d on symmetrical plane |
定量提取y=0.3d截面内x=5d和x=10d直线上氢气质量分数、温度和压力变化如图 21所示, 流场参数变化曲线表明在射流尾迹区中, 热态流场的氢气含量降低, 而温度和压力都有所上升.另外还观察到热态流场马蹄涡[31]中的氢气基本已反应完全, 这使得热态流场马蹄涡中的温度有所升高, 但是马蹄涡中的压力变化不明显, 部分区域中压力甚至出现降低的现象.
|
| 图 21 y=0.3d截面内x=5d和x=10d直线上流场参数变化 Fig.21 Flow field parameters along the line of x=5d and x=10d on cross-span plane of y=0.3d |
本文采用Reynolds平均模拟方法对Gamba等模拟Ma=8飞行条件下的横向射流实验进行了数值仿真, 对仿真的可靠性进行了验证, 重点分析了射流尾迹区中燃料的燃烧和掺混特性, 主要得到以下结论:
(1) 受碰撞激波和反射激波影响, 冷态流场尾迹区中的氢气被限制在V形回流区两侧的滑移线内部, 在壁面法线方向上, 尾迹区中的氢气被限制在剪切层内部, 尾迹区中的氢气浓度在反射激波与壁面交会后开始下降.
(2) 热态流场中的二维流线形态基本对应实验预测的氢气掺混路径, 流经V形回流区的三维流线展示了5种尾迹区中氢气的掺混路径.
(3) V形回流区中的高浓度氢气对燃烧反应产生了一定的阻碍作用, 尾迹区中的火焰在壁面上较为猛烈但是随壁面法向高度增加迅速减弱, 尾迹区中火焰结构的端点随高度增加逐渐向下游移动, 受到射流主流影响, 尾迹区中的火焰展向宽度和火焰结构的角度在距离壁面0.5d位置处开始增大.
(4) 冷热流场对比表明尾迹区中的氢气被大量消耗, 温度出现明显升高, 但是燃烧产生的能量大多以内能形式存在, 没有转化为流体的动能, 因此, 热态尾迹区中流动速度没有明显增加, 但是Mach数出现明显降低.
| [1] |
王振国.超声速气流中的火焰稳定与传播[M].北京: 科学出版社, 2015. Wang Z G. Flame stabilization and propagation in supersonic flow[M]. Science Press, 2015(in Chinese). |
| [2] |
Cai Z, Liu X, Gong C, et al. Large eddy simulation of the fuel transport and mixing process in a scramjet combustor with rearwall-expansion cavity[J]. Acta Astronautica, 2016, 126: 375-381. DOI:10.1016/j.actaastro.2016.05.010 |
| [3] |
Curran E T. Scramjet engines:the first forty years[J]. Journal of Propulsion and Power, 2001, 17(6): 1138-1148. DOI:10.2514/2.5875 |
| [4] |
刘桐林. 美国超-X计划与X-43试飞器[J]. 飞航导弹, 2002(5): 8-14. Liu T L. American hyper-X plan and X-43 vehicle[J]. Aerodynamic Missile Journal, 2002(5): 8-14. (in Chinese) |
| [5] |
Ben-Yakar A. Experimental investigation of mixing and ignition of transverse jets in supersonic crossflows[D]. Palo Alto: Stanford University, 2000.
|
| [6] |
Sun M B, Geng H, Liang J H, et al. Mixing characteristics in a supersonic combustor with gaseous fuel injection upstream of a cavity flameholder[J]. Flow, Turbulence and Combustion, 2009, 82(2): 271-286. DOI:10.1007/s10494-008-9178-7 |
| [7] |
Mahesh K. The interaction of jets with crossflow[J]. Annual Review of Fluid Mechanics, 2013, 45: 379-407. DOI:10.1146/annurev-fluid-120710-101115 |
| [8] |
Pratte B D, Baines W D. Profiles of the round turbulent jet in a cross flow[J]. Journal of the Hydraulics Division, 1967, 93(6): 53-64. |
| [9] |
Gruber M R, Nejad A S, Chen T H, et al. Compressibility effects in supersonic transverse injection flowfields[J]. Physics of Fluids, 1997, 9(5): 1448-1461. DOI:10.1063/1.869257 |
| [10] |
Sun M B, Zhang S P, Zhao Y H, et al. Experimental investigation on transverse jet penetration into a supersonic turbulent crossflow[J]. Science China Technological Sciences, 2013, 56(8): 1989-1998. DOI:10.1007/s11431-013-5265-7 |
| [11] |
Gamba M, Mungal M G. Ignition, flame structure and near-wall burning in transverse hydrogen jets in supersonic crossflow[J]. Journal of Fluid Mechanics, 2015, 780: 226-273. DOI:10.1017/jfm.2015.454 |
| [12] |
Won S H, Jeung I S, Choi J Y. DES investigation of the ignition of hydrogen transverse jet into high enthalpy supersonic crossflow[R]. AIAA 2009-1557, 2009.
|
| [13] |
Won S H, Jeung I S, Parent B, et al. Numerical investigation of transverse hydrogen jet into supersonic crossflow using detached-eddy simulation[J]. AIAA Journal, 2010, 48(6): 1047-1058. DOI:10.2514/1.41165 |
| [14] |
Liu C Y, Wang Z G, Wang H B, et al. Numerical investigation on mixing and combustion of transverse hydrogen jet in a high-enthalpy supersonic crossflow[J]. Acta Astronautica, 2015, 116: 93-105. DOI:10.1016/j.actaastro.2015.06.023 |
| [15] |
Sun M B, Hu Z W. Formation of surface trailing counter-rotating vortex pairs downstream of a sonic jet in a supersonic cross-flow[J]. Journal of Fluid Mechanics, 2018, 850: 551-583. DOI:10.1017/jfm.2018.455 |
| [16] |
Liang C H, Sun M B, Liu Y, et al. Shock wave structures in the wake of sonic transverse jet into a supersonic crossflow[J]. Acta Astronautica, 2018, 148: 12-21. DOI:10.1016/j.actaastro.2018.04.009 |
| [17] |
Jachimowski C J. An analysis of combustion studies in shock expansion tunnels and reflected shock tunnels[R]. NASA-TP-3224, 1992.
|
| [18] |
Kéromnès A, Metcalfe W K, Heufer K A, et al. An experimental and detailed chemical kinetic modeling study of hydrogen and syngas mixture oxidation at elevated pressures[J]. Combustion and Flame, 2013, 160(6): 995-1011. DOI:10.1016/j.combustflame.2013.01.001 |
| [19] |
Li J, Zhao Z W, Kazakov A, et al. An updated comprehensive kinetic model of hydrogen combustion[J]. International Journal of Chemical Kinetics, 2004, 36(10): 566-575. DOI:10.1002/kin.20026 |
| [20] |
Dowdy D R, Smith D B, Taylor S C, et al. The use of expanding spherical flames to determine burning velocities and stretch effects in hydrogen/air mixtures[J]. Symposium (International) on Combustion, 1991, 23(1): 325-332. DOI:10.1016/S0082-0784(06)80275-4 |
| [21] |
Aung K T, Hassan M I, Faeth G M. Flame stretch interactions of laminar premixed hydrogen/air flames at normal temperature and pressure[J]. Combustion and Flame, 1997, 109(1/2): 1-24. |
| [22] |
Tse S D, Zhu D L, Law C K. Morphology and burning rates of expanding spherical flames in H2/O2/inert mixtures up to 60 atmospheres[J]. Proceedings of the Combustion Institute, 2000, 28(2): 1793-1800. DOI:10.1016/S0082-0784(00)80581-0 |
| [23] |
Kwon O C, Faeth G M. Flame/stretch interactions of premixed hydrogen-fueled flames:measurements and predic-tions[J]. Combustion and Flame, 2001, 124(4): 590-610. DOI:10.1016/S0010-2180(00)00229-7 |
| [24] |
Funk J A, Orth R C. An experimental and comparative study of jet penetration in supersonic flow[J]. Journal of Spacecraft and Rockets, 1967, 4(9): 1236-1242. DOI:10.2514/3.29058 |
| [25] |
Liou M S, Steffen C J. A new flux splitting scheme[M]. San Diego: Academic Press Professional, Inc., 1993.
|
| [26] |
Liu Y, Sun M B, Liang C H, et al. Structures of near-wall wakes subjected to a sonic jet in a supersonic cross-flow[J]. Acta Astronautica, 2018, 151: 886-892. DOI:10.1016/j.actaastro.2018.07.048 |
| [27] |
Donbar J M, Driscoll J F, Carter C D. Reaction zone structure in turbulent nonpremixed jet flames-from CH-OH PLIF images[J]. Combustion and Flame, 2000, 122(1/2): 1-19. |
| [28] |
Candler G V, Cymbalist N, Dimotakis P E. Wall-modeled large-eddy simulation of autoignition-dominated supersonic combustion[J]. AIAA Journal, 2017, 55(7): 2410-2423. DOI:10.2514/1.J055550 |
| [29] |
Kim S, Donde P, Raman V, et al. Large eddy simulation based studies of reacting and non-reacting transverse jets in supersonic crossflow[R]. AIAA 2012-0482, 2012.
|
| [30] |
Micka D J, Driscoll J F. Combustion characteristics of a dual-mode scramjet combustor with cavity flameholder[J]. Proceedings of the Combustion Institute, 2009, 32(2): 2397-2404. DOI:10.1016/j.proci.2008.06.192 |
| [31] |
孙得川, 胡春波, 蔡体敏. 带有横向射流的三维超声速湍流流场分析[J]. 应用数学和力学, 2002, 23(1): 99-105. Sun D C, Hu C P, Cai T M. Computation of supersonic turbulent flowfield with transverse injection[J]. Applied Mathematics and Mechanics, 2002, 23(1): 99-105. (in Chinese) |


