b. School of Renewable Natural Resources, Louisiana State University Agricultural Center, Baton Rouge, LA 70803, USA;
c. Natural History Museum of China, 126 Tianqiao South Street, Beijing 100050, China;
d. College of Landscape Architecture and Forestry, Qingdao Agricultural University, 700 Changcheng Road, Qingdao 266109, China
Understanding how species adapt to climate changes is a central goal in ecology. The study of plant functional traits, including morphological, physiological, and chemical characteristics (Pérez-Harguindeguy et al., 2013), is particularly critical within the field of global change biology, as it offers valuable insights into how plant species adapt to climate and interact ecologically (May et al., 2017; Ren et al., 2020; Liao et al., 2021). These traits in plants typically entail trade-offs, revealing diverse strategies employed by plants to thrive in the face of environmental variation. The concept that describes how organisms make trade-offs and allocation decisions when facing complex environmental changes are called ecological strategy theory. Ecological strategy theory can facilitate the prediction of plant responses to environmental shifts, guiding conservation efforts for plant populations and enhancing ecosystem restoration and management strategies.
Numerous frameworks and analytical tools have been developed to quantify and assess the relationships among functional traits in ecological studies (Agrawal, 2020). Drawing inspiration from the r-K strategy for animals, Grime (1974) formulated a parallel theory for plants, known as the competitor (C), stress tolerator (S), and ruderal (R) strategy theory. Competitors are robust species adapted to stable, resource-rich environments, where they can outcompete others for essential resources. Stress tolerators can withstand harsh conditions, such as drought or extreme temperatures, by conserving water and nutrients. Ruderals, on the other hand, are fast-growing species that quickly colonize disturbed or ephemeral habitats, focusing on rapid growth and reproduction (Grime, 1974). This theory can reflect plant functional trade-offs in response to the environmental stress and disturbance during the established (or adult) phase of plant life-history (Grime, 1974). For example, taller plants, typically competitors, often feature larger leaves to optimize light capture and resource acquisition. Conversely, denser plants, typically stress tolerators, prioritize resource conservation by investing in thicker leaves. Reproductive traits, such as flowering time, are pivotal in determining ruderal strategies related to disturbance response and regeneration. Physiological traits like nutrient content, photosynthetic rate and water use efficiency embody the interplay between acquisitive and conservative resource economics, providing direct insights into CSR strategy (Hodgson et al., 1999). A recently developed tool called StrateFy provides a standardized, quantitative approach for comparing plant ecological strategies across different ecosystems and biomes (Pierce et al., 2017) that has allowed researchers to study ecological adaptation, plant invasion, community assembly and other ecological issues (Guo et al., 2018, 2019; Liao et al., 2021; Zhang et al., 2024).
Intra-specific variation in ecological strategy can be influenced by three major factors: phenotypic plasticity, genetic adaptation, and phylogenetic history. Phenotypic plasticity in plants allows for short-term adjustments to the environment, whereas genetic variation provides the potential for long-term adaptation through natural selection (McIntyre and Strauss, 2014; Ren et al., 2025; Song et al., 2021a). Natural selection favors genotypes adapted to local conditions along latitudinal gradients, resulting in specialized ecological strategies within species. This is evident in the latitudinal trends of functional traits, indicating clinal adaptations to climatic zones. For example, many plant species exhibit clinal patterns in traits such as plant size and flowering time (Vasseur et al., 2018; Ren et al., 2020). However, phylogenetic history may limit adaptive potential due to the lack of the genetic variation in certain clades (Ackerly, 2009; Wu et al., 2022). Phylogenetic conservatism, the tendency of related species or lineages to share similar traits (e.g., ecological strategies and functional traits) due to their common ancestry, can lead to the retention of ancestral traits within a lineage, even if those traits are not necessarily optimal in the current environment. However, few studies have examined whether and to what extent phenotypic plasticity, genetic adaptation, and phylogenetic history mediate intra-specific variation in CSR strategy.
Previous studies have found that in Arabidopsis intra-specific variation in CSR strategy plays a role in functional adaptation to climatic changes (May et al., 2017; Vasseur et al., 2018; Estarague et al., 2022). For example, research has shown that S scores in Arabidopsis plants are positively correlated with temperature at their geographical origin, whereas R scores are negatively correlated with this temperature (May et al., 2017). High-throughput phenotyping platforms and greenhouse studies have confirmed that Arabidopsis grown in distinct environmental conditions exhibit intra-specific variation in ecological strategies, and that S and R scores in Arabidopsis populations are positively and negatively correlated with latitude, respectively (Vasseur et al., 2018). Researchers have speculated that Arabidopsis in Europe vary from the center to the margins of their natural range in several traits, including C score, R score, leaf area and fruit number (Estarague et al., 2022). Although some studies have investigated intra-specific CRS strategy in other plant species (Dayrell et al., 2018; Hasigerili et al., 2023), most research has been limited to either field survey data, which may indicate variation regulated by both environmental plasticity and genetic effect, or common garden experiments, which show variation determined by genetics. Few studies have combined these approaches to elucidate the contributions to ecological and evolutionary forces to the intra-specific variation.
One important use of CSR strategy classification is for the prediction of plant species distribution and biological invasion potential. A large-scale study found that global and native range sizes of species were positively associated with the R score; species naturalized range size was positively associated with the C score; and all range-size measurements were negatively associated with the S score (Liao et al., 2021). Species exhibiting C- or R-selected strategies and having large native ranges tended to be cultivated in domestic and botanic gardens, became naturalized outside their native ranges, and occupied more regions in their naturalized ranges (Guo et al., 2019). Across different plant life forms, the C score has been found to be positively, and the S score, negatively associated with both the probability of naturalization and the number of regions where the species has naturalized (Guo et al., 2018). During a 60-year secondary succession, alien plant species were shown to exhibit higher R and lower S scores compared to those of native species in the later stage (Zhang et al., 2024). Research on the Mountain Tianmu National Nature Reserve in China found that invasive plant species are R-selected, whereas natives are C-selected (Hasigerili et al., 2023).t
Phragmites australis, commonly known as the common reed, is an ideal model for studying the underlying causes of variation in CSR strategy within one species (Guo et al., 2024) and how shifts in functional strategies can drive population growth and range expansion. P. australis is a globally distributed wetland plant. It exhibits high intra-specific variation in functional traits and is remarkably adapted to a variety of environments (Eller et al., 2017; Ren et al., 2020; Sheng et al., 2024). P. australis is composed of several phylogeographical groups (lineages) with notable diversity in ploidy levels (Lambertini et al., 2012; Liu et al., 2018, 2022). These lineages differ significantly in morphology, life-history, and ecological strategies (Williams et al., 2019; Ren et al., 2020; Wu et al., 2022; Guo et al., 2024; Sheng et al., 2024). Parallel common garden experiments have shown that intra-specific variation in P. australis functional traits is mediated by both latitudinal adaptation and phenotypic plasticity (Ren et al., 2020). P. australis has developed various ecotypes in response to local environmental factors such as salinity and water level (Zhou et al., 2021; Song et al., 2021a). Even at a small geographic scale, there is considerable geographic variation in genetic composition and plant functional traits (Liu et al., 2021a, 2021b).
Here, we examined whether the CSR strategy estimated by leaf traits can reveal adaptation to climate in the common reed Phragmites australis. In addition, we determined which factors (i.e., phenotypic plasticity, genetic adaptation, or phylogenetic history) mediate intra-specific variation in CSR strategy in this species. For this purpose, we collected data on the functional traits of P. australis from a field survey in two China wetlands and a three-year common garden experiment with accessions spanning the global species distribution range. We compared CSR scores from an eastern and western population of P. australis in China, and examined whether CSR scores from a global P. australis dataset were correlated with latitude and bioclimatic factors. We then examined the relationship between CSR scores and genetic distances based on microsatellite markers. Trait-climate correlations were also tested in the models of phylogenetic generalized least squares. Taken together, this information documents and identifies the climatic and phylogenetic mechanisms that drive global geographical patterns of intra-specific variation in CSR strategies in this cosmopolitan species.
2. Materials and methods 2.1. Study materials and experimental designTo disentangle genetic and environmental contributions to intraspecific trait variation in Phragmites australis, we conducted both common garden experiments and field surveys. Field surveys provided insights into naturally occurring trait variation across environmental gradients, establishing ecological relevance. The common garden experiments isolated genetic-driven trait divergence among populations by controlling environmental conditions. This dual approach allowed us to (1) identify trait–environment associations in natural settings, and (2) validate whether observed field differences persist under standardized conditions, confirming genetic adaptation. By integrating both methods, we rigorously distinguish heritable adaptations from transient plasticity, strengthening conclusions about evolutionary strategies.
In our common garden experiments, we included six major lineages of Phragmites australis, representing the global distribution range of the species: the European lineage (EU, and its invaded population in North America named INT), the Mediterranean lineage (MED, and its invaded population in North America named Delta), the native lineage in North American (NAT), the land ecotype along Gulf of Mexico (LAND), the east Asian and Australian lineage (FEAU), and the Chinese (CN). The CN lineage was delimited recently (Liu et al., 2022; Wang et al., 2024), and was not previously compared to other lineages in common garden experiments (Pyšek et al., 2018; Ren et al., 2020; Guo et al., 2024).
2.2. Field surveyField surveys are a robust method for showcasing the natural intraspecific variation in ecological strategies within the environment. This variation is the cumulative outcome of environmental plasticity and genetic evolution, and it is closely associated with ecological interactions and processes. We investigated the functional traits of Phragmites australis populations in the Ningxia Plain (NX; 104°59′–106°53′E, 37°26′–39°13′N) and the Yellow River Delta (YRD; 118°07′–119°10′E, 36°55′–38°12′N) in July and August of 2018 (Liu et al., 2021b). The Ningxia Plain, in western China, has a low annual precipitation of about 200 mm; the Yellow River Delta, in eastern China, has a high annual precipitation of 530–630 mm (Fig. 1). We sampled 144 shoots across 30 sites of NX, and 150 shoots across 30 sites of YRD (Liu et al., 2021b). Shoot height (H), diameter (D) and node number (NN) were directly measured or counted in the field. Three fully expanded green leaves from each shoot were selected to measure leaf area (LA), leaf dry matter content (LDMC), specific leaf area (SLA), and leaf thickness (LT). Biomass per shoot and leaf dry weight were obtained after oven drying at 80 ℃ for 48 h. Leaf area was determined by scanning on a flatbed scanner (9000SF, Canon, Japan), followed by processing using ImageJ v.1.51 (National Institutes of Health, Bethesda, USA). The panicle emergence for each shoot was also recorded. Additionally, nineteen rhizomes were collected from each region (NX and YRD) for common garden experiments.
|
| Fig. 1 Sampling locations of Phragmites australis in the field survey (plus signs) and the common garden (circles). Colors indicate different lineages/groups: the European lineage (EU, and its invaded population in North America named INT), the Mediterranean lineage (MED, and its invaded population in North America named Delta), the native lineage in North American (NAT), the land ecotype along Gulf of Mexico (LAND), the east Asian and Australian lineage (FEAU), the Chinese lineage (CN), the Ningxia Plain population (NX) in western China, and the Yellow River Delta population (YRD) in eastern China. Details on sample distribution in NX and YRD can be found in Liu et al. (2021b). |
The common garden experiment can mitigate the influence of growth environments on variation in ecological strategies, and it is considered a reliable standard for differentiating between genetic adaptation and phenotypic plasticity in response to environmental fluctuations. This approach is a powerful tool that allows us to elucidate the adaptive significance of ecological strategies within the context of evolutionary biology.
Common garden experiments were performed during 2019–2021 at Qingdao campus of Shandong University (36°36′N, 120°69′E), Qingdao, China. Every year, trait measurements were performed in early September. In 2019 and 2020, the common garden included 19 samples from NX, 19 samples from YRD, and 26 samples from other regions, including four inland provinces (Qinghai, Gansu, Henan and Yunnan) and four coastal provinces (Liaoning, Jiangsu, Zhejiang and Guangdong) of China. All plants were cultivated with rhizomes in 16 L pots filled with sand. In 2021, we rebuilt a common garden with 88 global genotypes of Phragmites australis (Fig. 1). All plants were cultivated with rhizomes in 50 L pot filled with soil and sand (volume ratio of 1:1). The management and maintenance of the common garden were detailed previously (Ren et al., 2020). A series of functional traits were measured, including H, D, LA, LDMC, SLA, LT, density (shoot number), leaf width, leaf height, leaf and shoot stoichiometry (N and P), photosynthetic rate, transpiration rate, and stomatal conductance following common procedures (Liu et al., 2021b). The number of panicles and their colors (light or dark) were documented for each sample. Light colors encompassed white and green, while the dark category was represented by purple.
2.4. Calculation of CSR scoresThe original CSR ordination used four traits (i.e., canopy height, lateral spread and litter accumulation) to define the C strategy, while maximum relative growth rate in the seeding phase defined the S strategy (Grime, 1977). Grime et al. (1997) also expanded the CSR ordination with a principal component analysis (PCA) of 67 traits in 43 common plants of the British flora. Hodgson et al. (1999) described a practical method for rapid CSR classification for herbaceous species with seven functional traits including canopy height, leaf dry matter content (LDMC), flower period, flowering start, lateral spread, leaf dry weight, and specific dry weight. More recently, Pierce et al. (2017) developed the StrateFy tool to calculate CSR scores with only three simple leaf traits, including leaf area (LA), LDMC, and specific leaf area (SLA). The tool was calibrated by data from global vascular plants (both herbaceous and woody species) at inter-specific levels, and has been shown to be applicable across a wide range of biomes and growth forms. It is available as an Excel spreadsheet tool. For the repeatability of the calculation of CSR scores with StrateFy algorithm, we rewrote the script with R code (https://github.com/commonreed/StrateFy).
The usage of the StrateFy tool assumes that the three leaf traits (LA, LDMC and SLA) are correlated with functional traits across other organs and with the whole plant related to CSR strategy, e.g., the seven traits used by Hodgson et al. (1999). From the perspective of trait integration, the quantification of CSR strategy relies on a multivariate space determined by two plant spectrums: plant resource economics (a trade-off between traits conferring resource acquisition and internal conservation) and the size of plants and plant organs (Grime et al., 1997; Pierce et al., 2013; Díaz et al., 2016). This assumption was well tested by multivariate analysis at the inter-specific level with a global plant dataset when it was developed (Pierce et al., 2017), but few studies have examined the relationship at an intra-specific level (Takou et al., 2019; Agrawal, 2020; Laughlin, 2024). To test whether the estimation method of CSR strategy by leaf traits is reliable at the intra-specific level, we tested the association of leaf-based CSR scores to the whole-plant traits by examining whether the first two axis in PCA of functional traits represented the economics spectrum and size spectrum, respectively. Specifically, principal component analysis (PCA) was performed for all measured traits of Phragmites australis using the rda function from the vegan R package, with the scale parameter set to true.
2.5. Analysis of phylogenetic signalPhylogenetic relationships were constructed from 42 nuclear microsatellite markers (provided in Table S1). High-throughput sequencing-based microsatellite genotyping was conducted by the Genesky Biotechnologies Inc (Shanghai, China) (Cui et al., 2022). We calculated Bruvo's distances between samples with the function meandistance.matrix in R package polysat (Clark and Jasieniuk, 2011). Based on this distance matrix, we performed principal coordinate's analysis (PCoA) and constructed a neighbor-joining (JN) tree with the R package ape (Paradis and Schliep, 2019).
To test the relationship between phylogenetics and ecological strategy, we employed Blomberg's K and Pagel's λ as model-dependent metrics to quantify phylogenetic signal under Brownian motion expectations using the function phylosig in R package phytools (Revell, 2012). Given potential uncertainties in Phragmites australis intraspecific phylogenetic reconstruction (e.g., branch length calibration), we complemented these analyses with Mantel tests that correlate trait and phylogenetic distance matrices without assuming explicit evolutionary models. The Mantel test is a statistical method used to test the correlation between two distance matrices. In evolutionary biology, it is commonly used to test whether there is a significant correlation between a matrix of genetic distances among lineages and a matrix of differences in a particular trait (Stelkens et al., 2012). If there is a correlation, it may indicate that the similarity of the trait is influenced by genetic relatedness, i.e., the presence of phylogenetic conservation. Blomberg's K and Pagel's λ are two common methods to quantify the conservation of a trait on a phylogenetic tree. They compare the observed rate of trait evolution to the expected rate if the trait were randomly distributed across the tree. If the K value is significantly greater than 1, it suggests that the trait is more conserved evolutionarily than would be expected by chance. If K or λ is close to 1, it indicates that the distribution of the trait is strongly influenced by phylogenetic relationships, showing high phylogenetic conservation. If K or λ is close to 0, it indicates that the distribution of the trait is almost independent of phylogenetic relationships, showing randomness or influence by other factors such natural selection.
The complementary nature of these methods can strengthen our conclusions. While K and λ quantify the magnitude and topological dependence of phylogenetic signal under model frameworks, the Mantel test independently verifies whether trait–phylogeny correlations persist when relaxing these assumptions. For instance, concordance (e.g., high K/λ with significant Mantel correlation) reinforces signal robustness, whereas discordance (e.g., strong λ but weak Mantel correlation) could indicate either model inadequacy or topological inaccuracies—a critical consideration given the complexities of intraspecific phylogenies in Phragmites australis. By integrating these approaches, we mitigate risks from single-method biases, especially where phylogenetic reconstruction uncertainty exists.
2.6. Data analysesFor the eastern (YRD) and western (NX) populations of China, we compared three functional traits (H, D and LT) and CSR scores with unpaired t-tests. For the comparisons between phylogenetic groups, Kruskal–Wallis tests were conducted with the kruskal function from the R package agricolae (de Mendiburu, 2023), because the data of the leaf traits and CSR scores were non-normal according to the Shapiro–Wilk tests finished with the shapiro.test function from the base R package stats (R Core Team, 2025). To prevent over-representation of specific geographic regions and to reduce bias in the statistical models, only one sample each was randomly chosen from the NX and YRD regions for the subsequent analyses.
To test the relationship between CSR scores and bioclimatic factors of their origins, we downloaded bioclimate data from WorldClim v2.1 with a resolution of 2.5 min of a degree using the function worldclim_global in R package geodata (Hijmans et al., 2024). We extracted Annual Mean Temperature (Bio1), Temperature Seasonality (Bio4), Max Temperature of Warmest Month (Bio5), Min Temperature of Coldest Month (Bio6), and Annual Precipitation (Bio12) for the provenance of origin of the 88 genotypes included in the 2021 common garden experiments using the function extract in R package terra (Hijmans, 2025). Correlation between CSR scores and bioclimatic factors was tested by Pearson correlation analysis and linear models fitted with generalized least squares (GLS). To control for phylogeny, phylogenetic generalized least squares (PGLS) was used to test the correlation between CSR scores and climatic factors across genotypes with a phylogenetic covariance matrix from the microsatellite-based phylogeny. PGLS was performed with the R package caper (Orme et al., 2023).
3. Results 3.1. Intra-specific variation in CSR strategies and their association to other functional traitsIn the both field studies and the common garden, Phragmites australis used the stress tolerator strategy, but displayed significant intra-specific variation (Fig. 2A–D). C scores for Phragmites australis ranged from 12.0 to 85.2% in the field and 6.4–51.8% in gardens, whereas S scores ranged from 29.1 to 82.1% (field) and 37.2–84.1% (gardens). In contrast, R scores were low across several environmental conditions (0–33.7% in field; 0.9–30.9% in gardens). In the field, 48.3% of P. australis were CS type, 24.8% were S/CSR, and 14.6% were CS/CSR. In the first year of the common garden experiment (2019), 45.3% of plants were S/CS and 35.9% were S/CSR types. In the second year (2020), S/CS and S/CSR types accounted for 42.2% and 40.6% of P. australis, respectively. In the third year (2021), S/CSR and CS/CSR types accounted for 60.0% and 21.7%. In all years, the first axis of PCA (36.0% in 2018, 39.6% in 2019, 29.7% in 2020, 65.2% in 2021) indicated the size spectrum, while the second axis (22.7% in 2018, 20.7% in 2019, 14.6% in 2020, and 15.0% in 2021) indicated the economics spectrum (Fig. 2E and F).
|
| Fig. 2 The CSR ternary diagrams (A–D) and PCA plots (E–H) of Phragmites australis in the field and the common gardens. NX denotes the Ningxia Plain in western China, and YRD denotes the Yellow River Delta in eastern China. LA, leaf area; LDMC, leaf dry matter content; SLA, specific leaf area; NN, node number; LL, leaf length; LW, leaf width; LT, leaf thickness; E, transpiration rate; A, photosynthetic rate; PN, panicle number. |
CSR scores were correlated with functional traits not used in calculations of CSR scores (Fig. 3; Fig. S1). Across all years, C scores were positively correlated with shoot biomass, height, diameter, and leaf thickness; in addition, the S and R scores were generally negatively correlated with these functional traits. S scores were negatively correlated with leaf N and root N. R scores from 2020 were positively correlated with transpiration rate, leaf P and stem P. In addition, R scores were negatively correlated with panicle emergence or number in 2018 and 2021, but not from 2019 to 2020. Panicle emergence time was not significantly correlated with R score, either (2019, r = −0.134, p = 0.340; 2021, r = 0.267, p = 0.077; record lack in 2020 due to the COVID-19 lockdown). Panicle color was related to the R score, with a high R score indicating a green, not purple, panicle.
|
| Fig. 3 Pearson correlations between CSR scores and functional traits in the field (A) and common gardens (B, 2019; C, 2020; D, 2021). The color denotes r values (the red denotes positive correlation, while the blue denotes negative correlations), and the asterisk denotes the significance (∗p < 0.05; ∗∗p < 0.01; ∗∗∗p < 0.001). LA, leaf area; LDMC, leaf dry matter content; SLA, specific leaf area; NN, node number; LL, leaf length; LW, leaf width; LT, leaf thickness; density, shoot number; E, transpiration rate; A, photosynthetic rate; PC, panicle color; PN, panicle number. |
Field surveys indicated that shoot height and leaf thickness were greater in western Phragmites australis populations than in eastern populations; however, shoot diameter was smaller in western plants than in eastern plants (Fig. 4). In the common garden experiments, shoot height, shoot diameter, and leaf thickness of western plants were significantly smaller than those of eastern plants. In both field and common garden surveys, S scores were higher in western populations/lineages than in eastern populations/lineages, whereas C scores were lower. R scores were higher in western populations/lineages than in eastern populations/lineages in 2020 and 2021, but not in field surveys from 2019 or the first-year common garden experiments.
|
| Fig. 4 The comparisons of the functional traits and CSR scores between the eastern (YRD) and western (NX) populations of China. The asterisk denotes the significance of the t test (∗p < 0.05; ∗∗p < 0.01; ∗∗∗p < 0.001). |
S scores for global Phragmites australis samples were positively correlated with latitude; in contrast C scores were negatively correlated with latitude (Fig. S2 and Table 1). The C score was positively correlated with several climatic factors, including Annual Mean Temperature, Max Temperature of Warmest Month, Min Temperature of Coldest Month, and Annual Precipitation. The S score was negatively correlated with Annual Mean Temperature. The R score was positively correlated with Temperature Seasonality, but negatively correlated to Annual Mean Temperature, Max Temperature of Warmest Month, Min Temperature of Coldest Month, and Annual Precipitation.
| Trait | Latitude | Latitude# | Bio1 | Bio1# | Bio4 | Bio4# | Bio5 | Bio5# | Bio6 | Bio6# | Bio12 | Bio12# |
| LA | −99∗∗∗ | −11 | 154∗∗∗ | 69∗ | −0.928 | −0.390 | 158∗∗∗ | 73∗ | 71∗∗∗ | 31 | 1.029∗∗ | 0.741 |
| LDMC | 0.26∗∗∗ | 0.37 | −0.08 | −0.10 | −0.001 | < 0.001 | −0.10 | −0.04 | 0.01 | −0.04 | −0.001 | −0.002 |
| SLA | 0.08 | −0.17 | −0.35∗∗∗ | −0.11 | 0.004∗∗ | 0.002 | −0.33∗∗∗ | −0.07 | −0.22∗∗∗ | −0. 07 | −0.003∗∗ | < 0.001 |
| C | −0.86∗∗∗ | −0.20 | 1.21∗∗∗ | 0.53∗ | 0.006 | −0.004 | 1.23∗∗∗ | 0.49∗ | 0.54∗∗∗ | 0.25∗ | 0.008∗∗ | −0.006 |
| S | 0.65∗∗∗ | 0.53 | −0.38∗ | −0.22 | −0.005 | −0.002 | −0.48∗ | −0.28 | −0.03 | −0.03 | −0.002 | −0.006 |
| R | 0.21 | −0.33 | −0.82∗∗∗ | −0.31 | 0.010∗∗ | 0.007 | −0.75∗∗∗ | −0.20 | −0.51∗∗∗ | −0.22 | −0.006∗∗∗ | < 0001 |
| Note: Bio1, Annual Mean Temperature; Bio4, Temperature Seasonality; Bio5, Max Temperature of Warmest Month; Bio6, Min Temperature of Coldest Month; Bio12, Annual Precipitation. LA, leaf area; LDMC, leaf dry matter content; SLA, specific leaf area. The boldface denotes significance at p < 0.05. The asterisk denotes the significance (*p < 0.05; **p < 0.01; ***p < 0.001). | ||||||||||||
In PCoA, the FEAU, CN and LAND groups well clustered together (Fig. S4). The European group (EU, MED, INT and DELTA) and native group of North America (NAT) were very close (Fig. S3). Mantel tests did not show any significant correlations between phylogenetic distance and C, S or R distance. Tests based on Blomberg's K and Pagel's λ revealed significant signals of all CSR scores and functional traits (Table 2 and Fig. S4). Analyses of phylogenetic generalized least squares showed C scores was negatively correlated with Max Temperature of Warmest Month (Table 1).
| Mantel r | Mantel p | Pagel's λ | p for λ | Blomberg's K | p for K | |
| C | 0.014 | 0.353 | 0.889 | < 0.001 | 0.977 | < 0.001 |
| S | 0.035 | 0.219 | 0.622 | < 0.001 | 0.564 | 0.028 |
| R | < 0.001 | 0.470 | 0.797 | < 0.001 | 0.565 | 0.019 |
| Height | 0.060 | 0.113 | 0.757 | < 0.001 | 0.619 | 0.011 |
| Diameter | 0.023 | 0.300 | 0.954 | < 0.001 | 1.348 | < 0.001 |
| Density | −0.036 | 0.754 | 0.895 | < 0.001 | 0.788 | < 0.001 |
| LL | 0.052 | 0.142 | 0.749 | < 0.001 | 0.521 | 0.065 |
| LW | 0.002 | 0.470 | 0.816 | < 0.001 | 0.692 | 0.001 |
| LT | 0.047 | 0.156 | 0.659 | < 0.001 | 0.602 | 0.012 |
| PN | −0.042 | 0.782 | 1.000 | 0.015 | 0.633 | 0.071 |
| LA | 0.054 | 0.128 | 0.782 | < 0.001 | 0.613 | 0.013 |
| LDMC | 0.083 | 0.063 | 0.498 | < 0.001 | 0.522 | 0.063 |
| SLA | −0.039 | 0.791 | 0.838 | < 0.001 | 0.632 | 0.006 |
| The boldface denotes significance at p < 0.05 | ||||||
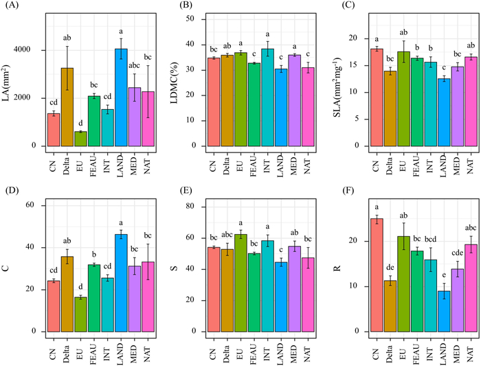
The highest C score among phylogeographical groups was observed in LAND, which had the lowest S and R scores (Fig. 5). The lowest C score and the highest S score were observed in the EU group. The original and introduced groups (EU vs INT, and MED vs DELTA) did not differ significantly in CSR scores. S scores were higher in the introduced groups (EU and INT) than in the native counterpart in North America (NAT) (Fig. 5E). The R score was higher in the CN lineage than in the FEAU lineage, however, the C score was lower (Fig. 5D–F).
|
| Fig. 5 Comparisons of functional traits and CSR scores between different phylogeographical groups. Different letters mean the significant difference between groups based on Kruskal–Wallis tests (p < 0.05). |
Phenotypic plasticity can be a non-negligible driver for plant intra-specific variation in ecological strategy (Ren et al., 2020; Song et al., 2021b). In our study, there were no significant differences in the R score between the two Chinese populations of Phragmites australis in the field or the first-year common garden, but the R score of the western population increased in the following years in the common garden. Similarly, we observed the reversion between the two populations in leaf thickness. This finding may not be the result of sampling bias, as we had the same samples in the first two years of the common garden. Instead, the likely explanation for these differences is phenotypic plasticity. In 2019, the region where the common garden experiments were conducted experienced an extreme heat and drought event (Annual Mean Temperature was 14.07 ℃ in 2019, while 13.27 ℃ in 2020 and 13.55 ℃ in 2021; Annual Precipitation was 481 mm in 2019, while 1224 mm in 2020 and 1022 mm in 2021; Fig. S5), which may have led to the phenotypic plasticity. In addition, the traits of P. australis during the first-year common garden may have been influenced by parental effects, especially since the experiment employed rhizome propagation. The common garden experiments were conducted in eastern China, near the YRD region. Thus, the traits of plants from the NX population might have been induced by the altered environmental factors over the following years. Although field surveys revealed trait divergence was correlated with environmental conditions, the common garden experiment confirmed that these differences persisted under common conditions, indicating that the key driver behind these changes was genetic differentiation. This integration rules out plasticity as the sole explanation for the observed variation.
Notably, our findings extend recent work by Guo et al. (2024), who examined intraspecific CSR variation in 89 Phragmites australis genotypes using common garden experiments. While their study identified genetically driven divergence in ecological strategies under standardized conditions, our integrated approach (combining field surveys with multi-year common garden data) provides critical insights into how environmental gradients and plasticity interact with genetic adaptation. For instance, Guo et al. (2024) attributed trait differences solely to genetic factors, as their experimental design excluded plasticity by focusing on a single growing season. In contrast, our common garden data revealed temporally dynamic trait shifts (e.g., R score increases in the western population), highlighting the role of plasticity in modulating genetically based strategies under fluctuating climates. Furthermore, field surveys allowed us to validate that population-level trait differences observed in situ (e.g., stress-tolerance adaptations in arid habitats) align with genetic differentiation confirmed in the common garden. This dual-method framework resolves a key limitation of single-environment studies by disentangling transient plasticity from heritable adaptations, thereby advancing our understanding of how P. australis evolves context-dependent ecological strategies.
Consistent with a previous study in Arabidopsis thaliana (Vasseur et al., 2018), we found that S scores were positively correlated with the origin latitude. High-latitude ranges usually have lower productivity with strict resource limitations. Previous research on Phragmites australis has reported that longer leaf lifespans were found in genotypes from higher latitudes, indicating an S strategy (Ren et al., 2020). Unlike the negative correlation between R scores and latitude in A. thaliana (Vasseur et al., 2018), we found that these factors are positively correlated in P. australis. The disturbance regimes of P. australis at high latitudes are still unclear. They may originate from multiple sources, including the freezing period in winter, artificial mowing, and/or fire. Previous studies also noted that flowering time is earlier for higher-latitude P. australis (Ren et al., 2020). The higher R strategy might imply more sexual propagations, leading to a higher level of intra-specific genetic diversity (Liu et al., 2024). Furthermore, vegetative propagation may also contribute to the R strategy in P. australis, as we observed a higher density of higher-latitude samples in our current and previous study (Ren et al., 2020). Additionally, the C score was negatively correlated with latitude in P. australis, which fits our intuition that southern populations grow larger and taller due to fierce intra- and inter-specific competitions.
Temperature and precipitation are two major climatic factors that shape intra-specific variation in CSR strategy. In Phragmites australis, Annual Mean Temperature (Bio1) and Annual Precipitation (Bio12) were significantly linked to all three CSR scores. At the same latitude, the distance to the sea results in a precipitation gradient from east to west in China. We found the eastern population (YRD) had a higher C score and a lower S score than the western population (NX) in both field surveys and common garden experiments, which is similar to the pattern of latitude and annual precipitation. The major evolutionary mechanisms that underlie these patterns may be local adaptation, as these two populations share a similar gene pool: (1) there was a unidirectional gene flow due to the hydrochory dispersal by the Yellow River (Liu et al., 2021a, 2021b), (2) they share a common lineage named CN (or tetraploid lineage O) (Liu et al., 2021b, 2022), and (3) some tolerance features can occur in parallel in different lineages of P. australis (Sheng et al., 2024). However, the phylogenetic background (i.e., the existence of lineage FEAU, which had a low S score but a high C score) may also contribute to the intra-specific variation in functional traits and ecological strategies (Liu et al., 2021b; Wu et al., 2022).
4.2. Phylogenetic background may limit intra-specific variation of CSR strategyAlthough Phragmites australis is regarded as one species, there is strong phylogenetic differentiation within this species (Lambertini et al., 2006; Liu et al., 2018; Wang et al., 2024). Therefore, we can test the effect of phylogenetic background on functional traits and ecological strategies using the methods based on Brownian motion models with a phylogenetic tree (Wu et al., 2022). According to these statistics, including Pagel's λ and Blomberg's K, all functional traits and CSR scores had significant phylogenetic signals. However, according to the model based on direct Mantel correlation analysis between trait and genetic distances, only LDMC showed significant phylogenetic relatedness, and S score might be marginally related to phylogenetic distance. According to the direct comparison among phylogenetic groups (lineages), significant differences in functional traits and CSR scores existed commonly among lineages, indicating a phylogenetic relatedness of these traits and scores. Therefore, the Mantel tests might be too conservative to infer the phylogenetic relatedness of plant traits.
Previous studies provided substantial evidence for relation of the high R score with range size, naturalization probability, and invasiveness (Guo et al., 2018; Liao et al., 2021; Zhang et al., 2024). The R strategy implies rapid growth ability, reproductive capacity, and dispersal ability, which aid in invasion. The wide distribution of lineages CN and EU can be attributed to their high R scores. The high R score might also boost the invasion of EU in North America. However, invaded populations (INT and DELTA) did not evolve a higher R score than their original populations (EU and MED, respectively) or their native counterpart in North America (NAT and LAND, respectively). The differentiation in the R strategy was primarily influenced by resource differences associated with varying latitudes: higher R scores in the higher-latitude groups (EU, INT, and NAT), and lower R scores in the lower-latitude groups (MED, Delta, and LAND). The higher S score of the invaded lineage (including EU and INT populations) might be one of reasons for its success in coemption with native lineages (NAT) in some brackish habitats (Bhattarai and Cronin, 2014). The unexpected finding that invasive lineages of Phragmites australis were more stress-adapted than native lineages was also confirmed recently by another common garden experiment in the Czech Republic (Guo et al., 2024). However, the effects of salt tolerance on the invasion of P. australis are debated (Eller et al., 2017). In a previous greenhouse experiment with four lineages, the S score was not a good indicator of salt tolerance (Sheng et al., 2024). Considering the conservation of the ecological strategies of the P. lineages during the invasion, pre-adaptation of ecological strategies may be an important mechanism for successful invasion (Guo et al., 2014). However, how this pre-adaptation specifically interacts with the environment of the invaded range and how it outcompetes the local population require additional study with more environmental surveys and experimental manipulations.
4.3. CSR strategy highlights consistent trait trade-offs across organs within speciesGrime's CSR strategy theory was proposed to explain vegetation classification (Grime, 1974). When discussing the concept of CSR strategy, we typically refer to plant trait associations (trade-offs and co-expressions) at the individual level. That is to say, we focus on how the organism, as a whole, responds to environmental disturbances. The approach to estimating CSR scores based on leaf traits assumes that the trade-offs among leaf characteristics are in alignment with those within other organs and among organs within the organism. Many previous studies have demonstrated that the key trait associations, such as resource economics and size spectrums, are synergetic in leaf traits and the whole-plant traits among species (Pierce et al., 2013; Reich, 2014). In our study, multivariate statistics showed that leaf traits and other functional traits collectively support resource economics and size spectrums within one species in both field and common gardens (Fig. 2). Associations of leaf traits with whole-plant growth traits were also frequently observed. These results suggest that the plant trait associations used by the StrateFy algorithm hold true across various levels of organization, from individuals and genotypes to populations and species, indicating that Pierce's (2017) CSR framework is suitable and reliable for intra-specific analyses.
In the original formulation of the CSR types (Grime, 1974), species were ordinated for the C score according to a 'competitive' or 'morphology' index, which was a composite of canopy height, lateral spread and litter accumulation. In our study, we measured the shoot height and found that the estimated C score was positively correlated with height, as expected. For the S score, species were similarly ordinated according to maximum relative growth rate in the seedling phase (Hodgson et al., 1999). Although we did not measure the maximum relative growth rate, we measured related traits such as photosynthetic rate and plant nitrogen content, which were negatively correlated with S scores in our study. No explicit R definition or ordination was attempted in the original CSR framework (Grime, 1974), which has remained problematic for a long time (Hodgson et al., 1999). Flower start and period are widely regarded as the indicator traits for R scores, but flower period is only relevant to Northern Hemisphere temperate biomes (Hodgson et al., 1999; Pierce et al., 2013). However, our study on Phragmites australis and previous studies on Arabidopsis thaliana (May et al., 2017) did not find the relationship between flower start and R score. Previous research showed that in A. thaliana the number of seeds produced is positively correlated with the R score (May et al., 2017), although this was not what we found in P. australis. The clonal features of P. australis might account for this conflict between R score and flowering traits. The positive correlations between shoot density and R score were found in 2020 and 2021, which suggest a significant role of vegetative spread in the R strategy in clonal plants.
The range of CSR scores within one widespread plant species might very large. Phragmites australis occupied more than 40% of C and S spaces in the common garden and occupied even more in the field, likely due to phenotypic plasticity. Studies have shown that Arabidopsis thaliana occupies more than 90% of S and R spaces under controlled conditions (Vasseur et al., 2018; Takou et al., 2019). For more species in the field, the variation of CSR scores was found to be generally large (Hasigerili et al., 2023). Considering the frequent presence of significant intra-specific variation, it is important to recognize that representing a species as a single point in the CSR space may not fully capture the complexity of population-level differences. Both interspecific and intraspecific studies contribute valuable insights. We cannot ignore this variation when using the CSR framework in the studies on biogeography, plant invasion, and community assembly. Intra-specific data of leaf traits for CSR calculation are needed in more plant species for future studies.
5. ConclusionsThe functional traits of Phragmites australis can be effectively decoded along plant size and economic spectrums. The CSR scores estimated from leaf traits were significantly correlated with whole-plant growth and other functional traits both in the field and under common garden conditions, indicating the suitability of the CSR framework (StrateFy) for intra-specific analyses. The differences in C and S scores between western and eastern Chinese populations of P. australis were consistent across field and common garden experiments, with the eastern population, which experiences wetter climatic conditions, exhibiting higher C scores and lower S scores. The C scores were positively correlated with latitude, whereas S scores were negatively correlated with latitude. CSR scores also exhibited significant associations with bioclimatic factors. The observed latitudinal pattern of CSR strategy indicates clinal adaptation to climate in P. australis, although the variation in CSR strategy may also be influenced by phylogenetic history. Two invasive lineages introduced from Europe to North America did not show significant changes in CSR scores. All CSR scores displayed significant phylogenetic signals, with the invasive lineage in the higher latitudes (haplotype M) exhibiting higher S scores than the native lineage. The implications of intra-specific CSR strategy for cryptic invasion pathways warrant further investigation.
AcknowledgementsThis work is supported by the National Natural Science Foundation of China (No. 32100304; 32470388; U22A20558; 32271588). We thank to Prof. Elena Hamann from Heinrich-Heine University for her contribution to manuscript revision, to Miss Xiangyan Ma for her assist in garden management, and to Miss Jingwen Wang for her help in field survey.
CRediT authorship contribution statement
Lele Liu: Writing – original draft, Visualization, Methodology, Investigation, Funding acquisition, Formal analysis, Conceptualization. Meiqi Yin: Writing – review & editing, Methodology, Investigation. Yaolin Guo: Writing – review & editing, Investigation. Huijia Song: Writing – review & editing, Investigation. Xiao Guo: Writing – review & editing, Funding acquisition, Conceptualization. Weihua Guo: Writing – review & editing, Supervision, Funding acquisition, Formal analysis, Conceptualization.
Open research statement
Data and code are available on Zenodo at https://doi.org/10.5281/zenodo.14132823.
Declaration of competing interest
The authors declare that they have no known competing financial interests or personal relationships that could have appeared to influence the work reported in this paper.
Appendix A. Supplementary data
Supplementary data to this article can be found online at https://doi.org/10.1016/j.pld.2025.06.001.
Ackerly, D., 2009. Conservatism and diversification of plant functional traits: evolutionary rates versus phylogenetic signal. Proc. Natl. Acad. Sci. U.S.A., 106: 19699-19706. DOI:10.1073/pnas.0901635106 |
Agrawal, A.A., 2020. A scale-dependent framework for trade-offs, syndromes, and specialization in organismal biology. Ecology, 101: e02924. DOI:10.1002/ecy.2924 |
Bhattarai, G.P., Cronin, J.T., 2014. Hurricane activity and the large-scale pattern of spread of an invasive plant species. PLoS One, 9: e98478. DOI:10.1371/journal.pone.0098478 |
Clark, L.V., Jasieniuk, M., 2011. polysat: an R package for polyploid microsatellite analysis. Mol. Ecol. Resour., 11: 562-566. DOI:10.1111/j.1755-0998.2011.02985.x |
Cui, X.C., Li, C.H., Qin, S.Y., et al., 2022. High-throughput sequencing-based microsatellite genotyping for polyploids to resolve allele dosage uncertainty and improve analyses of genetic diversity, structure and differentiation: a case study of the hexaploid Camellia oleifera. Mol. Ecol. Resour., 22: 199-211. DOI:10.1111/1755-0998.13469 |
Dayrell, R.L.C., Arruda, A.J., Pierce, S., et al., 2018. Ontogenetic shifts in plant ecological strategies. Funct. Ecol., 32: 2730-2741. DOI:10.1111/1365-2435.13221 |
Díaz, S., Kattge, J., Cornelissen, J.H.C., et al., 2016. The global spectrum of plant form and function. Nature, 529: 167-171. DOI:10.1038/nature16489 |
Eller, F., Skálová, H., Caplan, J.S., et al., 2017. Cosmopolitan species as models for ecophysiological responses to global change: the common reed Phragmites australis. Front. Plant Sci., 8: 1833. DOI:10.3389/fpls.2017.01833 |
Estarague, A., Vasseur, F., Sartori, K., et al., 2022. Into the range: a latitudinal gradient or a center-margins differentiation of ecological strategies in Arabidopsis thaliana?. Ann. Bot., 129: 343-356. DOI:10.1093/aob/mcab149 |
Grime, J., 1974. Vegetation classification by reference to strategies. Nature, 250: 26-31. DOI:10.1038/250026a0 |
Grime, J.P., 1977. Evidence for the existence of three primary strategies in plants and its relevance to ecological and evolutionary theory. Am. Nat., 111: 1169-1194. DOI:10.1086/283244 |
Grime, J.P., Thompson, K., Hunt, R., et al., 1997. Integrated screening validates primary axes of specialisation in plants. Oikos, 79: 259-281. DOI:10.2307/3546011 |
Guo, W.Y., Lambertini, C., Nguyen, L.X., et al., 2014. Preadaptation and post-introduction evolution facilitate the invasion of Phragmites australis in North America. Ecol. Evol., 4: 4567-4577. DOI:10.1002/ece3.1286 |
Guo, W.Y., van Kleunen, M., Winter, M., et al., 2018. The role of adaptive strategies in plant naturalization. Ecol. Lett., 21: 1380-1389. DOI:10.1111/ele.13104 |
Guo, W.Y., van Kleunen, M., Pierce, S., et al., 2019. Domestic gardens play a dominant role in selecting alien species with adaptive strategies that facilitate naturalization. Global Ecol. Biogeogr., 28: 628-639. DOI:10.1111/geb.12882 |
Guo, W., Čuda, J., Skálová, H., et al., 2024. Climate and genome size shape the intraspecific variation in ecological adaptive strategies of a cosmopolitan grass species. Funct. Ecol., 9: 2054-2066. DOI:10.1111/1365-2435.14613 |
Hasigerili, K., Guo, M., Zheng, M., et al., 2023. Intraspecific variations of adaptive strategies of native and invasive plant species along an elevational gradient. Flora, 304: 152297. DOI:10.1016/j.flora.2023.152297 |
Hijmans, R., 2025. Terra: Spatial data analysis. R Package Version 1, 8–29. https://CRAN.R-project.org/package=terra.
|
Hijmans, R.J., Barbosa, M., Ghosh, A., et al., 2024. https://CRAN.R-project.org/package=geodata.
|
Hodgson, J.G., Wilson, P.J., Hunt, R., et al., 1999. Allocating C-S-R plant functional types: a soft approach to a hard problem. Oikos, 85: 282-294. DOI:10.2307/3546494 |
Lambertini, C., Gustafsson, M.H.G., Frydenberg, J., et al., 2006. A phylogeographic study of the cosmopolitan genus Phragmites (Poaceae) based on AFLPs. Plant Syst. Evol., 258: 161-182. DOI:10.1007/s00606-006-0412-2 |
Lambertini, C., Sorrell, B.K., Riis, T., et al., 2012. Exploring the borders of European Phragmites within a cosmopolitan genus. AoB Plants, 2012: pls020. |
Laughlin, D.C., 2024. Unifying functional and population ecology to test the adaptive value of traits. Biol. Rev., 99: 1976-1991. DOI:10.1111/brv.13107 |
Liao, H., Li, D., Zhou, T., et al., 2021. The role of functional strategies in global plant distribution. Ecography, 44: 493-503. DOI:10.1111/ecog.05476 |
Liu, L., Pei, C., Liu, S., et al., 2018. Genetic and epigenetic changes during the invasion of a cosmopolitan species (Phragmites australis). Ecol. Evol., 8: 6615-6624. DOI:10.1002/ece3.4144 |
Liu, L., Wang, J., Ma, X., et al., 2021a. Impacts of the Yellow River and Qingtongxia dams on genetic diversity of Phragmites australis in Ningxia Plain, China. Aquat. Bot., 169: 103341. DOI:10.1016/j.aquabot.2020.103341 |
Liu, L., Yin, M., Guo, X., et al., 2021b. The river shapes the genetic diversity of common reed in the Yellow River Delta via hydrochory dispersal and habitat selection. Sci. Total Environ., 764: 144382. DOI:10.1016/j.scitotenv.2020.144382 |
Liu, L., Yin, M., Guo, X., et al., 2022. Cryptic lineages and potential introgression in a mixed-ploidy species (Phragmites australis) across temperate China. J. Syst. Evol., 60: 398-410. DOI:10.1111/jse.12672 |
Liu, L., Guo, Y., Wu, Y., et al., 2024. Revealing biogeographic patterns in genetic diversity of native and invasive plants and their association with soil community diversity in the Chinese coast. Oikos, 2024: e10116. DOI:10.1111/oik.10116 |
May, R.L., Warner, S., Wingler, A., 2017. Classification of intra-specific variation in plant functional strategies reveals adaptation to climate. Ann. Bot., 119: 1343-1352. DOI:10.1093/aob/mcx031 |
McIntyre, P.J., Strauss, S.Y., 2014. Phenotypic and transgenerational plasticity promote local adaptation to sun and shade environments. Evol. Ecol., 28: 229-246. DOI:10.1007/s10682-013-9670-y |
Mendiburu, de, agricolae, F., 2023. Statistical procedures for Agricultural research.
R Package Version 1, 3–7. https://CRAN.R-project.org/package=agricolae.
|
Orme, D., Freckleton, R., Thomas, G., et al., 2023. https://CRAN.R-project.org/package=caper.
|
Paradis, E., Schliep, K., 2019. Ape 5.0: an environment for modern phylogenetics and evolutionary analyses in R. Bioinformatics, 35: 526-528. DOI:10.1093/bioinformatics/bty633 |
Pérez-Harguindeguy, N., Díaz, S., Garnier, E., et al., 2013. New handbook for standardised measurement of plant functional traits worldwide. Aust. J. Bot., 61: 167-234. DOI:10.1071/BT12225 |
Pierce, S., Brusa, G., Vagge, I., et al., 2013. Allocating CSR plant functional types: the use of leaf economics and size traits to classify woody and herbaceous vascular plants. Funct. Ecol., 27: 1002-1010. DOI:10.1111/1365-2435.12095 |
Pierce, S., Negreiros, D., Cerabolini, B.E.L., et al., 2017. A global method for calculating plant CSR ecological strategies applied across biomes world-wide. Funct. Ecol., 31: 444-457. DOI:10.1111/1365-2435.12722 |
Pyšek, P., Skálová, H., Čuda, J., et al., 2018. Small genome separates native and invasive populations in an ecologically important cosmopolitan grass. Ecology, 99: 79-90. DOI:10.1002/ecy.2068 |
R Core Team, 2025. R: A Language and Environment for Statistical Computing. R Foundation for Statistical Computing, Vienna, Austria. https://www.R-project.org/.
|
Reich, P.B., 2014. The world-wide "fast-slow" plant economics spectrum: a traits manifesto. J. Ecol., 102: 275-301. DOI:10.1111/1365-2745.12211 |
Ren, L., Guo, X., Liu, S., et al., 2020. Intraspecific variation in Phragmites australis: clinal adaption of functional traits and phenotypic plasticity vary with latitude of origin. J. Ecol., 108: 2531-2543. DOI:10.1111/1365-2745.13401 |
Ren, L., Guo, X., Sorrell, B.K., et al., 2025. Responses to cold temperature determine clinal patterns of photosynthetic acclimation of a cosmopolitan grass genus and challenge the concept of quantifying phenotypic plasticity. Funct. Ecol., 39: 583-595. DOI:10.1111/1365-2435.14734 |
Revell, L.J., 2012. phytools: an R package for phylogenetic comparative biology (and other things). Methods Ecol. Evol., 3: 217-223. DOI:10.1111/j.2041-210X.2011.00169.x |
Sheng, W., Liu, L., Wu, Y., et al., 2024. Exploring salt tolerance and indicator traits across four temperate lineages of the common wetland plant, Phragmites australis. Sci. Total Environ., 912: 169100. DOI:10.1016/j.scitotenv.2023.169100 |
Song, H., Guo, X., Yu, X., et al., 2021a. Is there evidence of local adaptation of Phragmites australis to water level gradients and fluctuation frequencies?. Sci. Total Environ., 756: 144065. DOI:10.1016/j.scitotenv.2020.144065 |
Song, H., Jespersen, E., Guo, X., et al., 2021b. Differences in relative air humidity affect responses to soil salinity in freshwater and salt marsh populations of the dominant grass species Phragmites australis. Hydrobiologia (The Hague), 848: 3353-3369. DOI:10.1007/s10750-020-04285-z |
Stelkens, R.B., Jaffuel, G., Escher, M., et al., 2012. Genetic and phenotypic population divergence on a microgeographic scale in brown trout. Mol. Ecol., 21: 2896-2915. DOI:10.1111/j.1365-294X.2012.05581.x |
Takou, M., Wieters, B., Kopriva, S., et al., 2019. Linking genes with ecological strategies in Arabidopsis thaliana. J. Exp. Bot., 70: 1141-1151. DOI:10.1093/jxb/ery447 |
Vasseur, F., Sartori, K., Baron, E., et al., 2018. Climate as a driver of adaptive variations in ecological strategies in Arabidopsis thaliana. Ann. Bot., 122: 935-945. |
Wang, C., Liu, L., Yin, M., et al., 2024. Chromosome-level genome assemblies reveal genome evolution of an invasive plant Phragmites australis. Commun. Biol., 7: 1-14. |
Williams, J., Lambert, A.M., Long, R., et al., 2019. Does hybrid Phragmites australis differ from native and introduced lineages in reproductive, genetic, and morphological traits?. Am. J. Bot., 106: 29-41. DOI:10.1002/ajb2.1217 |
Wu, Y., Liu, L., Yin, M., et al., 2022. Phylogenetic relationship and soil salinity shape intraspecific trait variability of Phragmites australis in the Yellow River Delta. Front. Mar. Sci., 9: 980695. DOI:10.3389/fmars.2022.980695 |
Zhang, Y., Meiners, S.J., Meng, Y., et al., 2024. Temporal dynamics of Grime's CSR strategies in plant communities during 60 years of succession. Ecol. Lett., 27: e14446. DOI:10.1111/ele.14446 |
Zhou, D., Ni, Y., Yu, X., et al., 2021. Trait-based adaptability of Phragmites australis to the effects of soil water and salinity in the Yellow River Delta. Ecol. Evol., 11: 11352-11361. DOI:10.1002/ece3.7925 |



