b. School of Biosciences, University of Nottingham, Sutton Bonington, LE12 5RD, United Kingdom;
c. State Key Laboratory of Soil Pollution Control and Safety, Southern University of Science and Technology, Shenzhen 518055, China;
d. Guangdong Provincial Key Laboratory of Soil and Groundwater Pollution Control, School of Environmental Science and Engineering, Southern University of Science and Technology, Shenzhen 518055, China;
e. College of Life Science, Northwest Normal University, Lanzhou, China;
f. College of Ecology and Environment, Zhengzhou University, Zhengzhou 450001, China;
g. Department of Physiology and Cell Biology, Leibniz Institute for Plant Genetics and Crop Plant Research (IPK), OT Gatersleben, Seeland 06466, Germany;
h. College of Resources and Environmental Engineering, Ludong University, Yantai 264025, China;
i. Henan Province Engineering Research Center of Crop Synthetic Biology, Henan Agricultural University, Zhengzhou 450046, China
Soil compaction is prevalent in both natural and managed ecosystems. It is mainly driven by the widespread use of modern agricultural and forest machinery (Nawaz et al., 2013; Shaheb et al., 2021; Bello–Bello et al., 2022; Keller and Or, 2022; Nazari et al., 2023), natural soil settling (Mo et al., 2024), and animal trampling (Herbin et al., 2011; Bello–Bello et al., 2022). Soil compaction increases soil bulk density (soil dry weight per unit soil volume) and decreases soil porosity, which limits the transport of water, nutrients, and gases through the soil (Fujikawa and Miyazaki, 2005; Hamza and Anderson, 2005; Frene et al., 2024; Long et al., 2024). Moreover, soil compaction increases the mechanical resistance to root penetration (Bello–Bello et al., 2022). Decreased gas transport capacity as well as increased soil mechanical resistance reduce root growth rate and biomass (Freschet et al., 2015; Zhao et al., 2024), thereby limiting the roots access to water and nutrients and ultimately reducing plant growth and yield (Tracy et al., 2011; Berisso et al., 2012; Colombi and Keller, 2019; Pandey et al., 2021).
Root nutrient absorption is essential for plant growth and development (Ma et al., 2018; Cao et al., 2023; Weigelt et al., 2023; Hou et al., 2024; Wang et al., 2024a; Zheng et al., 2025) and is primarily conducted by the lateral roots (Zarebanadkouki et al., 2013; Ahmed et al., 2016, 2018; Kong et al., 2021; Wang et al., 2024b). Previous studies have demonstrated that soil compaction induces the production of thicker roots at the growing root apex (i.e. root thickening) (Chimungu et al., 2015; Colombi et al., 2019; Pandey et al., 2021; Huang et al., 2022), largely due to the ethylene accumulation near root tips arising from its limited diffusion in compacted soils. Ethylene, in coordination with other hormones, such as indole-3-acetic acid (IAA) and abscisic acid (ABA), promotes radial expansion of cortical cells and ultimately root thickening (Pandey et al., 2021; Huang et al., 2022; Vanhees et al., 2022; Pandey and Bennett, 2024).
Thickening of roots under soil compaction is driven by changes in root anatomical structures (Schneider et al., 2021). The cortex and stele are two key components responsible for resource absorption and transport, respectively (McCormack et al., 2017; Freschet et al., 2021; Cao et al., 2025; Wu et al., 2025). However, whether the cortex and stele respond independently or in a coordinated manner to soil compaction remains unclear. Uncovering these patterns is important for understanding the functional coordination of the root traits and how plants acclimate their root anatomy to tolerate soil compaction. Such insights are also valuable for improving crop performance under soil compaction through breeding strategies.
Mounting evidence shows substantial interspecific variation, even over100-fold, in lateral root diameters across plant species (Li et al., 2017; Wen et al., 2019; Zhou et al., 2021, 2022; Zhang et al., 2023, 2024). Yet, most prior studies have focused on the responses of individual or just few plant species to soil compaction (Vanhees et al., 2022; Pandey et al., 2021; Huang et al., 2022), leaving unresolved whether plant species with varying root diameters exhibit similar or contrasting responses. Specifically, it remains unknown whether thick and thin lateral roots exhibit different magnitudes or directions of root anatomical change (e.g., in cortex, stele, and xylem vessels) under compacted conditions.
Notably, although root biomass, a key trait determining root nutrient acquisition (Han et al., 2024a), is reduced in significantly compacted soils (Freschet et al., 2015; Zhao et al., 2024), we still know little about how the response of root biomass is coordinated with the aforementioned root morphological (e.g., lateral root diameter) and anatomical (e.g., cortex/stele) traits, and how this coordination eventually impacts whole plant growth. This knowledge gap further complicates our understanding of plant adaptive strategies to soil compaction.
Root respiration is a critical metabolic process that breaks down organic matter to supply energy (ATP), driving nutrient uptake by roots (Han and Zhu, 2021; Liang et al., 2023; Han et al., 2024b). Root growth respiration was greater in compacted soil (Colombi et al., 2019), whereas how root maintenance respiration responds to soil compaction, and how such response varies with lateral root diameter remains unknown. Moreover, there is still a knowledge gap in whether changes in root anatomical traits under soil compaction are associated with a change in root maintenance respiration rate.
Here, we systematically investigate how lateral roots of 10 common herbaceous species spanning a broad range of lateral root diameters respond to soil compaction. These plants were grown in soils with high and low bulk density. A suite of morphological, anatomical, and physiological root traits were measured to test the following hypotheses.
1) Thicker lateral roots exhibit more pronounced responses of root cortical and stele size to soil compaction, because they contain more cells capable of releasing ethylene per unit length and therefore potentially amplify thickening of root cortex and stele.
2) Cortical cell walls and xylem vessel walls in thicker lateral roots become thicker to a greater extent in compacted soils to overcome the mechanical resistance caused by soil compaction.
3) Thicker lateral roots have greater reductions in root respiration rate under soil compaction due to limited oxygen availability, as their greater number of living cells increases the oxygen demand for respiration rate.
2. Materials and methods 2.1. Plant species and growth conditionsWe selected 10 common herbaceous plant species (see Table S1 for a detailed overview of species traits) with wide variation in lateral root diameter (Table S2). Six species belong to the Poaceae family: Foxtail millet (Setaria italica), green bristlegrass (Setaria viridis), sorghum (Sorghum bicolor), wheat (Triticum aestivum), barley (Hordeum vulgare), and maize (Zea mays). Two species were from the Fabaceae family: mungbean (Vigna radiata) and soybean (Glycine max), and two other species from the Allium genus: leek (Allium tuberosum) and garlic (Allium sativum).
These plant species were grown in pots, each with a volume of approximately 720 cm3 (10 cm top diameter, 7 cm bottom diameter, and 12.5 cm height). The growth medium in each pot was composed of 33.3% (v/v) sandy soil, 33.3% nutrient-rich soil, 16.7% sand, and 16.7% vermiculite. The sandy soil was collected from the top 20 cm of farmland at the Maozhuang Science and Education Base in Henan Agricultural University (34°87′N, 113°63′E). The nutrient-rich soil, sand, and vermiculite were bought from Zhengzhou Yixing Agricultural Machinery Co., Ltd, Zhengzhou China. The mixed growth substrate had an organic carbon content of 3.64 g C kg−1 and total nitrogen content of 0.22 g N kg−1. The composite soils were either left uncompacted (soil bulk density of 1.0 g cm−3) or compacted (soil bulk density of 1.4 g cm−3). For uncompacted pots, the soil was evenly distributed, shaken, and gently pressed. While for compacted pots, the soil was added by a depth of 2-cm then compressed with a plastic hammer; each layer was slightly abraded on the surface before adding the next layer of soil to ensure homogeneous packing (Colombi et al., 2019). These steps were repeated to ensure an equal soil depth and soil volume (720 cm3) as those of the uncompacted soils. The plant species were cultivated in a rain shelter with natural lighting at the third residential area of Henan Agricultural University (34°80′N, 113°65′E). Compared with greenhouse environments with controlled air temperature and humility, the shelter allowed natural variations in temperature and humidity, better simulating field conditions.
Approximately 200 seeds of each species were selected and pre-germinated in darkness at 21 ℃ for 48–72 h, depending on species-specific germination requirements. Seeds emerging primary roots (approximately 2 mm in length) were chosen and transplanted into soils on May 28, 2023. Each pot received 4–12 seeds, depending on seed size, with conical pits (approximately 5 mm in diameter and 10 mm in depth) prepared for uniform placement. The embryonic roots were oriented downward during transplanting. The seedlings were later thinned to a fixed number of individuals per pot (Table S1) according to plant size (Wen et al., 2019). Each treatment consisted of five replicates, and the pots were arranged in a completely randomized design. Plants were watered with 150 mL at 18:00 every day. During plant growth period, average daytime and nighttime temperatures in the shelter were 34 ℃ and 22 ℃, respectively, and average humidity was about 60%. After 80 days of growth, mature plants were harvested on August 15, 2023.
Due to high summer temperatures, garlic failed to grow under shelter conditions. Therefore, garlic bulbs were cultivated in pots in a controlled growth chamber. Initially, seedlings were grown for two weeks under a 14-h light/10-h dark cycle at 21 ℃/18 ℃ (day/night), with 60% relative humidity and PAR of 204 μmol m−2 s−1. After another 14 days, we adjusted the chamber conditions to match average natural light intensity and temperature as used in the shelter experiment. The garlic plants were harvested after 82 days of growth.
2.2. Measurements of root traitsTo evaluate the acclimatize strategies of plants in response to soil compaction, we measured a suit of root traits (Table S2), including morphological, physiological, and anatomical traits of lateral roots. Morphological and anatomical traits included average root diameter, cortical thickness, stele radius, cortical cell wall thickness, cortical cell file number, cortical cell size, the ratio of cortical cell wall thickness to cortical cell size, endodermis cell wall thickness, endodermis cell size, xylem vessel diameter, and xylem vessel wall thickness. Root respiration, was measured as a root physiological trait, and the rate was expressed both per unit root length (length-based root respiration rate) and per unit root dry mass (mass-based root respiration rate). We also quantified the response of each trait to soil compaction by calculating the difference of the trait value and response ratios (see Data analyses section) between compacted and uncompacted soil.
Root anatomical traits were measured for the first-order roots, i.e., the most terminal root order in a root branch (Pregitzer et al., 2002). For each plant species, six first-order roots were sampled from each pot, totaling 30 first-order roots per plant species. These root segments were carefully rinsed with deionized water and sequentially dehydrated in 70%, 85%, and 95% ethanol solutions for 3–4 h each, followed by anhydrous ethanol for an hour (repeated twice). Dehydrated root segments were then incubated in a xylene-paraffin mixture (1:2 [v/v]) at 50 ℃ for 6 h and subsequently transferred to a paraffin solution at 58 ℃ for another 6 h (repeated twice). The embedded root segments were sliced into sections approximately 7 μm thick using a microtome (YD-315, YIDI Medical Appliance CO., LTD, China). The root cross-sections were then stained with safranine-fast green (Guo et al., 2008) and photographed by an optical microscope (BM2000, Ningbo Yongxin Optics CO., LTD., China). We used 40* and 20* stereomicroscope for measurements of root cortical and xylem vessel traits of the 10 plant species. Then, the ImageJ (v.1.53t, NIH Image, Bethesda, MD, USA) software was used to quantify anatomical traits including cortical thickness, cortical cell wall thickness, cortical cell size, endodermis cell wall thickness, endodermis cell size, stele diameter, xylem vessel diameter, and xylem vessel wall thickness. Xylem vessel diameter (VD) was calculated using hydraulically weighted xylem vessel diameter following Poorter et al. (2010):
| V D=\left(\frac{1}{n} \times \sum\limits_{i=1}^n d_i^4\right)^{\frac{1}{4}} | (1) |
where
The cellular traits of the cortical and the stele tissue were measured in the six root cross-sections of each replicate for a species. For the cell size and cell wall thickness of the cortical tissue, we randomly selected three cells at least in each root cross-section.
Root respiration rate was determined by employing a closed static chamber system paired with an infrared gas analyzer (GMP343; Vaisala, Vantaa, Finland) following the method described by Makita et al. (2009) and Chen et al. (2025). Briefly, plant lateral roots were first gently washed with tap water and distilled water to remove soil residues and impurities. A cluster of intact, unwounded lateral roots was selected, swiftly cut off, and immediately placed into the Vaisala CO2 gas measurement chamber (volume: 0.144 L). The CO2 concentration and temperature were recorded for 16 min using a data logger (NR-1000, Keyence, Japan). The data from the first 5 min and the last minute of each measurement were excluded to minimize the impact of air disturbances caused by opening the chamber, and only the middle 10 min of data were used to calculate the respiration rate of lateral roots. The respiration rate was expressed as the CO2 release rate per unit dry weight and per unit length of the lateral roots.
To account for variability in soil temperature during measurement, root respiration rates were adjusted following the method described by Tjoelker et al. (2001). The formula used for this adjustment was as follows:
| \begin{aligned} { Root\ respiration }= & \frac{1}{n} \times \sum\limits_{i=1}^n\left(\frac{C_{\mathrm{CO}_2}\left(t_i+\Delta t\right)-C_{\mathrm{CO}_2}\left(t_i\right)}{\Delta t}\right) \\ & \times \frac{V_s}{22.4} \times \frac{273.2}{273.2+T} \times \frac{1000}{W} \end{aligned} | (2) |
where,
Root biomass of each plant species was calculated as the sum of dry weight of roots used for root anatomical measurement and the remining root mass. Dry weight of the roots used for anatomical measurement was calculated using the method below. Briefly, before root anatomical measurement, the root segments were scanned, and root length were calculated using flatbed scanner (Epson Perfection v.700 Pro, Nagano, Japan). We selected root segments with similar morphology to those used for anatomical measurement, measured their length and dry weight (after drying at 60 ℃ for 48 h), and calculated a conversion factor of root dry weight per unit root length. This factor was then applied to estimate the dry weight of the anatomically analyzed roots based on their scanned length. In Fabaceae and Allium, no secondary growth was observed. There were no obvious axial roots in the 10 plant species, and all roots in the species were considered as lateral roots, and the resulting root dry weight was treated as lateral root biomass. Meanwhile, shoot biomass of each species was measured after being dried to a constant weight at 60 ℃ for 48 h.
2.4. Data analysesDifferences in root anatomical traits and root respiration rate between uncompacted and compacted soils for each species were analyzed using independent t-test. Also, we employed a two-way ANOVA with species and soil compaction as the two factors to examine the effects of species, soil compaction, and their interactions on plant traits. Relationships among root anatomical traits and between root anatomical traits and root respiration rate were explored using linear regression. To quantify the response of soil compaction by each root trait, we calculated the change of the trait values between high and low soil bulk density. The response ratio was also calculated by dividing the trait value at high bulk density with the trait value at low bulk density. We further assessed how these anatomical trait changes were related to the root diameter and to the changes in other root anatomical traits. Finally, we assessed whether changes in root anatomical traits due to soil compaction were related to the change in root respiration rate.
Following the method used in previous studies (Li et al., 2015; Wu et al., 2025), we explored the relationships among three trait groups: root biomass, root respiration rate, and root anatomical structures (including root diameter). Briefly, we conducted principal component analysis (PCA) for these traits. We then created a sampling distribution using 10,000 permutations of PC1 scores from each above PCA to test the independence of these three groups of variables (Li et al., 2015; Wu et al., 2025). The above analyses were conducted on plant species under compacted, uncompacted, and combined soil treatments, respectively. We further explored whether relationships among the responses of these traits to compaction also existed. Given that root respiration rate showed little response to soil compaction (see the Results section), this latter analysis included only the responses of root biomass and root anatomical structures. All data were log10-transformed and standardized before PCA.
All statistical analyses were conducted in R (v.4.2.0; R Development Core Team, Vienna, Austria). Statistical significance was set at p < 0.05, and 0.05 < p < 0.1 was regarded as marginal significant.
3. Results 3.1. Variations in root diameter, cortical and xylem vessel traits across species and between soil bulk densitiesLateral root diameter varied about 4.5-fold across the ten herbaceous species, spanning from 0.15 mm in millet to 0.66 mm in garlic (Fig. 1a and Table S2). Cortical thickness, cortical cell wall thickness, stele radius, cortical cell size, cortical cell file number, cortical cell wall thickness, endodermis cell size, and endodermis cell wall thickness all tended to be larger in thicker lateral roots, regardless of compacted or uncompacted soils (Fig. 1a–h and Table S3). All of these traits, with the exception of cortical thickness, show a negative allometric relationship to root diameter. Cortical thickness demonstrates an isometric relationship to root diameter (Fig. S2).
|
| Fig. 1 Differences of lateral root anatomical structures between uncompacted and compacted soils in 10 plant species. Panels a–h: root diameter (a), cortical thickness (b), stele radius (c), cortical cell size (d), cortical cell file number (e), cortical cell wall thickness (f), endodermis cell size (g), and endodermis cell wall thickness (h), respectively. Species are arranged according to lateral root diameter in uncompacted soil. Abbreviations for the species are listed in Table S2. ***, p < 0.001; **, p < 0.01; *, p < 0.05. |
Lateral root diameter, cortical thickness, and cortical cell size significantly increased under soil compaction in all species except Vigna radiata (Fig. 1a and b). The magnitudes of these increases were positively correlated with root diameter, indicating that the impact of soil compaction on root diameter, cortical thickness, and cortical cell size were more pronounced in species with thicker lateral roots (Fig. 2a–c). In addition, changes in lateral root diameter, cortical thickness, and cortical cell size due to soil compaction were positively correlated with each other (Fig. 2d–f). In contrast, stele radius, cortical cell file number, cortical cell wall thickness, endodermis cell size, and endodermis cell wall thickness showed no response to soil compaction (Fig. 1c and e–h).
|
| Fig. 2 Relationships among changes of root cortical traits after soil compaction across 10 species in this study. **, p < 0.01; *, p < 0.05. |
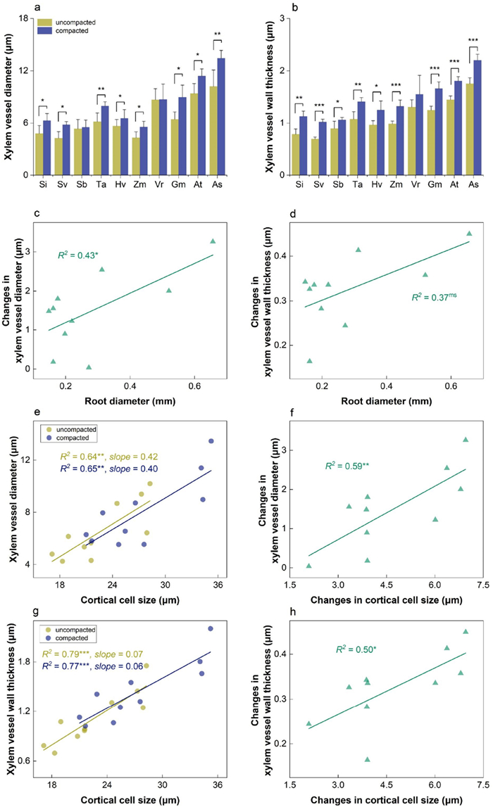
Both xylem vessel diameter and xylem vessel wall thickness except Vigna radiata increased significantly in response to soil compaction (Fig. 3a and b), and such increments of xylem vessel diameter and xylem vessel wall thickness were positively correlated with root diameter (Fig. 3c and d). Both xylem vessel diameter and xylem vessel wall thickness showed a negative allometric relationship to root diameter (Fig. S2). Xylem vessel diameter and xylem vessel wall thickness were positively correlated with cortical cell size under both low and high soil bulk density (Fig. 3e–g). In addition, both changes in the xylem vessel diameter and xylem vessel wall thickness after soil compaction were positively correlated with the change in cortical cell size (Fig. 3f–h).
|
| Fig. 3 Changes of xylem vessel traits after soil compaction in relation to root diameter and cortical cell size across 10 species. Xylem vessel diameter (e) and wall thickness (g) were positively related to cortical cell size, with no significant difference in slopes between compacted and uncompacted soils by Analysis of Covariance (panel e: F = 0.0003, p > 0.05; panel g: F = 0.14, p > 0.05). Species are arranged according to lateral root diameter in the uncompacted soil. Abbreviations for the species are listed in Table S2. ***, p < 0.001; **, p < 0.01; *, p < 0.05; ms, 0.05 < p < 0.1. |
In each of the soil bulk density treatments, length-based root respiration rates were positively correlated with lateral root diameter, cortical thickness, cortical cell file number, and cortical cell size (Fig. 4a–d). In contrast, mass-based root respiration rates were negatively related to lateral root diameter, cortical thickness, cortical cell size, and xylem vessel thickness (Fig. 4e–h) in both low and high soil bulk density. There was little difference of length-based root respiration rate and mass-based root respiration rate (except Setaria viridis and Triticum aestivum) between low and high soil bulk density (Fig. 5a and b). However, a significant decrease in the ratio of cortical cell wall thickness to cortical cell size (CWT/CCS) was observed under soil compaction except Vigna radiata with no response to this treatment (Fig. 6a), and the changes of CWT/CCS was negatively correlated with lateral root diameter (Fig. 6b). In addition, the changes of CWT/CCS after soil compaction were negatively correlated with the changes of both cortical cell size and xylem vessel wall thickness (Fig. 6c and d).
|
| Fig. 4 Relationships between root respiration rate and root cortical and xylem vessel traits across 10 species in this study. Length-based root respiration rate, root respiration rate per unit lateral root length; Mass-based root respiration rate, root respiration rate per unit lateral root dry mass. ***, p < 0.001; **, p < 0.01; *, p < 0.05. |
|
| Fig. 5 Differences of lateral root respiration rate between uncompacted and compacted soil in 10 plant species. Species are arranged according to lateral root diameter in the uncompacted soil. Length-based root respiration rate, root respiration rate per unit lateral root length; Mass-based root respiration rate, root respiration rate per unit lateral root dry mass. Abbreviations for the species are listed in Table S2. *, p < 0.05. |
|
| Fig. 6 The change of CWT/CCS (cortical cell wall thickness: cortical cell size) after soil compaction in relation to lateral root diameter and changes in cortical cell size and in xylem vessel wall thickness across 10 species. Species are arranged according to lateral root diameter in the uncompacted soil. CWT/CCS, the ratio of cortical cell wall thickness to cortical cell size. Abbreviations for the species are listed in Table S2. **, p < 0.01; *, p < 0.05; ms, 0.05 < p < 0.1. |
The PCA results for root biomass, anatomical structures, and respiration rate (Fig. 7) showed that the first two principal components (PC1 and PC2) explained 83.7% of the total variation (PC1: 77.3%; PC2: 9.3%). PC1 was strongly associated with root morphological and anatomical traits (RD, CT, SR, CCFN, CWT, ECS, VD, and VWT), and PC2 primarily reflected variation in root biomass (RB) (Table S5). Permutation analysis showed that root respiration rate was coupled with root anatomical structures (r = 0.87, p = 0), and both were independent of root biomass (r = 0.13, p = 0.59; r = −0.13, p = 0.59) (Fig. S4). This independence was also evident when examining their responses to soil compaction (Fig. S11).
|
| Fig. 7 Principal component analysis highlighting independent root traits over 10 species under the compacted and uncompacted soil. Trait abbreviations: RB, root biomass; RD, root diameter; CT, cortical thickness; CCS, cortical cell size; CWT, cortical cell wall thickness; CWT/CCS, the ratio of cortical cell wall thickness to cortical cell size; CCFN, cortical cell file number; ECS, endodermis cell size; ECWT, endodermis cell wall thickness; SR, stele radius; VD, xylem vessel diameter; VWT, xylem vessel wall thickness; RRL, length-based root respiration rate; RRW, mass-based root respiration rate. |
Over half of the studied plant species showed significant decreases in root biomass, shoot biomass, and total plant biomass under soil compaction, while the root : shoot ratio unchanged (except for Allium tuberosum) in compacted soil (Fig. S1). Under both low and high soil bulk density, shoot biomass and total plant biomass were positively correlated with root biomass (Fig. 8a and b). In addition, changes in shoot biomass and total plant biomass in response to soil compaction were both positively correlated with changes in root biomass (Fig. 8c and d).
|
| Fig. 8 Relationships between shoot and root biomass over 10 plant species in compacted and uncompacted soil. **, p < 0.01. |
To evaluate the correlations between plant growth and root anatomical structures, we performed principal component analysis on the changes in root anatomical structures and plant biomass (shoot biomass, total plant biomass, and root biomass) under soil compaction. The first two principal components (PC1 and PC2) explained 87.5% of the total variation (PC1: 55%; PC2: 32.5%) (Fig. S12). Permutation analysis showed that plant biomass was independent of root anatomical structures (p = 0.89) (Fig. S13).
4. Discussion 4.1. Divergent and convergent responses of root anatomical structures to soil compactionRoot thickening is a common response to soil compaction (Chimungu et al., 2015; Colombi et al., 2019). Our results show that the degree of this root thickening is related to lateral root diameter, i.e., species with thicker lateral roots exhibited greater increases in root diameter following compaction (Figs. 1a and 2a). Importantly, we found both divergent and convergent root anatomical responses to soil compaction. Briefly, root cortical thickness increased significantly in compacted soils, and this increase was greater in species with thicker lateral roots, whereas stele radius showed no significant response to compaction (Fig. 1b and c; Fig. 2b). This indicates that root thickening under compaction is driven mainly by thickening of the cortical tissue rather than changes in the stele, which is corroborated by previous studies (Chimungu et al., 2015; Colombi et al., 2019; Pandey et al., 2021; Huang et al., 2022) (Fig. 2d).
It is worth noting that the thickening of the cortical tissue is due to the increased cortical cell size (Pandey et al., 2021; Huang et al., 2022) (Figs. 1d and 2c) rather than changes in cortical cell file number or cell wall thickness (Fig. 1e and f). Recent studies have elucidated the physiological mechanism of cortical cell enlargement under soil compaction, e.g., root-released ethylene accumulates in the rhizosphere due to impeded diffusion in compacted soil, upregulating abscisic acid synthesis and ultimately inducing cortical cell enlargement (Pandey et al., 2021; Huang et al., 2022). Together, the greater thickening of root diameter in species bearing thicker lateral roots results from much thicker cortical thickness and essentially from much larger cortical cell size after soil compaction (Fig. 2e and f).
It is interesting to learn why stele radius hardly responds to soil compaction as a thicker stele is better for plant adaptation to compacted soil (Meijer et al., 2024). We also noted that endodermis cell size remained unchanged under soil compaction (Fig. 1g and h), which could be due to physical restriction imposed by the Casparian strip and suberin lamellae within endodermal cell walls (Cui et al., 2020). The lignin-rich Casparian strip is known to be tightly connected to the plasma membrane and may restrict endodermal cell expansion (Kalmbach et al., 2017; Song et al., 2023; Gao et al., 2024). Therefore, the Casparian strip and suberin lamellae may serve as mechanical resistant barriers that limit both endodermal cell and stele expansion under compaction (Fig. 1h). For example, if the stele was to enlarge under soil compaction, it would likely require concurrent outward displacement and expansion of endodermal cells. Consequently, the observed lack of such stele expansion could support the idea that endodermal structure is critical in constraining stele enlargement.
Despite the stable stele radius, we observed significant increases in both xylem vessel diameter and xylem vessel wall thickness under soil compaction (Fig. 3a and b), particularly in species with thicker lateral roots (Fig. 3c and d), primarily driven by allometric relationships (Fig. S2). This result is surprising considering the reduced water infiltration and availability in compacted soils observed in previous studies (Soane et al., 1994; Goldberg-Yehuda et al., 2024). Under such conditions, thinner xylem vessels would be expected to minimize the risk of embolism and maintain the water transport safety (Olson and Rosell, 2012; Gleason et al., 2015). The increasing xylem vessels diameter and wall thickness upon soil compaction that we observed (Fig. 3) suggest that these structural changes may not be aimed at improving water transport. Instead, they may contribute to mechanical reinforcement for root growth. In compacted soils, roots are faced with increased mechanical resistance, and larger-sized and wall-thickened xylem vessels could enhance root stiffness (Mao et al., 2023), as such facilitating root penetration and resource foraging under mechanical constraints.
We also found that cortical cell size had strong coordination with xylem vessel diameter and xylem vessel wall thickness, and such relationship also persisted when examining changes of these traits under soil compaction (Fig. 3e–h). These results suggest that these size-related cellular traits (cortical cells and xylem vessels) could be governed by the same or interrelated physiological mechanisms, e.g., they could be derived from larger-sized meristems (Corner, 1949; Leishman et al., 2000; Ma et al., 2025; Yang et al., 2025). Recently, increased cortical cell size in compacted soils was found to be caused by the accumulation of ethylene around root tips (Pandey et al., 2021; Huang et al., 2022). Consequently, thicker lateral roots have more cortical cells and potentially produce and accumulate more ethylene in the root tips, which amplifies cortical expansion. It remains to be determined whether similar hormonal or mechanical cues govern xylem vessel enlargement and wall thickening. Accordingly, future studies should explore the underlying drivers of these structural modifications in response to soil compaction. However, all anatomical traits, with the exception of cortical thickness, displayed a negative allometric relationship to root diameter, indicating that these traits increased at a slower rate than overall root diameter (Fig. S2). This suggests that as roots became thicker, internal tissues associated with transport and support expanded disproportionately, possibly enhancing the root's capacity for water and nutrient uptake. Interestingly, the compaction treatment did not alter these allometric scaling patterns (Fig. S2), implying that the fundamental developmental rules governing anatomical trait relationships to root diameter remain stable even under mechanical stress. This stability may reflect a degree of developmental canalization or a functional constraint that prioritizes the coordination of root anatomy regardless of external stressors (e.g. compaction).
4.2. Linking root respiration rate with root anatomical structures in soil compactionChanges in root anatomical structures are often accompanied by corresponding changes in root respiration rates (Sidhu et al., 2024; Han et al., 2024a). In our study, root respiration rate per unit root length (i.e., length-based root respiration rate) increased with increasing lateral root diameter and root cortical thickness (Fig. 4a and b). This is because thicker lateral roots have more cortical cells and hence increased root respiratory capacity per unit root length (Fig. 4c). Generally, larger cells are associated with lower metabolic activity and respiration rate (Chimungu et al., 2014; Colombi et al., 2019). However, we found that the larger cortical cell was associated with higher length-based root respiration rate (Fig. 4d). This seemingly contradictory result is because cortical cell size was positively correlated with cortical thickness (r = 0.85, p < 0.01), which suggests that the positive effect of increased cortical tissue volume on root respiration rate (Fig. 4c) outweighs the potential negative effect of increased cortical cell size. In contrast, root respiration rate per unit root dry mass (i.e., mass-based root respiration rate) decreased with increasing lateral root diameter and cortical thickness (Fig. 4e and f). Such decrease is partially due to the increased cortical cell size (Fig. 4g), which lowers the density of metabolically active cytoplasm per unit mass. Moreover, it is also likely due to increased investment in xylem vessel walls (Fig. 4h), thereby diverting resources away from metabolic process and further contributing to the decrease in mass-based root respiration rate.
What is most perplexing in our study is that both length-based and the mass-based root respiration rate remained unchanged across most species in response to soil compaction (Fig. 5a and b). This is unexpected given that both larger cortical cell size (Chimungu et al., 2014; Colombi et al., 2019) and thicker xylem vessel walls will lead to decreased metabolic activity and root respiration rate. These findings suggest the presence of a compensatory mechanism that offsets the negative effect of these anatomical changes on root respiration rate. It is also plausible that while changes in cortical cell size may be sufficient to help with soil penetration during compaction, they are not extensive enough to notably affect root respiration or add to the root's metabolic burden. Notably, we observed a significantly lower ratio of cortical cell wall thickness to cortical cell size (i.e., CWT/CCS) under soil compaction (Fig. 6a). The lower CWT/CCS indicates reduced investment in cellular structure (i.e., cell wall biomass), as such freeing up metabolic resources for cortical cell metabolic activity (Han et al., 2024a; Sidhu et al., 2024). Moreover, this reduction in CWT/CCS was greater in species with thicker lateral roots after soil compaction (Fig. 6b), implying a greater enhancement of metabolic activity in these species despite the anatomical shifts. Together, these findings suggest that the apparent stability of root respiration rate in response to soil compaction could result from the complex tradeoff: investment between cortical cell structure (cell wall) and activity (cell size) and between cortex and stele (CWT/CCS vs. xylem vessel wall).
4.3. Effects of soil compaction on roots and plant growthA notable finding of this study is the decoupling between root biomass and root anatomical traits, both in their trait values and in their responses to soil compaction. As aforementioned, changes in root anatomical structures, such as xylem vessel wall thickening, are more likely to mechanically reinforce roots in compacted soils, rather than to enhance nutrient transport. Therefore, changes in root anatomical structures under soil compaction appear to support root growth rather than survival. In contrast, given that lateral root biomass was closely related to soil resource acquisition, changes in lateral root biomass under compaction can dominate changes of aboveground and whole plant growth (Fig. 8). Consequently, root biomass and root anatomical structures represent two independent axes of root adaptation to soil compaction: the former mediating plant growth via resource acquisition, and the latter promoting root persistence through mechanical adaptation.
Further analysis suggests that this independence arises from their distinct relationships with lateral root diameter: root biomass did not correlate with root diameter, while root anatomical traits were closely associated with root diameter (Fig. 7). Many studies have identified close relationships between root anatomical structures and root diameter (Kong et al., 2017, 2019), yet the independence of root biomass from root diameter has rarely been observed. The independence may be due to two set of molecular-level processes (e.g., gene expression, transcriptional regulation and etc.) acting differently on root biomass and root diameter. Such independence implies that plant species with high root biomass may possess either thin or thick lateral roots. This result has important ecological and agronomic implications. Generally, thick lateral roots, common in well-watered conditions, have wide xylem vessels to enhance water transport efficiency (Kong et al., 2014; Kirfel et al., 2017), whereas thin lateral roots, common in dry conditions, usually have thin xylem vessels to offer greater hydraulic safety (Lynch et al., 2014; Guet et al., 2015). Consequently, the independence of root biomass from root diameter (and associated anatomical structures) allows plant roots to deploy diverse functional trait combinations, i.e., "root strategies", to thrive under heterogeneous environments.
5. ConclusionOur study unraveled diverse responses of root biomass, anatomical structures, and respiration rate to soil compaction across plant species with contrasting lateral root diameters. We demonstrate that cortical cell size, xylem vessel diameter, and xylem vessel wall thickness all increased under soil compaction, with greater absolute increment in species bearing thicker lateral roots. In contrast, relative investment in cortical cell wall, reflected by a lower ratio of cell wall thickness to cell size, decreased under compaction. These divergent responses of root anatomical traits help explain the overall stability of root respiration rate under soil compaction across these species. Importantly, we found independence of root biomass from root diameter and root anatomical structures, indicating that these two groups of traits represent distinct root strategies for coping with compaction. Anatomical traits support mechanical penetration and metabolic maintenance, whereas root biomass primarily governs resource acquisition and aboveground growth. These findings have valuable implications for crop breeding and species selection in compacted soils. Effective crop species selection should consider not only lateral root diameter (and root anatomical structures) but also root biomass. Moreover, the independence between root diameter and root biomass expands the range of viable trait combinations, offering new insights into plant adaptive strategies and species coexistence in heterogeneous soil environments.
AcknowledgementsWe are grateful to Dr. Paul Kardol from the Swedish University of Agricultural Sciences for his generous support for this study. This study was funded by the National Natural Science Foundation of China (32471824, 32171746, 31870522, 42477227, and 32560282), the leading talents of basic research in Henan Province (24XM0375), Excellent Youth Creative Research Group Project in Henan Province (252300421002), Foreign Scientists Studio in Henan Province (GZS2025011), MOHRSS National Foreign Expert Individual Projectsand (110000264820258001) and Natural Science Foundation of Henan (242300420604). Tino Colombi acknowledges the University of Nottingham for funding (Nottingham Research Fellowship). Junjian Wang was supported by the Guangdong Provincial Key Laboratory of Soil and Groundwater Pollution Control (2023B1212060002) and the High-level University Special Fund (G03050K001). Zhipei Feng acknowledges the China Postdoctoral Science Foundation (No. 2021M690922).
CRediT authorship contribution statement
Qinwen Han: Writing – review & editing, Writing – original draft, Software, Methodology, Investigation, Data curation. Qingpei Yang: Software, Methodology. Binglin Guo: Investigation, Software. Tino Colombi: Writing – review & editing. Junjian Wang: Writing – review & editing. Huifang Wu: Data curation. Zhipei Feng: Methodology. Zhi Zheng: Writing – review & editing. Zhenjiang Li: Data curation. Yue Zhang: Data curation. Meixu Han: Methodology. Qiang Li: Writing – review & editing. Junxiang Ding: Writing – review & editing. Xitian Yang: Writing – review & editing. Hannah M. Schneider: Writing – review & editing. Ying Zhao: Methodology. Deliang Kong: Writing – review & editing, Project administration, Funding acquisition, Formal analysis, Conceptualization.
Declaration of competing interest
The authors declare no conflict of interest.
Appendix A. Supplementary data
Supplementary data to this article can be found online at https://doi.org/10.1016/j.pld.2025.12.008.
Ahmed, M.A., Zarebanadkouki, M., Kaestner, A., et al., 2016. Measurements of water uptake of maize roots: the key function of lateral roots. Plant Soil, 398: 59-77. DOI:10.1007/s11104-015-2639-6 |
Ahmed, M.A., Zarebanadkouki, M., Meunier, F., et al., 2018. Root type matters: measurement of water uptake by seminal, crown, and lateral roots in maize. J. Exp. Bot., 69: 1199-1206. DOI:10.1093/jxb/erx439 |
Bello-Bello, E., López-Arredondo, D., Rico-Chambrón, T.Y., et al., 2022. Conquering compacted soils: uncovering the molecular components of root soil penetration. Trends Plant Sci., 27: 814-827. DOI:10.1016/j.tplants.2022.04.001 |
Berisso, F.E., Schjønning, P., Keller, T., et al., 2012. Persistent effects of subsoil compaction on pore size distribution and gas transport in a loamy soil. Soil Tillage Res., 122: 42-51. DOI:10.1016/j.still.2012.02.005 |
Cao, J.-J., Chen, J., Yang, Q., et al., 2023. Leaf hydraulics coordinated with leaf economics and leaf size in mangrove species along a salinity gradient. Plant Divers., 45: 309-314. DOI:10.1016/j.pld.2022.01.002 |
Cao, J., Wang, J., Yang, Q., et al., 2025. Root anatomy governs bi-directional resource transfer in mycorrhizal symbiosis. Nat. Commun., 16: 8731. DOI:10.1038/s41467-025-64553-1 |
Chen, J., Cao, J., Guo, B., et al., 2025. Increased dependence on mycorrhizal fungi for nutrient acquisition under carbon limitation by tree girdling. Plant Divers., 47: 466-478. DOI:10.1016/j.pld.2025.02.004 |
Chimungu, J.G., Loades, K.W., Lynch, J.P., 2015. Root anatomical phenes predict root penetration ability and biomechanical properties in maize (Zea mays). J. Exp. Bot., 66: 3151-3162. DOI:10.1093/jxb/erv121 |
Chimungu, J., Brown, K., Lynch, J., 2014. Large root cortical cell size improves drought tolerance in maize. Plant Physiol., 166: 2166-2178. DOI:10.1104/pp.114.250449 |
Colombi, T., Herrmann, A.M., Vallenback, P., et al., 2019. Cortical cell diameter is key to energy costs of root growth in wheat. Plant Physiol., 180: 2049-2060. DOI:10.1104/pp.19.00262 |
Colombi, T., Keller, T., 2019. Developing strategies to recover crop productivity after soil compaction—A plant eco-physiological perspective. Soil Tillage Res., 191: 156-161. DOI:10.1016/j.still.2019.04.008 |
Corner, E.J.H., 1949. The durian theory or the origin of the modern tree. Ann. Bot., 13: 367-414. DOI:10.1093/oxfordjournals.aob.a083225 |
Cui, Y.N., Man, Y., Song, C.W., et al., 2020. Chemical components, physiological functions and regulation mechanism of plant Casparian strips. Sci Sin-Vitae, 50: 102-110. DOI:10.1360/ssv-2019-0205 |
Frene, J.P., Pandey, B.K., Castrillo, G., et al., 2024. Under pressure: elucidating soil compaction and its effect on soil functions. Plant Soil, 502: 267-278. |
Freschet, G.T., Swart, E.M., Cornelissen, J.H.C., 2015. Integrated plant phenotypic responses to contrasting above- and below-ground resources: key roles of specific leaf area and root mass fraction. New Phytol., 206: 1247-1260. DOI:10.1111/nph.13352 |
Freschet, G.T., Pagès, L., Iversen, C.M., et al., 2021. A starting guide to root ecology: strengthening ecological concepts and standardising root classification, sampling, processing and trait measurements. New Phytol., 232: 973-1122. DOI:10.1111/nph.17572 |
Fujikawa, T., Miyazaki, T., 2005. Effects of bulk density and soil type on the gas diffusion coefficient in repacked and undisturbed soils. Soil Sci., 170: 892-901. DOI:10.1097/01.ss.0000196771.53574.79 |
Gao, Y.Q., Su, Y., Chao, D.Y., 2024. Exploring the function of plant root diffusion barriers in sealing and shielding for environmental adaptation. Nat. Plants, 10: 1865-1874. DOI:10.1038/s41477-024-01842-5 |
Gleason, S., Westoby, M., Jansen, S., et al., 2015. Weak tradeoff between xylem safety and xylem-specific hydraulic efficiency across the world's woody plant species. New Phytol., 209: 123-136. |
Goldberg-Yehuda, N., Nachshon, U., Assouline, S., et al., 2024. The effect of mechanical compaction on the soil water retention curve: insights from a rapid image analysis of micro-CT scanning. Catena, 242: 108068. DOI:10.1016/j.catena.2024.108068 |
Guet, J., Fichot, R., Lédée, C., et al., 2015. Stem xylem resistance to cavitation is related to xylem structure but not to growth and water-use efficiency at the within-population level in Populus nigra L. J. Exp. Bot., 66: 4643-4652. DOI:10.1093/jxb/erv232 |
Guo, D., Xia, M., Wei, X., et al., 2008. Anatomical traits associated with absorption and mycorrhizal colonization are linked to root branch order in twenty-three Chinese temperate tree species. New Phytol., 180: 673-683. DOI:10.1111/j.1469-8137.2008.02573.x |
Hamza, M.A., Anderson, W.K., 2005. Soil compaction in cropping systems: a review of the nature, causes and possible solutions. Soil Tillage Res., 82: 121-145. DOI:10.1016/j.still.2004.08.009 |
Han, M., Zhang, H., Liu, M., et al., 2024a. Increased dependence on nitrogen-fixation of a native legume in competition with an invasive plant. Plant Divers., 46: 510-518. DOI:10.1016/j.pld.2024.04.003 |
Han, Q., Yang, Q., Guo, B., et al., 2024b. Linking root cell wall width with plant functioning under drought conditions. J. Exp. Bot., 75: 5463-5466. DOI:10.1093/jxb/erae314 |
Han, M., Zhu, B., 2021. Linking root respiration to chemistry and morphology across species. Glob. Change Biol., 27: 190-201. DOI:10.1111/gcb.15391 |
Herbin, T., Hennessy, D., Richards, K.G., et al., 2011. The effects of dairy cow weight on selected soil physical properties indicative of compaction. Soil Use Manag., 27: 36-44. DOI:10.1111/j.1475-2743.2010.00309.x |
Hou, J., McCormack, M.L., Reich, P.B., et al., 2024. Linking fine root lifespan to root chemical and morphological traits—A global analysis. Proc. Natl. Acad. Sci. U.S.A., 121: e2320623121. DOI:10.1073/pnas.2320623121 |
Huang, G., Kilic, A., Karady, M., et al., 2022. Ethylene inhibits rice root elongation in compacted soil via ABA- and auxin-mediated mechanisms. Proc. Natl. Acad. Sci. U.S.A., 119: e2201072119. DOI:10.1073/pnas.2201072119 |
Kalmbach, L., Hématy, K., De, Bellis, D., et al., 2017. Transient cell-specific EXO70A1 activity in the CASP domain and Casparian strip localization. Nat. Plants, 3: 17058. DOI:10.1038/nplants.2017.58 |
Keller, T., Or, D., 2022. Farm vehicles approaching weights of sauropods exceed safe mechanical limits for soil functioning. Proc. Natl. Acad. Sci. U.S.A., 119: e2117699119. DOI:10.1073/pnas.2117699119 |
Kirfel, K., Leuschner, C., Hertel, D., et al., 2017. Influence of root diameter and soil depth on the xylem anatomy of Fine- to medium-sized roots of mature beech trees in the Top- and subsoil. Front. Plant Sci., 8: 1194. DOI:10.3389/fpls.2017.01194 |
Kong, D., Ma, C., Zhang, Q., et al., 2014. Leading dimensions in absorptive root trait variation across 96 subtropical forest species. New Phytol., 203: 863-872. DOI:10.1111/nph.12842 |
Kong, D., Wang, J., Zeng, H., et al., 2017. The nutrient absorption transportation hypothesis: optimizing structural traits in absorptive roots. New Phytol., 213: 1569-1572. DOI:10.1111/nph.14344 |
Kong, D., Wang, J., Wu, H., et al., 2019. Nonlinearity of root trait relationships and the root economics spectrum. Nat. Commun., 10: 2203. DOI:10.1038/s41467-019-10245-6 |
Kong, D., Wang, J., Valverde-Barrantes, O.J., et al., 2021. A framework to assess the carbon supply–consumption balance in plant roots. New Phytol., 229: 659-664. DOI:10.1111/nph.16807 |
Leishman, M., Wright, I., Moles, A., et al., 2000. In: Fenner, M. (Ed.), Seeds: the Ecology of Regeneration in Plant Communities. CABI, pp. 31–57.
|
Liang, S., Guo, H., McCormack, M.L., et al., 2023. Positioning absorptive root respiration in the root economics space across woody and herbaceous species. J. Ecol., 111: 2710-2720. DOI:10.1111/1365-2745.14213 |
Li, H., Liu, B., McCormack, M.L., et al., 2017. Diverse belowground resource strategies underlie plant species coexistence and spatial distribution in three grasslands along a precipitation gradient. New Phytol., 216: 1140-1150. DOI:10.1111/nph.14710 |
Li, L., McCormack, M.L., Ma, C., et al., 2015. Leaf economics and hydraulic traits are decoupled in five species-rich tropical-subtropical forests. Ecol. Lett., 18: 899-906. DOI:10.1111/ele.12466 |
Long, Z., Wang, Y., Sun, B., et al., 2024. Impact of mechanical compaction on crop growth and sustainable agriculture. Front. Agr. Sci. Eng, 11: 243-252. |
Lynch, J.P., Chimungu, J.G., Brown, K.M., 2014. Root anatomical phenes associated with water acquisition from drying soil: targets for crop improvement. J. Exp. Bot., 65: 6155-6166. DOI:10.1093/jxb/eru162 |
Ma, Z., Guo, D., Xu, X., et al., 2018. Evolutionary history resolves global organization of root functional traits. Nature, 555: 94-97. DOI:10.1038/nature25783 |
Ma, Z., Buckley, T.N., Sack, L., et al., 2025. The determination of leaf size on the basis of developmental traits. New Phytol., 246: 461-480. DOI:10.1111/nph.20461 |
Makita, N., Hirano, Y., Dannoura, M., et al., 2009. Fine root morphological traits determine variation in root respiration of Quercus serrata. Tree Physiol., 29: 579-585. DOI:10.1093/treephys/tpn050 |
Mao, Z., Roumet, C., Rossi, L., et al., 2023. Intra- and inter-specific variation in root mechanical traits for twelve herbaceous plants and their link with the root economics space. Oikos, 2023: e09032. DOI:10.1111/oik.09032 |
McCormack, M.L., Guo, D., Iversen, C.M., et al., 2017. Building a better foundation: improving root-trait measurements to understand and model plant and ecosystem processes. New Phytol., 215: 27-37. DOI:10.1111/nph.14459 |
Meijer, G.J., Lynch, J.P., Chimungu, J.G., et al., 2024. Root anatomy and biomechanical properties: improving predictions through root cortical and stele properties. Plant Soil, 500: 587-603. DOI:10.1007/s11104-024-06507-y |
Mo, J., Song, Z., Che, Y., et al., 2024. Effects of aeolian deposition on soil properties and microbial carbon metabolism function in farmland of Songnen plain, China. Sci. Rep., 14: 14791. DOI:10.1038/s41598-024-65578-0 |
Nawaz, M.F., Bourrié, G., Trolard, F., 2013. Soil compaction impact and modelling. A review. Agron. Sustain. Dev., 33: 291-309. DOI:10.1007/s13593-011-0071-8 |
Nazari, M., Arthur, E., Lamandé, M., et al., 2023. A meta-analysis of soil susceptibility to machinery-induced compaction in forest ecosystems across global climatic zones. Curr. For. Rep., 9: 370-381. DOI:10.1007/s40725-023-00197-y |
Olson, M., Rosell, J., 2012. Vessel diameter-stem diameter scaling across woody angiosperms and the ecological causes of xylem vessel diameter variation. New Phytol., 197: 1204-1213. |
Pandey, B.K., Bennett, M.J., 2024. Uncovering root compaction response mechanisms: new insights and opportunities. J. Exp. Bot., 75: 578-583. DOI:10.1093/jxb/erad389 |
Pandey, B.K., Huang, G., Bhosale, R., et al., 2021. Plant roots sense soil compaction through restricted ethylene diffusion. Science, 371: 276-280. DOI:10.1126/science.abf3013 |
Poorter, L., McDonald, I., Alarcón, A., et al., 2010. The importance of wood traits and hydraulic conductance for the performance and life history strategies of 42 rainforest tree species. New Phytol., 185: 481-492. DOI:10.1111/j.1469-8137.2009.03092.x |
Pregitzer, K.S., DeForest, J.L., Burton, A.J., et al., 2002. Fine root architecture of nine north American trees. Ecol. Monogr., 72: 293-309. DOI:10.1890/0012-9615(2002)072[0293:FRAONN]2.0.CO;2 |
Schneider, H.M., Strock, C.F., Hanlon, M.T., et al., 2021. Multiseriate cortical sclerenchyma enhance root penetration in compacted soils. Proc. Natl. Acad. Sci. U.S.A., 118: e2012087118. DOI:10.1073/pnas.2012087118 |
Shaheb, M.R., Venkatesh, R., Shearer, S.A., 2021. A review on the effect of soil compaction and its management for sustainable crop production. J. Biosyst. Eng., 46: 417-439. DOI:10.1007/s42853-021-00117-7 |
Sidhu, J.S., Lopez-Valdivia, I., Strock, C.F., et al., 2024. Cortical parenchyma wall width regulates root metabolic cost and maize performance under suboptimal water availability. J. Exp. Bot., 75: 5750-5767. DOI:10.1093/jxb/erae191 |
Soane, B.D., Van, Ouwerkerk, C., 1994. Soil compaction problems in world agriculture. Dev. Agric. Eng., 11: 1-21. |
Song, T., Tian, Y.Q., Liu, C.B., et al., 2023. A new family of proteins is required for tethering of Casparian strip membrane domain and nutrient homoeostasis in rice. Nat. Plants, 9: 1749-1759. DOI:10.1038/s41477-023-01503-z |
Tjoelker, M.G., Oleksyn, J., Reich, P.B., 2001. Modelling respiration of vegetation: evidence for a general temperature-dependent Q10. Glob. Change Biol., 7: 223-230. DOI:10.1046/j.1365-2486.2001.00397.x |
Tracy, S.R., Black, C.R., Roberts, J.A., et al., 2011. Soil compaction: a review of past and present techniques for investigating effects on root growth. J. Sci. Food Agric., 91: 1528-1537. DOI:10.1002/jsfa.4424 |
Vanhees, D.J., Schneider, H.M., Sidhu, J.S., et al., 2022. Soil penetration by maize roots is negatively related to ethylene-induced thickening. Plant Cell Environ., 45: 789-804. DOI:10.1111/pce.14175 |
Wen, Z., Li, H., Shen, Q., et al., 2019. Tradeoffs among root morphology, exudation and mycorrhizal symbioses for phosphorus-acquisition strategies of 16 crop species. New Phytol., 223: 882-895. DOI:10.1111/nph.15833 |
Wang, M., Kong, D., Mo, X., et al., 2024a. Molecular-level carbon traits underlie the multidimensional fine root economics space. Nat. Plants, 10: 901-909. DOI:10.1038/s41477-024-01700-4 |
Wang, X., Liu, X., Chen, S., et al., 2024b. Elevational variation in anatomical traits of the first-order roots and their adaptation mechanisms. Plant Divers., 47: 291-299. |
Weigelt, A., Mommer, L., Andraczek, K., et al., 2023. The importance of trait selection in ecology. Nature, 618: E29-E30. DOI:10.1038/s41586-023-06148-8 |
Wu, H., Yang, Q., Chen, J., et al., 2025. Divergent leaf-root coordination between mangroves and non-mangroves. J. Plant Ecol. 18, rtaf023. |
Yang, Q., Guo, B., Lu, M., et al., 2025. Arbuscular mycorrhizal association regulates global root-seed coordination. Nat. Plants, 11: 1759-1768. DOI:10.1038/s41477-025-02089-4 |
Zarebanadkouki, M., Kim, Y.X., Carminati, A., 2013. Where do roots take up water? Neutron radiography of water flow into the roots of transpiring plants growing in soil. New Phytol., 199: 1034-1044. DOI:10.1111/nph.12330 |
Zhang, Y., Cao, J.-J., Yang, Q.-P., et al., 2023. The worldwide allometric relationship in anatomical structures for plant roots. Plant Divers., 45: 621-629. DOI:10.3390/polym15030621 |
Zhang, Y., Cao, J., Lu, M., et al., 2024. The origin of bi-dimensionality in plant root traits. Trends Ecol. Evol., 39: 78-88. DOI:10.1016/j.tree.2023.09.002 |
Zhao, J., Guo, B., Hou, Y., et al., 2024. Multi-dimensionality in plant root traits: progress and challenges. J. Plant Ecol., 17: rtae043. DOI:10.1093/jpe/rtae043 |
Zheng, Z., Dong, F., Li, Z., et al., 2025. The unique root form and function on the Tibetan Plateau. New Phytol., 248: 2280-2294. DOI:10.1111/nph.70595 |
Zhou, M., Bai, W., Li, Q., et al., 2021. Root anatomical traits determined leaf-level physiology and responses to precipitation change of herbaceous species in a temperate steppe. New Phytol., 229: 1481-1491. DOI:10.1111/nph.16797 |
Zhou, M., Guo, Y., Sheng, J., et al., 2022. Using anatomical traits to understand root functions across root orders of herbaceous species in a temperate steppe. New Phytol., 234: 422-434. DOI:10.1111/nph.17978 |



