条带和流向涡是壁湍流近壁区的典型相干结构. 在与壁面平行的平面内, 低速流体呈现沿流向拉长并在展向准周期变化的条带形状, 其流向尺度约为1000个黏性尺度, 展向平均间距约为80~120个黏性尺度. 条件统计表明, 低速条带位于一对正负流向涡之间, 流向涡则位于低速流体和高速流体之间, 流向涡的流向平均长度约为200个黏性尺度, 平均直径约为20~30个黏性尺度, 并以(0.6~0.8)U(U为槽道截面平均速度)的速度向下游传播. 在流向涡上洗侧, 低速流体被带离壁面, 称为上抛, 在流向涡下洗侧, 高速流体被带向壁面, 称为下扫, 上抛和下扫合称为猝发, 猝发过程是近壁区Reynolds切应力的来源, 在湍流的产生和维持中起重要作用.
Hamilton等[1]和Jiménez等[2]分别对平面Couette湍流和平面Poiseuille湍流进行直接数值模拟, 发现了近壁区条带和流向涡的循环再生过程, 该过程被称为自维持过程(self-sustaining process, SSP). 在此过程中, 流向涡向下游运动, 不断将近壁区流体带离壁面, 形成远大于自身长度的低速条带, 从而使流向速度剖面在法向和展向出现拐点, 变得不稳定, 条带失稳进一步产生流向涡[3].
湍流具有时空多尺度性以及高维性特点, 其中所包含的大尺度有序运动(相干结构)在剪切湍流的发生和发展中起重要作用, 人们通常利用模态分解的方法来提取湍流场中的相干结构, 利用提取的特征模态可以对流场进行低阶近似. POD方法是较为常用的模态分解法, 该方法最早由Lumley等[4]提出, 并将其用于获得一组信号的最优基函数. 目前POD方法已被广泛用于湍流场数据的处理和分析, 例如Bernard对流问题[5]圆管流动[6]方腔流动[7]等. Aubry等[8]将POD方法和Navier-Stokes方程相结合, 得到了描述湍流边界层运动的降阶模型方程, 并且使用动力系统理论解释了湍流边界层中的间歇性现象. Podvin[9, 10]分别对最小槽道和全尺寸槽道湍流的流向平均场进行了POD分析, 获得了POD特征模态, 并构造出4维和10维的动力系统方程. 利用POD方法构造的湍流降阶模型可用于湍流模拟和湍流控制等问题.
湍流的大涡模拟近年来发展迅速, 通过数值求解大尺度运动而对小尺度运动进行模化, 使得该方法比直接数值模拟计算量小而比Reynolds平均数值模拟普适性好. 但对于壁湍流, 其近壁区的模拟成为大涡模拟进一步工程应用的瓶颈问题. 在壁湍流大涡模拟中, 如果要完全分辨近壁区流动, 所需的网格量与直接数值模拟不相上下, 例如对于Re=106的湍流边界层, 90%的网格需要布置在占边界层厚度10%的近壁区[11]. 因此人们尝试发展了多种模型来模化近壁区流动, 如应力模型两层模型以及RANS-LES混合模拟等. 由于POD模态可以反映近壁区湍流的动力学过程, 人们也尝试用其构造近壁模型. Podvin等[12]提出利用POD模型构造合成边界作为离面边界条件来代替壁面无滑移条件, 并用DNS进行了检验. 在构造合成边界时最重要的是确定每个POD模态的时间系数, 为此Podvin等[12]提出两种方法, 一种是在近壁处求解降阶模型方程, 获得时间系数, 但此方法仅使用流向和展向每个波数上一个法向模态, 故获得的湍流统计量误差较大, 会影响合成边界以上的计算结果, 并且Podvin等[12]在流向和展向各使用了10个波数, 近壁降阶模型方程的维数达到220, 计算量较大; 另一种是利用合成边界以上流场的反馈信息确定模态系数, 但仍然使用较多的模态数, 随着槽道尺寸增加, 所需的模态数也会增大, 不便于计算.
本文通过对最小槽道的直接数值模拟, 获得了近壁区湍流自维持过程的流场数据, 利用POD方法获得了近壁自维持过程的降阶模型, 考察了模型方程的动力学特性, 并利用POD模态构造了槽道湍流直接数值模拟的离面边界条件. 与文献[12]不同的是, 本文得到的是对数区最小槽道的离面边界条件, 并在流向和展向做拼接扩展得到全尺寸槽道的离面边界条件进行计算.
1 POD方法简介本文的工作是基于槽道湍流的POD分析. 首先对两平行平板间由压力梯度驱动的槽道湍流进行了直接数值模拟, 上下平板分别位于y=0和y=2h处, 流向法向和展向坐标分别为x, y, z(或x1, x2, x3), 相应的速度分量为u, v, w(或u1, u2, u3).
流动的控制方程采用旋度形式的Navier-Stokes方程及不可压缩流体的连续性方程
| $ \begin{matrix} \frac{\partial \mathit{\boldsymbol{u}}}{\partial t}=\mathit{\boldsymbol{u}}\times \mathit{\boldsymbol{ }}\!\!\boldsymbol{\omega}\!\!\rm{ }-\nabla \varPi +\frac{1}{\mathit{R}e}{{\nabla }^{2}}\mathit{\boldsymbol{u, }} \\ \nabla \cdot \mathit{\boldsymbol{u}}=0. \\ \end{matrix} $ |
其中u为速度向量,
根据Navier-Stokes方程的对称变换不变性, 槽道湍流在展向关于z=0以及在法向关于槽道中心平面y=h具有对称性, 即
| $ \begin{align} & {{P}_{z}}\centerdot \left[(u, v, w, p)(x, y, z, t) \right]= \\ & \left[(u, v, -w, p)(x, y, -z, t) \right], \\ & {{P}_{y}}\centerdot \left[(u, v, w, p)(x, y, z, t) \right]= \\ & \left[(u, -v, w, p)(x, 2h-y, z, t) \right], \\ & {{P}_{yz}}\centerdot \left[(u, v, w, p)(x, y, z, t) \right]= \\ & \left[(u, -v, -w, p)(x, 2h-y, -z, t) \right]. \\ \end{align} $ | (1) |
其中, Pz, Py分
别代表速度场和压力场关于z轴和关于y=h的对称变换算子,
POD模态为2点速度相关矩阵的特征向量. 将速度场分解为平均流和脉动两部分, 由于槽道流动在流向和展向统计均匀, 可在流向和展向做Fourier变换.
| $ \begin{array}{*{35}{l}} \mathit{\boldsymbol{u}}(x,y,z,t)=\mathit{\boldsymbol{U}}(y,t)+\mathit{\boldsymbol{{u}'}}(x,y,z,t)= \\ \sum\limits_{{{k}_{x}}=-\infty }^{\infty }{\sum\limits_{{{k}_{z}}=-\infty }^{\infty }{{{{\mathit{\boldsymbol{\hat{u}}}}}_{{{k}_{x}}{{k}_{z}}}}}}(y,t){{e}^{\rm{i}(\alpha \mathit{{k}_{x}}\mathit{x}\rm{+}\beta \mathit{{k}_{z}}\mathit{z})}}. \\ \end{array} $ |
其中,
| $ \begin{align} & U(y, t)=\frac{1}{{{L}_{x}}{{L}_{z}}}\int_{0}^{{{L}_{x}}}{\int_{0}^{{{L}_{z}}}{u(x, y, z, t)}}\text{d}x\text{d}z, \\ & V(y, t)=0, W(y, t)=0. \\ \end{align} $ |
在每个流向和展向波数上定义并求解特征值问题:
| $ \int_{{{\Omega }_{y}}}{{{{\hat{R}}}_{ij, {{k}_{x}}{{k}_{z}}}}}(y, y'){{\phi }_{j, {{k}_{x}}{{k}_{z}}}}(y')\mathrm{d}y'={{\lambda }_{{{k}_{x}}{{k}_{z}}}}{{\phi }_{i, {{k}_{x}}{{k}_{z}}}}(y). $ | (2) |
其中,
求解以上特征值问题可得到每个波数上的POD模态, 利用POD模态可将脉动速度展开为
| $ \begin{array}{l} \mathit{\boldsymbol{u'}}(x,y,z,t) = \\ \sum\limits_{{k_x} = - \infty }^\infty {\sum\limits_{{k_z} = - \infty }^\infty {\sum\limits_{n = 1}^\infty {a_{{k_x}{k_z}}^n(t)} } } \mathit{\boldsymbol{ \boldsymbol{\varPhi} }}{\rm{ }}_{{k_x}{k_z}}^n(y){e^{{\rm{i}}(\alpha {k_x}x + \beta {k_z}z)}}. \end{array} $ |
其中,
| $ \int_{{{\Omega }_{y}}}{(\phi _{1, {{k}_{x}}{{k}_{z}}}^{*n}\phi _{1, {{k}_{x}}{{k}_{z}}}^{m}+\phi _{2, {{k}_{x}}{{k}_{z}}}^{*n}\phi _{2, {{k}_{x}}{{k}_{z}}}^{m}+\phi _{3, {{k}_{x}}{{k}_{z}}}^{*n}\phi _{3, {{k}_{x}}{{k}_{z}}}^{m})}\text{d}y={{\delta }_{mn}}. $ |
Ωy代表POD模态在壁面法向的求解范围. 由于物理流场的速度为实数, 故
| $ {{\hat{u}}_{i, -{{k}_{x}}-{{k}_{z}}}}=\hat{u}_{i, {{k}_{x}}, {{k}_{z}}}^{*}, \phi _{i, -{{k}_{x}}-{{k}_{z}}}^{n}=\phi _{i, {{k}_{x}}{{k}_{z}}}^{*n}. $ |
对于2点速度相关张量
在法向采用数值积分法, 故式(2)可写为
| $ \frac{1}{{NT}}{\mathit{\boldsymbol{F}}_{{k_x}{k_z}}}\mathit{\boldsymbol{F}}_{{k_x}{k_z}}^*\mathit{\boldsymbol{D}}\mathit{\boldsymbol{ \boldsymbol{\varPhi} }}{_{{k_x}{k_z}}} = \mathit{\boldsymbol{ \boldsymbol{\varLambda} }}{_{{k_x}{k_z}}}\mathit{\boldsymbol{ \boldsymbol{\varPhi} }}{_{{k_x}{k_z}}}. $ | (3) |
其中, NT代表DNS得到的瞬时流场个数, Fkxkz存储每个瞬时流场的每个法向位置在(kx, kz)波数上脉动速度的值, D代表法向积分矩阵, 则有
| $ {{\mathit{\boldsymbol{F}}}_{{{k}_{x}}{{k}_{z}}}}=\left[\begin{matrix} \begin{matrix} {{{\hat{u}}}_{1, {{k}_{x}}, {{k}_{z}}(1)}}({{y}_{1}}) & \cdot \cdot \cdot & {{{\hat{u}}}_{1, {{k}_{x}}, {{k}_{z}}(NT)}}({{y}_{1}}) \\ \end{matrix} \\ \begin{matrix} \cdot \cdot \cdot & \cdot \cdot \cdot & \cdot \cdot \cdot \\ \end{matrix} \\ \begin{matrix} {{{\hat{u}}}_{1, {{k}_{x}}, {{k}_{z}}(1)}}({{y}_{N}}) & \cdot \cdot \cdot & {{{\hat{u}}}_{1, {{k}_{x}}, {{k}_{z}}(NT)}}({{y}_{N}}) \\ \end{matrix} \\ \begin{matrix} {{{\hat{u}}}_{2, {{k}_{x}}, {{k}_{z}}(1)}}({{y}_{1}}) & \cdot \cdot \cdot & {{{\hat{u}}}_{2, {{k}_{x}}, {{k}_{z}}(NT)}}({{y}_{1}}) \\ \end{matrix} \\ \begin{matrix} \cdot \cdot \cdot & \cdot \cdot \cdot & \cdot \cdot \cdot \\ \end{matrix} \\ \begin{matrix} {{{\hat{u}}}_{2, {{k}_{x}}, {{k}_{z}}(1)}}({{y}_{N}}) & \cdot \cdot \cdot & {{{\hat{u}}}_{2, {{k}_{x}}, {{k}_{z}}(NT)}}({{y}_{N}}) \\ \end{matrix} \\ \begin{matrix} {{{\hat{u}}}_{3, {{k}_{x}}, {{k}_{z}}(1)}}({{y}_{1}}) & \cdot \cdot \cdot & {{{\hat{u}}}_{3, {{k}_{x}}, {{k}_{z}}(NT)}}({{y}_{1}}) \\ \end{matrix} \\ \begin{matrix} \cdot \cdot \cdot & \cdot \cdot \cdot & \cdot \cdot \cdot \\ \end{matrix} \\ \begin{matrix} {{{\hat{u}}}_{3, {{k}_{x}}, {{k}_{z}}(1)}}({{y}_{N}}) & \cdot \cdot \cdot & {{{\hat{u}}}_{3, {{k}_{x}}, {{k}_{z}}(NT)}}({{y}_{N}}) \\ \end{matrix} \\ \end{matrix} \right] $ |
使用matlab计算特征值和特征向量, 并且为了使得到的结果具有正交性, 将式(3)写为
| $ \frac{1}{NT}\left( \sqrt{\mathit{\boldsymbol{D}}}{{\mathit{\boldsymbol{F}}}_{{{k}_{x}}{{k}_{z}}}}\mathit{\boldsymbol{F}}_{{{k}_{x}}{{k}_{z}}}^{*}\sqrt{\mathit{\boldsymbol{D}}} \right)\sqrt{\mathit{\boldsymbol{D}}}{{\mathit{\boldsymbol{ }}\!\!\mathit{\pmb{\Phi}}\!\!\rm{ }}_{{{k}_{x}}{{k}_{z}}}}={{\mathit{\boldsymbol{ }}\!\!\Lambda\!\!\rm{ }}_{{{k}_{x}}{{k}_{z}}}}\sqrt{\mathit{\boldsymbol{D}}}{{\mathit{\boldsymbol{ }}\!\!\mathit{\pmb{\Phi}}\!\!\rm{ }}_{{{k}_{x}}{{k}_{z}}}}. $ | (4) |
则Hermite矩阵
| $ {{\left( \sqrt{\mathit{\boldsymbol{D}}}{{\phi }_{{{k}_{x}}{{k}_{z}}}} \right)}^{*}}\left( \sqrt{\mathit{\boldsymbol{D}}}{{\phi }_{{{k}_{x}}{{k}_{z}}}} \right)=\phi _{{{k}_{x}}{{k}_{z}}}^{*}\mathit{\boldsymbol{D}}{{\phi }_{{{k}_{x}}{{k}_{z}}}}=\mathit{\boldsymbol{I}}. $ |
对Navier-Stokes方程和连续方程
| $ \frac{\partial U}{\partial t}+\frac{\partial \left\langle {u}'{v}' \right\rangle }{\partial y}=-\frac{\partial P}{\partial x}+\frac{1}{Re}\frac{{{\partial }^{2}}U}{\partial {{y}^{2}}}. $ | (5) |
平均速度U相对于脉动速度
| $ \begin{matrix} \frac{\partial {{{{u}'}}_{i}}}{\partial t}+U\frac{\partial {{{{u}'}}_{i}}}{\partial {{x}_{1}}}+{{{{u}'}}_{2}}\frac{\partial U}{\partial {{x}_{2}}}{{\delta }_{i1}}+\left( {{{{u}'}}_{j}}\frac{\partial {{{{u}'}}_{i}}}{\partial {{x}_{j}}}-\left\langle {{{{u}'}}_{j}}\frac{\partial {{{{u}'}}_{i}}}{\partial {{x}_{j}}} \right\rangle \right)= \\ -\frac{\partial {p}'}{\partial {{x}_{i}}}+\frac{1}{Re}\frac{{{\partial }^{2}}{{{{u}'}}_{i}}}{\partial {{x}_{j}}\partial {{x}_{j}}}, \\ \frac{\partial {{{{u}'}}_{i}}}{\partial {{x}_{i}}}=0. \\ \end{matrix} $ |
在式(5)中忽略平均速度的时间导数项, 并进行分步积分, 可将平均速度表示为
| $ U\left( y, t \right)=u_{\tau }^{2}Re\left( y-\frac{{{y}^{2}}}{2h} \right)+Re\int_{0}^{y}{\left\langle uv \right\rangle \left( {y}', t \right)\rm{d}\mathit{y}'}. $ | (6) |
其中,
为获得脉动运动的降阶模型方程, 需要对波数和POD模态的阶数进行截断, 设截断集合为
| $ \begin{align} & {{G}_{ij}}\left( \Delta x, y, {y}', \Delta z \right)=\frac{1}{{{L}_{x}}{{L}_{z}}}\times \\ & \sum\limits_{n=1}^{N}{\sum\limits_{-{{K}_{x}}}^{{{K}_{x}}}{\sum\limits_{-{{K}_{z}}}^{{{K}_{z}}}{\phi _{i, {{k}_{x}}{{k}_{z}}}^{n}}}}\left( y \right)\phi _{j, {{k}_{x}}{{k}_{z}}}^{*}\left( {{y}'} \right)\exp \left( \text{i}\Delta x\alpha {{k}_{x}}+\text{i}\Delta z\beta {{k}_{z}} \right). \\ \end{align} $ |
则有
| $ u_{i}^{<}\left( \mathit{\boldsymbol{x}} \right)=\int\limits_{\Omega }{{{G}_{ij}}}\left( x-{x}', y, {y}', z-{z}' \right){{{u}'}_{j}}\left( {\mathit{\boldsymbol{{x}'}}} \right)\rm{d}\mathit{\boldsymbol{{x}'}}. $ |
进一步将脉动速度分解为
| $ {{{u}'}_{i}}=u_{i}^{<}+u_{i}^{>}. $ |
其中,
| $ \begin{align} & \frac{\partial u_{i}^{<}}{\partial t}+U\frac{\partial u_{i}^{<}}{\partial {{x}_{1}}}+u_{2}^{<}\frac{\partial U}{\partial {{x}_{2}}}{{\delta }_{i1}}+\frac{\partial }{\partial {{x}_{j}}}{{\left( u_{i}^{<}u_{j}^{<} \right)}^{<}}= \\ & -\frac{\partial {{p}^{<}}}{\partial {{x}_{i}}}+\frac{1}{Re}\frac{{{\partial }^{2}}u_{i}^{<}}{\partial {{x}_{j}}\partial {{x}_{j}}}-\frac{\partial \tau _{ij}^{<}}{\partial {{x}_{j}}}. \\ \end{align} $ | (7) |
其中,
将可解尺度运动用截断集合内的POD模态展开
| $ \begin{align} & {\boldsymbol{u}^{<}}\left( x, y, z, t \right)= \\ & \sum\limits_{{{k}_{x}}=-{{K}_{x}}}^{{{K}_{x}}}{\sum\limits_{{{k}_{z}}=-{{K}_{z}}}^{{{K}_{2}}}{\sum\limits_{n=1}^{N}{a_{{{k}_{x}}{{k}_{z}}}^{n}}}}\left( t \right)\mathit{\boldsymbol{ \boldsymbol{\varPhi} }}{\rm{ }}_{{k_x}{k_z}}^n\left( y \right){e^{{\rm{i}}\left( {\alpha {k_x}x + \beta {k_z}z} \right)}}. \\ \end{align} $ | (8) |
将式(6)和式(8)代入式(7), 利用正交性可得到模态时间系数
| $ \begin{array}{*{20}{l}} {\;\;\;\;\;\;\frac{{{\text{d}}a{{_{{k_x}}^n}_{{k_z}}}}}{{{\text{d}}t}} = \sum\limits_{m = 1}^N {l_{{k_x}{k_z}}^{mn}} a_{{k_x}{k_z}}^m + } \\ {\sum\limits_{m = 1}^N {\sum _{\begin{array}{*{20}{c}} {{{k'}_x} = - {K_x}} \\ {{{k'}_z} = - {K_z}} \end{array}}^{{K_x},{K_z}}\sum\limits_{p,q = 1}^N {c_{{k_x}{k_z}{{k'}_x}{{k'}_z}}^{mnpq}} } a_{{{k'}_x}{{k'}_z}}^pa_{{{k'}_x}{{k'}_z}}^{q*}a_{{k_x}{k_z}}^m + } \\ {\sum _{\begin{array}{*{20}{c}} {{{k'}_x} = - {K_x}} \\ {{{k'}_z} = - {K_z}} \end{array}}^{{K_x},{K_z}}\sum\limits_{p,q = 1}^N {q_{{k_x}{k_z},{k_x} - {{k'}_x},{k_z} - {{k'}_z}}^{pqn}} a_{{{k'}_x}{{k'}_z}}^pa_{{k_x} - {{k'}_x},{k_z} - {{k'}_z}}^q + } \\ {\sum\limits_{m = 1}^N {\left( {1 + \frac{{\alpha {v_{\text{T}}}}}{v}} \right)} l_{v,{k_x},{k_z}}^{mn}a_{{k_x},{k_z}}^m.} \end{array} $ | (9) |
其中, 方程右端第1, 2项代表与平均流有关的作用项, 第3项为非线性项, 第4项为黏性和亚格子应力项, 为使表达式简洁, 令
| $ \begin{array}{*{20}{l}} {l_k^{mn} = - \int_{\mathit{\Omega }{_y}} {\phi _{1,k}^{*n}} u_\tau ^2Re\left( {1 - \frac{y}{h}} \right)\phi _{2,k}^m{\rm{d}}\mathit{y}{\rm{ - }}}\\ {\;\;\;{\rm{i}}{\mathit{k}_\mathit{x}}\alpha \int_{\mathit{\Omega }{_\mathit{y}}} {\phi _{{\rm{i}},\mathit{k}}^{{\rm{*}}\mathit{n}}\mathit{u}_\tau ^{\rm{2}}} \mathit{Re}\left( {\mathit{y}{\rm{ - }}\frac{{{\mathit{y}^{\rm{2}}}}}{{{\rm{2}}\mathit{h}}}} \right)\phi _{{\rm{i}},\mathit{k}}^\mathit{m}{\rm{d}}\mathit{y},}\\ {\;\;\;c_{k,k'}^{mnpq} = - Re\int_{\mathit{\Omega }{_\mathit{y}}} {\phi _{1,k}^{*n}\phi _{1,k'}^p\phi _{2,k'}^{*\mathit{q}}} \phi _{2,k}^m{\rm{d}}\mathit{y}{\rm{ - }}}\\ {\;\mathit{i}{\mathit{k}_\mathit{x}}\alpha \mathit{Re}\int_{\mathit{\Omega }{_\mathit{y}}} {\left( {\phi _{\mathit{i},\mathit{k}}^{{\rm{*}}\mathit{n}}\phi _{\mathit{i},\mathit{k}}^\mathit{m}\int_{\rm{0}}^\mathit{y} {\phi _{{\rm{1}},\mathit{k'}}^\mathit{p}\phi _{{\rm{2}},\mathit{k'}}^{{\rm{*}}\mathit{q}}} {\rm{d}}\mathit{y'}} \right)} {\rm{d}}\mathit{y},}\\ {\;q_{k,k - k'}^{pqn} = - \int_{\mathit{\Omega }{_\mathit{y}}} {\phi _{i,k}^{*n}} \left( {{\rm{i}}\alpha \left( {{\mathit{k}_\mathit{x}} - {{\mathit{k'}}_\mathit{x}}} \right)\phi _{\mathit{i,k - k'}}^\mathit{q}\phi _{{\rm{1}},\mathit{k'}}^\mathit{p}} \right. + }\\ {\left. {\;\;\frac{{\rm{d}}}{{{\rm{d}}\mathit{y}}}\phi _{i,k - k'}^q\phi _{2,k'}^p + {\rm{i}}\beta \left( {{\mathit{k}_\mathit{z}} - {{\mathit{k'}}_{\rm{z}}}} \right)\phi _{\mathit{i},\mathit{k - k'}}^\mathit{q}\phi _{{\rm{3}},\mathit{k'}}^\mathit{p}} \right){\rm{d}}\mathit{y},}\\ {l_{v,k}^{mn} = \frac{1}{{Re}}\int_{\mathit{\Omega }{_y}} {\phi _{i,k}^{*n}\left[ {\left( { - {\alpha ^2}k_x^2 - {\beta ^2}k_z^2} \right)\phi _{i,k}^m + \frac{{{{\rm{d}}^2}}}{{{\rm{d}}{\mathit{y}^{\rm{2}}}}}\phi _{i,k}^m} \right]} {\rm{d}}\mathit{y}.} \end{array} $ |
方程中与压力梯度有关的项相比于其他项为小量, 本文忽略不计. 黏性项中的νT称为涡黏系数, 代表了不可解模态的影响.
3 近壁湍流的降阶模型
为了得到近壁湍流的降阶模型, 首先对最小槽道湍流进行直接数值模拟以获得流场数据. 最小槽道是指能维持湍流的流向和展向最小尺寸的槽道, 最早由Jiménez等[15]针对缓冲区提出, 其展向尺寸只能包含一根条带, 可以维持缓冲区湍流准周期的猝发运动. 后来人们对最小槽道的概念进行了拓展, Flores等[16]指出, 要在高度yh以下获得健康的湍流, 则最小槽道尺寸应满足Lz≈3yh, Lx≈2Lz. 本文希望最小槽道能较准确地预测
图 1显示了最小槽道平均壁面切应力随时间的变化. 壁面切应力随时间有比较大的波动, 反映了条带失稳生成流向涡的准周期的猝发过程, 从图中可以估算出猝发周期T+≈400, 这与Jiménez等[17]的描述相一致. 图 2显示一个猝发过程中摩擦力增长阶段的流向速度等值面的变化, 可见条带发生弯曲失稳, 此时流向涡产生, 壁面摩擦力增大.
|
| 图 1 下壁面切应力随时间变化 Fig.1 Time evolution of shear stress at lower wall |
|
| 图 2 流向速度等值面u=0.328随时间的演化((a)(b)(c)(d)分别对应于图 1中A, B, C, D时刻) Fig.2 Time evolutions of iso-surface of streamwise velocity u=0.328((a)(b)(c)(d) at time instants indicated byA, B, C, D) |
从DNS计算结果中选取
| $ \begin{array}{l} \hat a_{{k_x}{k_z}}^n\left( t \right) = \\ \int_0^{{y^ + } = 70} {\left( {\phi _{1, {k_x}{k_z}}^{ * n}} \right.{{\hat u}_{1, {k_x}{k_z}}}\left( {y, t} \right)} + \phi _{2, {k_x}{k_z}}^{ * n}{{\hat u}_{2, {k_x}{k_z}}}\left( {y, t} \right) + \\ \phi _{3, {k_x}{k_z}}^{ * n}{{\hat u}_{3, {k_x}{k_z}}}\left( {y, t} \right){\rm{d}}y. \end{array} $ |
模态系数满足
图 3显示了不同波 数上第1阶POD模态所占能量的比重, 即
|
| 图 3 每个波数上第1阶模态能量占该波数总能量的比重等值线图 Fig.3 Contours of the relative contributions of the first wall-normal mode to the total energy |
能量最大的两个模态对应的流向波数kx=0, 即沿流向模态形式不变. 图 4显示了这两个模态的在y-z截面上流向速度云图及展向-法向速度矢量, 可见这两个能量最大的模态就是条带和流向涡结构.
|
| 图 4 能量最大的两个模态 Fig.4 Two most energetic modes |
图 5显示了kx=0, kz=1波数上第1阶POD模态的特征函数分布, 并与Podvin等[9]的结果进行了比较. 本文结果与他们的结果相符.
|
| 图 5 kx=0, kz=1模态3个分量 实线为本文计算结果; 点线和虚线为文献[9]中分别利用全尺寸槽道[19]和缓冲区最小槽道[15]DNS数据计算结果 Fig.5 Three components of modekx=0, kz=1 |
将DNS数据投影到POD模态上作为初始条件, 利用Runge-Kutta方法推进求解式(9), 可得到POD模态系数随时间的演化. 在此之前, 首先需要利用POD模态准确系数
| $ {v_{\rm{T}}} = \frac{{\sum\limits_{{k_x}, {k_z} \in \mathit{\boldsymbol{ \boldsymbol{\varOmega} }}_{{K_x}{K_z}}^1} {{\lambda _{{k_x}{k_z}}}{\rm{R}}e\left[{{T_{{k_x}{k_z}}}l_{v, {k_x}{k_z}}^{11}\hat a_{{k_x}{k_z}}^ * } \right]} }}{{{{\sum\limits_{{k_x}, {k_z} \in \mathit{\boldsymbol{ \boldsymbol{\varOmega} }}_{{K_x}{K_z}}^1} {{\lambda _{{k_x}{k_z}}}\left| {l_{v, {k_x}{k_z}}^{11}{{\hat a}_{{k_x}{k_z}}}} \right|} }^2}}}. $ | (10) |
式(10)中, Re[…]代表取实部运算, 利用该式可求得νT/ν=0.647.
图 6显示了几个波数上的模态系数akxkz的实部随时间的演化. 从图中可以看出, 流向波数kx=0的模态能量较大且频率较低, 随着波数的升高, 特别是流向波数不为0的模态, 其模态系数频率增高, 并且高频运动呈现一定的间歇性. 流向波数不为0的模态以行波的形式向下游传播, 根据Jiménez等[20]的理论, 行波
|
| 图 6 模态系数实部Re[akxkz]随时间的演化 Fig.6 Time evolutions of the real part of mode coefficients Re[akxkz] |
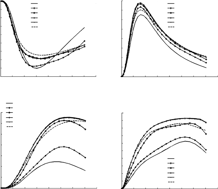
最小槽道和POD分解均是对槽道湍流进行的简化, 考察降阶模型能否捕捉到近壁区湍流的主要特点, 需要对比降阶模型的近壁区统计量和全尺寸槽道近壁统计量, 图 7显示了Reynolds应力和平均流的分布, 对比了POD降阶模型方程最小槽道DNS以及全尺寸槽道DNS[19]的结果. 由图可以看出, 在近壁处, 降阶模型给出的流向法向和展向脉动强度比最小槽道DNS的结果偏小, 而Reynolds切应力则相近, 且在更远离壁面的区域降阶模型与DNS会出现较大差异, 这是由于降阶模型方程在流向和展向只选取很少的波数, 并且由于降阶模型方程求解得到的低波数模态, 特别是能量较大的流向不变模态, 其时
间系数akxkz的强度比精确时间系数
|
| 图 7 POD降阶方程求解结果, 最小槽道和文献[19]各统计量比较 Fig.7 Comparisons of statistics obtained by solving POD reduced order equations, minimal unit and reference[19] |
本文使用最小槽道的近壁POD模态, 利用投影法可以获得合成边界, 并可以通过周期扩展形成较大尺寸槽道的离面边界条件. 将最小流动单元扩展形成较大计算域的边界是一种构造壁模型的新方法, Pascarelli等[21]将最小槽道进行了展向扩展, Garcia-Mayoral等[22]则将转捩边界层中的湍斑作为最小流动单元构造离面边界条件, 由于转捩边界层中的主要流动结构为确定频率的T-S波, 故边界条件的时间发展可以由波动的形式确定, 但转捩边界层的无序程度远低于近壁充分发展湍流, 所以这种方法并非合理.
本文将最小槽道DNS的近壁区湍流场投影到POD模态上, 利用投影获得的模态系数构造离面边界条件. 图 8显示了不同截断集合
|
| 图 8 不同波数和模态阶数截断下投影法获得的近壁统计量的比较 Fig.8 Comparisons of near-wall statistics obtained from projection method between different wave number and different truncation order in wall-normal direction |
用作离面边界条件的y+=50处的速度可由POD模态及其投影系数合成得到, 即
| $ \begin{array}{l} \mathit{\boldsymbol{u}}\left( {x, {y^ + } = 50, z, t} \right) = \\ \sum\limits_{{k_x} = - {K_x}}^{{K_x}} {\sum\limits_{{k_z} = - {K_z}}^{{K_z}} {\sum\limits_{n = 1}^N {\hat a_{{k_x}{k_z}}^n\mathit{\boldsymbol{ \boldsymbol{\varPhi} }}_{{k_x}{k_z}}^n} } } \left( {{y^ + } = 50} \right)\exp \left( {{\rm{i}}\alpha {k_x}x + {\rm{i}}\beta {k_z}z} \right). \end{array} $ | (11) |
该离面边界条件首先在最小槽道的DNS中进行了考核, 计算的下边界位于距下壁面y+=50处, 该处的速度由式(11)给出. 图 9显示了湍流统计量的分布, 除了靠近下边界的过渡区以外, 采用离面边界条件的结果和最小槽道DNS的结果相吻合.
|
| 图 9 使用离面边界条件的槽道和最小槽道尺寸相同时各统计量对比 Fig.9 Statistics in minimal channel with and without off-wall boundary condition |
若要利用该合成边界计算全尺寸槽道, 需要在展向和法向同时进行周期性扩展, 扩展时要保证流动结构物理尺度不变. Pascarelli等[21]采用D-scaling方法, 直接对物理空间内最小流动单元做展向拼接, 相当于谱空间内谱系数变换成离散分布, 假设最小槽道流向和展向分别扩展nx, nz倍, 将波数(Kx, Kz)上的谱系数平移到波数(nxkx, nzkz)上, “D”代表discrete. Mizuno等[23]使用C-scaling构造离面边界条件, 即对谱空间做波数配置后, 新配置的波数对相邻波数平均分配谱系数, 并保证总能量不变, 该方法变换后波数为连续分布, 即“C”代表continuous. 本文采用D-scaling的方法, Pascarelli等[21]指出虽然构造的合成边界在流向和展向有周期性, 但边界以上流动周期性会很快消失.
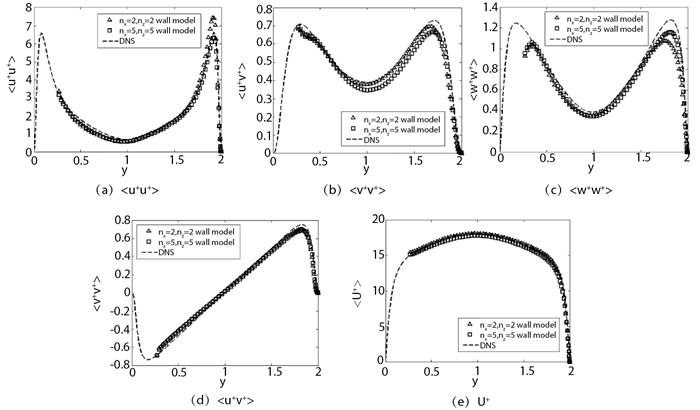
图 10显示了在流向和展向分别均扩展2倍(nx=2, nz=2)和5倍(nx=5, nz=5)的计算结果, 并和全尺寸槽道DNS结果进行了对比, 其中扩展5倍的计算域与全尺寸槽道[19]相当. 由图可见平均速度Reynolds切应力和流向脉动强度吻合较好, 但法向和展向脉动会在离面边界处有所偏差. 首先因为边界处正好在法向和展向脉动峰值处, 此处对计算条件改变较为敏感;其次, 由于边界的高度周期性, 而内部流动周期性消失, 在边界附近会存在过渡区域.
|
| 图 10 不同扩展尺寸槽道和全尺寸槽道DNS计算结果的对比 Fig.10 Comparisons of statistics between channels using off boundary condition with different expansion sizes and the full-sized channel |
本文对最小槽道湍流进行了直接数值模拟, 获得了近壁自维持过程的数据, 对DNS结果进行了POD分析, 并构造了POD模态系数所满足的降阶模型方程. 本文还利用POD模态构造近壁模型, 这是对全尺寸槽道流动在近壁面做简化, 这样的简化是两个层次. 第1层次是将近壁面的自维持过程简化成若干最小流动单元, 用最小槽道代表. 第2层次是在第1层次简化的基础上再将最小槽道近壁流动用更少的POD模态表示. 实际的计算表明, POD模态可以很好地描述近壁面的统计性质, 并且构造的离面边界条件可以扩展应用于全尺寸的槽道流动计算中. 然而, 本文的计算仍然局限在低Reynolds数的范围内, 在高Reynolds数流动计算中, 由于外区的大尺度运动会对近壁流动产生影响, 使得近壁面的合成边界条件的构造变得更加复杂; 其次, 本文的POD模态的获得需要利用大量DNS或者实验数据, 如何不依赖于预先获得的数据构造模态需要进一步的研究.
| [1] |
Hamilton J M, Kim J, Waleffe F. Regeneration mechanisms of near-wall turbulence structures[J]. Journal of Fluid Mechanics, 1995, 287: 317-348. DOI:10.1017/S0022112095000978 |
| [2] |
Jiménez J, Pinelli A. The autonomous cycle of near-wall turbulence[J]. Journal of Fluid Mechanics, 1999, 389: 335-359. DOI:10.1017/S0022112099005066 |
| [3] |
Schoppa W, Hussain F. Coherent structure generation in near-wall turbulence[J]. Journal of Fluid Mechanics, 2002, 453: 57-108. |
| [4] |
Lumley J L. The structure of inhomogeneous turbulent flows[A]. //Atmospheric Turbulence and Radio Wave Propagation[M].Nauka: Publishing House of Nauka,1965: 166-178.
|
| [5] |
Bailon-Cuba J, Schumacher J. Low-dimensional model of turbulent Rayleigh-Bénard convection in a Cartesian cell with square domain[J]. Physics of Fluids (1994-present), 2011, 23(7): 077101. DOI:10.1063/1.3610395 |
| [6] |
Duggleby A, Ball K S, Paul M R, et al. Dynamical eigenfunction decomposition of turbulent pipe flow[J]. Journal of Turbulence, 2007(8): N43. |
| [7] |
Cazemier W, Verstappen R, Veldman A E. Proper orthogonal decomposition and low-dimensional models for driven cavity flows[J]. Physics of Fluids (1994-present), 1998, 10(7): 1685-1699. DOI:10.1063/1.869686 |
| [8] |
Aubry N, Holmes P, Lumley J L, et al. The dynamics of coherent structures in the wall region of a turbulent boundary layer[J]. Journal of Fluid Mechanics, 1988, 192: 115-173. DOI:10.1017/S0022112088001818 |
| [9] |
Podvin B, Lumley J. A low-dimensional approach for the minimal flow unit[J]. Journal of Fluid Mechanics, 1998, 362: 121-155. DOI:10.1017/S0022112098008854 |
| [10] |
Podvin B. On the adequacy of the ten-dimensional model for the wall layer[J]. Physics of Fluids, 2001, 13(1): 210-224. DOI:10.1063/1.1328741 |
| [11] |
Piomelli U. Wall-layer models for large-eddy simulations[J]. Progress in Aerospace Sciences, 2008, 44(6): 437-446. DOI:10.1016/j.paerosci.2008.06.001 |
| [12] |
Podvin B, Fraigneau Y. Synthetic wall boundary conditions for the direct numerical simulation of wall-bounded turbulence[J]. Journal of Turbulence, 2011(12): N4. |
| [13] |
许春晓. 槽道湍流的直接数值模拟[D]. 北京:清华大学, 1995. Xu C X. Direct numerical simulation of turbulent channel flow. [D]. Beijing: Tsinghua University,1995(in Chinese). |
| [14] |
Wacławczyk M, Pozorski J. Modelling of near-wall turbulence with large-eddy velocity modes[J]. Journal of Theoretical and Applied Mechanics, 2007, 45(3): 705-724. |
| [15] |
Jiménez J, Moin P. The minimal flow unit in near-wall turbulence[J]. Journal of Fluid Mechanics, 1991, 225: 213-240. DOI:10.1017/S0022112091002033 |
| [16] |
Flores O, Jiménez J. Hierarchy of minimal flow units in the logarithmic layer[J]. Physics of Fluids, 2010, 22(7): 071704. DOI:10.1063/1.3464157 |
| [17] |
Jiménez J, Kawahara G. Dynamics of wall-bounded turbulence[A].//Turbulence[M]. Cambridge: Cambridge University Press, 2013
|
| [18] |
Podvin B. A proper-orthogonal-decomposition-based model for the wall layer of a turbulent channel flow[J]. Physics of Fluids, 2009, 21(1): 015111. DOI:10.1063/1.3068759 |
| [19] |
Kim J, Moin P, Moser R. Turbulence statistics in fully developed channel flow at low Reynolds number[J]. Journal of Fluid Mechanics, 1987, 177: 133-166. DOI:10.1017/S0022112087000892 |
| [20] |
Jiménez J, Del Alamo J C, Flores O. The large-scale dynamics of near-wall turbulence[J]. Journal of Fluid Mechanics, 2004, 505: 179-199. DOI:10.1017/S0022112004008389 |
| [21] |
Pascarelli A, Piomelli U, Candler G V. Multi-block large-eddy simulations of turbulent boundary layers[J]. Journal of Computational Physics, 2000, 157: 256-279. DOI:10.1006/jcph.1999.6374 |
| [22] |
Garcıa-Mayoral R, Pierce B, Wallace J. Off-wall boundary conditions for turbulent simulations from minimal flow units in transitional boundary layers[A].//8th International Symposium on Turbulence and Shear Flow Phenomena[C]. Poitiers, 2013.
|
| [23] |
Mizuno Y, Jiménez J. Wall turbulence without walls[J]. Journal of Fluid Mechanics, 2013, 723: 429-455. DOI:10.1017/jfm.2013.137 |

