土地租赁是农地流转的主要方式,农地租约的契约安排受到了学界的普遍重视。研究的重点在于:一是农地租约的绩效及其治理问题,涉及到不同租约类型(定租制、分成制等)的生成机理 (Cheng,1968;罗必良、何一鸣,2015)、租约稳定性及其治理(罗必良,2011;胡新艳等,2015;洪名勇、龚丽娟,2015);二是农地租约中的核心条款或缔约内容的决定机理及其影响因素,其中,与缔约双方利益密切相关的契约期限与租金的决定是关注的重点(徐珍源、孔祥智,2010;钟文晶、罗必良,2014;邓大才,2007;刘荣材,2010)。随着我国农地经营权流转市场的不断发育,后者越发成为学界的热门话题。
农地流转本质上表现为农地经营权的流转,而经营权流转不可避免地依附于农户承包权,从而使得农户天然地具有“产权身份垄断”与“产权地理垄断”优势(罗必良,2014),由此,主流文献都集中于将期限、租金的决定问题视为出租户单方面的租约选择问题。不仅如此,既有文献进一步将租约期限与租金选择视为两个独立的问题:一方面,将租约期限表达为出租户的自主选择,而将农地租金假定为由市场决定并视为外生变量,从而将租金变量纳入租约期限的决定模型;另一方面,将租金决定表达为出租户的租金要价,而将租约期限假定为由市场决定并视为外生变量,从而将期限变量纳入租约租金的决定模型。上述的处理方式带来了研究结论的不一致(表 1)。
| 表 1 已有文献的研究结论及其差异 |
已有研究所得结论不一致,其原因可能在于:第一,农地流转的租约安排,并不是出租户单方选择的结果。在实际契约的签订中,由于缔约双方具有身份及目标偏好的差异,其对契约条款的要求往往存在不一致性,其中,对契约期限的要求的不一致性更为突出,有时甚至同一因素对缔约双方的契约期限选择的作用效果是相反的(刘文勇、张悦,2013)。事实上,租约的订立是缔约双方的博弈过程,期限与租金则是可讨价还价的变量,正因为如此,农户的农地出租及其租约安排,往往具有明显对象依赖性或对象差异性(罗必良,2014);第二,农地租约一般具有“租约集”的特点,通常表现为多个合约条款与内容的集合,因此,租约均衡及其稳定,并不完全由某个单一条款的选择而决定,租约中的“条款集”往往具有相互补充、相互替代以及相互匹配的特性(罗必良,2011)。也就是说,农地租约中的期限与租金,并不是相互分离的,而是互为因果的,具有显著的内生性。鉴于此,本文关注农地租约中的期限、租金及其相互关联性,将期限与租金决定,视为流转双方博弈的结果,从而阐明租约选择过程及其决定机理,揭示农地租约的选择逻辑。
除本节以外,第二节阐明农地租约中期限、租金联合决策的缔约原则,揭示缔约双方就农地流转租约中的期限与租金达成一致的动态机理;第三节引入农地质量因素并将其纳入缔约原则,进一步分析在不同农地质量条件下缔约双方的博弈策略及其租约选择逻辑,并由此提出若干推论;第四节是利用农户调查问卷进行实证检验;最后是结论与讨论。
二、 租金与期限的决定:关联决策的一般原则 (一) 期限与租金的内生性租约安排与缔约双方的利益密切相关,其最终的订立必然符合交易双方各自的成本最小化原则(Cheung,1968)。但是,由于缔约双方具有身份特征及目标偏好的差异,他们根据成本最小化原则选择的最优租约安排可能是不同的,特别是对于租约期限的选择。由此,如何促使缔约双方形成一致的租约期限意见,成为缔约达成的关键。
已有关于租约期限决定的研究,通常假定存在不同的租约期限的市场均衡,并由此推断出租户和承租户的租约期限决定表现为短租市场或长租市场的进入选择。必须指出,我国的农地流转市场正处于初步发育阶段,完善的交易体系尚未形成,目前村落中可能并不存在可供选择、价格外生的农地短租期或长租期市场。可见,将期限决定问题简单地视为缔约主体进入短租期市场或长租期市场的选择问题,其实是高估了我国农地租赁市场的发育程度,与现实不符。本文认为,农地租约的期限安排并不是外生给定市场的选择结果,而是缔约双方从存在租约期限选择差异,到最终达成租约安排一致的过程,这个过程依赖于缔约主体就租约中的“条款集”进行协商与博弈,最终形成约束条件下双方均认可的、相对最优的租约安排集。为了简化问题,本部分模型构建将只考虑与缔约双方利益相关、可以讨价还价的期限与租金两个变量,希望解决的问题是,假定出租户选择的最优租约期限T出,承租户选择的最优租约期限T入,当T出≠T入时,如何进行租约期限的博弈与协商?博弈过程中租金究竟发挥怎样的作用?会遵循怎样的准则?
(二) 期限与租金的互动缔约原则假定农地流转租约期限有长期、短期两种选择,租金调整有提价、降价两种选择。由此有两种基本的情景:一种是缔约双方对租约期限的选择具有一致性,即双方都选择长期或短期,此时期限易于达成一致,租金仅由租赁市场外生决定,类似于选择进入哪类市场的决策行为;另一种情形是交易伊始,双方对租约期限的选择不一致,此时要达成租约必然需要寻找租约中的其他要素,来调节双方对于期限选择的差异。由于缔约主体特征与交易客体特征是租约中相对固定的要素,但租金是双方可以讨价还价的变量,因此,依赖租约中可变要素“租金”的变动进行期限协商是可能的选择。此时,租金除了受市场价格影响外,还受双方就期限的协商过程的影响,即租金变量不再完全是外生变量。下面针对缔约双方期限选择不一致的情形,分析双方的博弈策略,观察可能的缔约结果。
|
图 1 承租户是长期限、出租户是短期限选择的缔约结果 |
情形1:承租方是长期限选择、出租户是短期限选择(图 1)。当承租方作为期限选择的决定者且选择长期租约时,出租户是期限选择的妥协方,他要实现利益平衡,必然会以租金提价作为期限妥协的补偿,因此,最终可能形成长期高价租约;对应地,当期限决定角色调换后,出租户首先按照意愿选择短期期限,这时租金调整权属于承租户,承租方必然要求降价弥补期限妥协造成的损失,此时达成短期低价租约。图 1中两条逻辑线均能促使缔约双方达成租约,但形成的租约特征不同。
情形2:承租方是短期限选择、出租户是长期限选择(图 2)。当承租方作为期限选择的决定者且选择短期租约时,出租户是期限选择的妥协方,他要实现利益平衡,必然会以租金提价作为期限妥协的补偿,因此,最终可能形成短期高价租约;对应地,当期限决定角色调换后,出租户首先按照意愿选择长期期限,这时租金调整权属于承租方,承租方必然要求降价弥补期限妥协造成的损失,此时达成长期低价租约。图 2中两条逻辑线均能促使缔约双方达成租约,但形成的租约特征不同。
|
图 2 承租方是短期限、出租户是长期限选择的缔约结果 |
将上述缔约结果整合为一个缔约策略表(表 2)。
| 表 2 基于租金与期限的关联决策策略表 |
上述“期限选择-租金博弈-租约达成”的分析表明农地租约中期限、租金的相互关联性,缔约的基本原则是:当缔约双方期限选择一致时,期限易于决定,且租金仅为市场外生决定;当缔约双方期限选择不一致时,租约的达成既表现为租约期限选择从差异到一致的博弈过程,又表现为租金调整双方期限的选择过程,由此实现缔约双方利益的平衡:出租户租金要价的上升,意味着需接受承租方的期限要求,以达到期限选择统一;承租方租金支付的下降,意味着接受出租户的期限要求,以达到期限选择统一。简单来说,租约的博弈原则为:一方要获得期限选择权,就必须以对另一方进行租金补偿为代价,由此反映出的租约特征为:当承租方是长期限选择、出租户是短期限选择时,将形成“长期高价租约”或“短期低价租约”;而当承租方是短期限选择、出租户是长期限选择时,将形成“长期低价租约”或“短期高价租约”。可见,在缔约双方的租约期限选择不一致的情形下,租金是租约期限决定的内生变量,最终达成租约期限与初始期限选择之间的差异越大,租金调整幅度会越大。
三、 引入农地质量属性:模型扩展及其假说 (一) 引入农地质量属性从初步的缔约原则可知,如果可以获取出租户与承租户对农地租约的期限选择差异,那么推导租约安排特征就成为了可能。下文将进一步引入一个对出租户、承租户缔约选择都具有影响作用的变量:租约标的物农地质量。
反映农地资源特性的重要指标——农地质量,影响着缔约双方对农地价值的利益诉求,其对租约期限、租金安排等的影响已引起关注。但是,农地质量对租约安排的影响机理,特别是对期限决定的影响,不同的文献得出了不一致的结论:钟文晶等(2014)认为农地租出方对农地质量进行有效监督是困难的,相对而言,高质量农地的监督成本更高,因此越是高质量的农地,选择转出或长期转出的可能性越低;徐珍源等(2010)认为农地的保障功能(就业、收入)促使农户倾向于短期租出农地;农地质量越高意味着保障功能越强,这使得高质量农地租约的短期化特征更明显;周曙东等(2010)从承租户角度考虑,认为生产者对粮食生产的长期投资收益益预期越高,希望农地租约的期限越长,而农地质量越高意味着农地生产价值越大,由此承租户会倾向于长期租入高质量农地。可见,农地质量对缔约主体的租约选择的影响路径是复杂的,对缔约双方的租约期限选择作用方向也并不一致。如果将其简单视为解释变量而纳入计量模型,可能会导致错误的结论。
为找出农地质量、租约期限、租金安排三者的关联匹配特征,本文在“期限选择-租金博弈-租约达成”分析模型的基础上,尝试引入农地质量属性,推测不同农地质量条件下的农地流转租约特征。
(二) 拓展模型:农地质量与租约期限选择Hart and Moore(2008)指出,最佳的租约形式是在促进事后效率灵活性与保护权利感受的刚性之间进行权衡取舍。事后效率灵活性表达的是短期限的交易便于租约的调整,从而能够更高地保持交易的灵活性,其可以理解为,长期限租约对交易灵活性具有阻碍作用。长期租约意味着在较长时期内,无论是对交易对象的选择,还是对交易价格的选择等,均表现出缺乏弹性的特征,阻止所有者对交易物的再配置权利,因此长期租约对交易灵活性产生了“毒丸”的作用(Pagano and Volpin,2002);保护权利感受的刚性表达的是主体希望保护权利免被侵犯的刚性需求,可理解为,有效的租约期限约定能对机会主义行为具有抑制作用。由于人具有机会主义倾向,在信息不对称的交易情况下缔约主体预期对方将会不完全如实披露所有的信息,存在其他损人利己的行为。而租约有助于抑制机会主义行为,保障缔约双方的权利,但不同的租约期限长短对不同的缔约主体将产生不一样的权利保障作用。
可见,租约标的物农地质量差异,会影响主体对契约期限的选择。以此为理论前提,以下通过逻辑推导,在不同的农地质量下,缔约双方的期限选择有何差异。
1. 农地质量与出租户的租约期限选择。(1) 租约的灵活性要求。表 3表示的是不同农地质量下,出租户基于租约灵活性对租约期限做出的可能性选择。
表 3中选择结果的影响途径在于:一是农地的长期流转阻碍农地的社会保障功能的实现。农户具有农地“产权身份垄断”特征,是必然且唯一的农地转出主体。由于现阶段农村的社会保障体系未完全建立,农地依然是农户家庭获得福利保障的基本手段,对外出务工农民起到直接、间接的就业再选择、医疗保障、养老保障等作用(杨婷、靳小怡,2015),由此决定了农户对农地存在不可忽视的、持续性福利保障依赖。长期转出农地使得农户在较长时间范围内失去了农地资源再配置权利,一定程度上限制了农地的保障功能。可见,农户对于长期转出农地会有一定的抵触心理,并且,高质量的农地显示出的保障收益更高,农户对流转租约的灵活性要求更高(徐珍源、孔祥智,2010)。
| 表 3 家地质量、出租户的租约灵活性要求与租约期限选择 |
二是不同质量的农地的交易难度、未来交易价格的不可预期性具有差异。相较而言,高质量的农地容易找到新的承租户,并且出租户也趋向于认为高质量的农地存在升值空间,即对未来的流转价格有较高预期。因此,农户对于高质量的农地租约灵活性要求更高。
推测1:出租农户拥有高质量农地时,选择长期租约所造成的灵活性损失大,会倾向于选择短期租约。
(2) 预期机会主义侵害损失。表 4表示的是不同农地质量下,出租户为规避承租方的机会主义所带来的损失而可能做出的期限选择。
| 表 4 农地质量、出租户的预期侵害损失与租约期限选择 |
农地流转租约是有期限的,因此农地最终必然会归还农户手中,但所归还农地的农地质量则是难以预期和考核的(罗必良,2014)。由于现实世界中农地流转租约注定是不完备的,这为农地承租户的机会主义行为提供了制度空间,承租方可能利用对土地质量信息的不可观察性与不可考核性,实施掠夺性经营行为(俞海等,2003)。农地在上一期租约中的质量受损,到归还农户时已经难以逆转;而且质量越好的农地可能受损的程度越高,受损后恢复的难度越大。为了避免不可预期的农地质量损失,出租户可能倾向于选择短期租约(邹宝玲等,2016),从而避免对方的机会主义行为(Cheung,1970),并且农地质量越好,短期租约的倾向性越强。
推测2:对于高质量的农地,出租户倾向于选择短期租约,避免长期租约执行中对方潜在的违约行为。
2. 农地质量与承租方的租约期限选择。(1) 租约的灵活性要求。表 5表示的是不同农地质量下,因应承租方的租约灵活性要求而形成的租约期限选择结果。
| 表 5 农地质量、承租方的租约灵活性要求与租约期限选择 |
相比低质量农地,承租方重新找到同样地理位置、同样质量较优的农地作为替代是困难的,因此,对于承租方而言,质量较好农地租约的灵活性所带来的效率不高,亦由此,承租方对租约的灵活性要求不高。
推测3:由于再缔约成本较高,承租方希望长期租入高质量农地,以锁定生产成本、降低交易费用。
(2) 专用性投资的锁定风险损失。表 6表示的是不同农地质量下,承租方为应付专业性投资所可能引发的机会主义行为而形成的租约期限选择结果。
| 表 6 农地质量、承租方的专用性投资的锁定风险损失与租约期限选择 |
农地价值依赖于各种形式的互补性投资(Feder and Nishio,1999),承租方基于收益最大化,会对租入农地进行固定资本投资等生产性投资行为,提高农业生产效率。但是,农业投资具有较强的资产专用性及收益滞后性特征,并且,附着于土地的资产转让(交易)存在较高成本(Cheung,1970),这就意味着,承租方一旦进行农业投资项目,被“锁定”的风险性极高,这会强化承租方对长期租约的选择倾向(Bergemann and Hege,1998)。
推测4:相比低质量农地,承租方对高质量农地的专用性投资意愿更强,被锁定的风险损失也更大,因应于租入农地的稳定性预期要求,其倾向于长期租入高质量农地。
(三) 引入农地质量差异的租金与期限的互动缔约选择综合上述4个推测发现,当农地的质量条件较好时,出租户更倾向于短期租出,而承租方则更倾向于长期租入;反之,当农地的质量条件差时,出租户的短期选择特征、承租方的长期选择特征较不明显。在此基础上,结合“期限选择-租金博弈-租约达成”分析框架,可得出推演出如图 3的研究假说,即对于高质量农地,可能形成租出方主动降价的低价短期租约,或租入方主动提价的高价长期租约,换句话说,高质量农地的长期转出可以为农地租出方带来更高的租金收益,时间是价格的增函数;而低质量农地的流转中,由于流转双方的租约期限选择特征不那么明显,“期限换租金”空间小,此时长期转出农地并不能为农地租出方带来更高的租金收益。
|
图 3 高农地质量的缔约结果 |
数据源于2015年春节期间在全国范围内的农户抽样调查。通过聚类分析选取广东、贵州、河南、江苏、江西、辽宁、宁夏、山西、四川9省区共计54个县域,发放问卷2880份,收回问卷2704份,问卷有效率为93.89%。本文选取参与农地流转的960个样本农户进行计量验证分析。
(二) 变量选取与赋值 1. 变量选取。(1) 以实际流转中的租约期限作为期限的指标;
(2) 以实际达成的租约租金作为租金的指标;
(3) 农地质量从两个方面衡量:一是从总体角度进行衡量,指标为“整体质量”;二是从土壤肥力、区位条件等维度细化考察,对应选择的指标为“肥力条件”、“灌溉条件”、“区域地形”与“交通条件”。
2. 变量赋值。变量赋值及描述性统计见表 7。| 表 7 变量定义与描述(N=940) |
对参与农地流转的960个样本农户进行统计分析(表 8),发现:(1)整体质量、水肥条件、地形交通条件较好的农地,其签订4年以上租约的比例会较高;(2)4年以上租约的平均租金高于短期租约,且在整体质量、水肥条件、地形交通条件较好的农地中尤为突出。
| 表 8 描述性分析 |
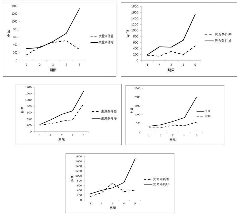
为直观观察不同农地质量条件下,农地流转租约中期限与租金的相关性是否具有差异,根据调查数据绘制折线图。图 4分别描述了农地的不同质量维度(整体质量、土壤肥力、灌溉、地形、交通)条件下,租约期限与租约租金的关系。其基本的特征是:与整体质量、土壤肥力、灌溉条件、地形条件、交通条件较差时相比,当农地整体质量、土壤肥力、灌溉条件、地形条件、交通条件较好时,“租约期限”与“租约租金平均值”有更为明显的正相关趋势。由此可以初步证明,高质量农地的长期转出可以为农地租出方带来更高的租金收益;而当农地的质量条件较差时,“期限换租金”的趋势并不明显。
|
图 4 不同质量维度下租约期限与租约租金的关系特征 |
进一步通过方差分析考察农地的不同质量维度对租约期限及租金价格是否有显著性差异。结果如表 9。
| 表 9 方差分析结果 |
表 9表明:
(1) “土壤肥力”方差分析显示,当农地、土壤肥力较差时,不同期限的农地租约年租金差异并不显著,而当整体质量、土壤肥力较好时,不同期限的农地租约租金差异通过显著性检验;
(2) “整体质量”、“灌溉”、“地形”与“交通”四组方差分析有着相对一致的表现:无论农地的整体质量、灌溉、地形与交通条件的好坏,不同期限农地租约的年租金差异均通过显著性检验,但当农地的灌溉、地形与交通条件的较好时,不同期限农地租约年租金方差分析F明显较高,说明在农地质量较好的组别中,租约年租金随期限变化产生差异的程度更高。
2. 相关性分析。方差分析验证了,在不同质量条件下,农地租约期限与租金的相关性有所差异。为进一步识别不同质量条件下契约安排到底会呈现何种差异,需要继续验证在“质量”变量的调节作用下,期限与租金存在何种相关特征。本文选取变量的交互项处理及相关性分析方法。具体方法为:首先,进行农地质量变量与期限变量的交互项处理,将“整体质量”“土壤肥力”、“灌溉条件”、“区域地形”及“交通条件”共五个变量分别与“租约期限”变量作相乘的交互处理,生成新变量“整体质量*租约期限”、“土壤肥力*租约期限”、“灌溉条件*租约期限”、“区域地形*租约期限”、“交通条件*租约期限”;然后,将“租约租金”变量作对数处理,生成新变量“租约租金对数”;最后,利用spss20.0软件,对上述变量作Pearson法和Spearman法的相关性分析,以稳定检验在农地质量的调节作用下,期限与租金具有何种相关特征。分析结果如表 10、表 11所示。
| 表 10 农地质量、租约期限与租约价格的相关性分析(N=940) |
| 表 11 农地质量和租约期限的交互项与租约价格的相关性分析(N=940) |
计量结果表明:
(1) 表 10显示,整体质量、土壤肥力、灌溉条件、区域地形、交通条件共5个变量,与租约租金对数正相关关系,Pearson相关性分析和Spearman相关性分析均是1%水平下显著,表明,农地质量越好,农地流转租约租金越高;
(2) 表 11显示,“整体质量*租约期限”、“土壤肥力*租约期限”、“灌溉条件*租约期限”、“区域地形*租约期限”、“交通条件*租约期限”变量与“合同租金对数”变量具有正相关关系,Pearson相关性分析和Spearman相关性分析均是1%水平下显著,表示在农地质量的调节作用下,租约期限与租金的正相关关系更为显著。图 5能够直观表达计量结果的经济学含义,图中实线表示农地质量较好时,农地流转租约期限的正向变化会对租约租金有显著促进作用,即流转租约期限越长,农地流转租约租金越高;虚线表示农地质量较差时,农地流转租约期限的正向变化不会对租约租金产生影响,或影响作用很小,即“期限换租金”空间小。
|
图 5 不同质量条件下期限对租金的影响示意图 |
既有研究农地流转租约安排的文献,大多简单地将租约安排看作是一个出租户单方选择的结果,并将租约中的核心条款——租约期限与租金选择的决定机理视为两个独立的问题。但是,农地租约一般具有“租约集”的特点,租约均衡及其稳定并不完全由某个单一条款的选择而决定,可以说,农地租约中“期限”与“租金”条款的决定,往往具有相互补充、相互替代以及相互匹配的特性,期限与租金并不是相互分离的,而是互为因果的,具有显著的内生性的。因此,将期限与租金问题分别独立地考察分析显然是不妥的。
本文为农地流转的租约研究提供了一个新的视角,主要贡献在于:(1)考虑到现阶段农地流转市场的初步发育状态,认为租约期限的决定并不是缔约主体对长租、短租市场的选择与进入的问题,由此发现租约期限与租金之间可能的内生性,指明现有实证研究的不足;(2)将期限与租金视为联合决策问题,认为,由于缔约双方具有身份及目标偏好的差异,他们对租约内条款的要求存在普遍的不一致性,因此租约的订立必然表现为缔约双方就租约中“条款集”的博弈。依此逻辑,构建“期限选择-租金博弈-租约达成”分析框架,将租约的达成既视为租约期限选择从差异到一致的博弈过程,又表现为租金调整双方期限的选择过程,由此实现缔约双方利益的平衡;(3)将农地质量视为关键变量引入分析框架,实证考察在农地流转过程中农地质量、流转租约期限、流转租约租金三者的关联匹配特征。计量结果为:当农地整体质量、肥力、灌溉、地形及交通条件较好时,农地流转期限越长,租约租金越高;而当农地各维度质量条件较差时,农地流转租约期限的正向变化不会对租约租金产生影响,或影响作用很小。也即,在农地流转交易中,呈现“高质量-高租金-长期限”、“低质量-低租金-短期限”的农地质量与租约安排的匹配特征。
本文的研究结果表明,农地租约具有强烈的“条款集”的特点,多个合约条款往往具有相互补充、相互替代以及相互匹配的特性,某个单一条款的选择或多或少地会受到其他多个合约条款与内容的影响,可以说,农地租约中每个条款的决定,均是在寻求租约“条款集”和内容的总体均衡及稳定。显然,如何在解决内生性问题的基础上,进一步厘清农地租约中关键条款各自的决定机理及其选择逻辑,尚需做出进一步的努力。
| [1] | 邓大才 , 2007, "农地流转的交易成本与价格研究——农地流转价格的决定因素分析", 《财经问题研究》 , 第 9 期 , 第 89–95 页。 |
| [2] | 洪名勇、 龚丽娟 , 2015, "农地流转口头契约自我履约机制的实证研究", 《农业经济问题》 , 第 8 期 , 第 13–20 页。 |
| [3] | 胡新艳、 朱文珏、 刘凯 , 2015, "理性与关系:一个农地流转契约稳定性的理论分析框架", 《农村经济》 , 第 2 期 , 第 9–13 页。 |
| [4] | 刘荣材 , 2010, "产权?定价机制与农村土地流转", 《农村经济》 , 第 12 期 , 第 30–34 页。 |
| [5] | 刘文勇、 张悦 , 2013, "农地流转中农户租约期限短期倾向的研究:悖论与解释", 《农村经济》 , 第 1 期 , 第 22–25 页。 |
| [6] | 罗必良、 何一鸣 , 2015, "博弈均衡?要素品质与契约选择——关于佃农理论的进一步思考", 《经济研究》 , 第 8 期 , 第 162–174 页。 |
| [7] | 罗必良 , 2011, 合约的不稳定与合约治理.载中国制度变迁的案例研究(第八集). 中国财政经济出版社 . |
| [8] | 罗必良 , 2014, "农地流转的市场逻辑——‘产权强度-禀赋效应-交易装置'的分析线索及案例研究", 《南方经济》 , 第 5 期 , 第 1–24 页。 |
| [9] | 申云、 朱述斌、 邓莹、 滕琳艳、 赵嵘嵘 , 2012, "农地使用权流转价格的影响因素分析——来自于农户和区域水平的经验", 《中国农村观察》 , 第 3 期 , 第 2–17 页。 |
| [10] | 伍振军、 孔祥智、 郑力文 , 2011, "农地流转价格的影响因素研究——基于皖?浙两省413户农户的调查", 《江西农业大学学报(社会科学版)》 , 第 3 期 , 第 1–6 页。 |
| [11] | 徐珍源、 孔祥智 , 2010, "转出土地流转期限影响因素实证分析——基于转出农户收益与风险视角", 《农业技术经济》 , 第 7 期 , 第 30–40 页。 |
| [12] | 杨婷、 靳小怡 , 2015, "资源禀赋?社会保障对农民工土地处置意愿的影响——基于理性选择视角的分析", 《中国农村观察》 , 第 4 期 , 第 16–25 页。 |
| [13] | 俞海、 黄季焜、 ScottRozelle、 LorenBrandt、 张林秀 , 2003, "地权稳定性?土地流转与农地资源持续利用", 《经济研究》 , 第 9 期 , 第 82–91 页。 |
| [14] | 钟文晶、 罗必良 , 2014, "契约期限是怎样确定的——基于资产专用性维度的实证分析", 《中国农村观察》 , 第 4 期 , 第 42–51 页。 |
| [15] | 周曙东、 卞琦娟、 翁贞林、 朱红根、 张宗毅 , 2010, "种粮大户农地转入意愿影响因素的实证研究——以江西省为例", 《长江流域资源与环境》 , 第 10 期 , 第 1164–1170 页。 |
| [16] | 邹宝玲、 罗必良、 钟文晶 , 2016, "农地流转的契约期限选择——威廉姆森分析范式及其实证", 《农业经济问题》 , 第 2 期 , 第 25–32 页。 |
| [17] | Bergemann, D and Hege, U , 1998, "Venture Capital Financing, Moral Hazard, and Learning". Journal of Banking & Financing , 22 , 703–735. |
| [18] | Cheung, S.N. S. 1968, "Private Property Rights and Sharecropping". Journal of Political Economy , 76 (6) , 1107–1122. DOI:10.1086/259477 |
| [19] | Cheung, S.N. S. 1970, "The Structure of a Contract and the Theory of a Non-Exclusive Resource". The Journal of Law and Economics , 13 (1) , 49–70. DOI:10.1086/466683 |
| [20] | Feder, G. and Nishio, A. , 1999, "The benefits of land registration and titling economic and social perspective". Land Use Policy , 15 (1) , 25–43. |
| [21] | Hart, O and Moore, J. , 2008, "Contracts as Reference Points". Quarterly Journal of Economics , 123 (1) , 1–48. DOI:10.1162/qjec.2008.123.issue-1 |
| [22] | Pagano, M. and Volpin, P.F. , 2013, "Managers, Workers, and Corporate Control". Journal of Finance , 60 (2) , 841–868. |




