2. 中国航天科技集团有限公司 第四研究院 第四十一研究所, 西安 710025;
3. 中国航天科技集团有限公司 第四研究院, 西安 710025
2. The 41 st Institute of Fourth Academy of China Aerospace Science and Technology Corporation, Xi'an 710025, China;
3. The Fourth Academy of China Aerospace Science and Technology Corporation, Xi'an 710025, China
随着高机动性能战术导弹技术的发展, 对高横向过载下固体发动机的工作稳定性和安全性提出了越来越高的要求[1]。过载会引起燃烧室流场中的凝相粒子局部聚集,对发动机内流动和装药燃烧产生很大的影响,并恶化了发动机绝热层的工作环境[2-5]。对于含高铝粉推进剂的发动机来说,高过载引起燃烧室和喷管内部高速粒子流的局部聚集和冲刷,严重时会导致内绝热防护失效[6-8]。
国外20世纪60年代已经发现过载对火箭飞行性能和安全有重要影响,Corwe[9]和King[10]提出了燃烧物理模型和动力学模型。Greatrix[11]等建立了燃烧室和喷管内稳态和非稳态流动方程的数值模型、侵蚀燃烧模型,研究了横向过载对推进剂燃烧过程的影响。Sabnis[12]采用欧拉-拉格朗日方法模拟了过载条件下粒子轨迹在发动机内部的运动轨迹,认为150 μm的粒子受过载的影响强烈,而50 μm的粒子受气流的影响更为强烈。
国内关于过载条件下固体发动机的研究主要集中在燃烧室绝热层烧蚀方面,并取得了一定研究成果[13-15],在过载条件对喷管烧蚀的影响方面研究则较少, 主要为喷管内流场仿真研究[5,16-19]。何国强等[13]提出了固体发动机过载条件下内流场两相流计算方法,针对内孔装药结构燃烧室进行了纵、横向过载条件下两相流动数值模拟,结果表明,在壁面绝热层上存在粒子冲刷密度最大点,且该点随横向过载的增加而远离发动机后封头。李越森等[14]通过试验验证了横向加速度严重影响局部绝热层烧蚀的事实,认为该现象是由于横向加速度作用下燃气中Al2O3液态粒子偏离发动机中心线, 沿离心力方向大量沉积所致。许团委等[15]针对战术发动机的飞行条件,开展了3种典型中、小飞行过载下的流场计算,详细分析了燃烧室内凝相颗粒冲刷参数分布,并初步分析了颗粒聚集状态与绝热层烧蚀之间的关系。姜贵庆等[16]计算了中型喷管中的粒子轨迹,认为入口粒子冲击角对粒子轨迹有明显影响。淡林鹏等[17]利用颗粒轨道模型计算得出了长尾喷管中粒子运动的某些规律。刘洋等[18]对某长尾管发动机内的三维两相流动进行了数值模拟,认为横向过载对颗粒运动轨迹和聚集浓度影响显著,纵向过载影响小。张志峰等[19]应用随机轨道模型对长尾喷管发动机长尾段内流场进行了数值模拟,研究3种不同颗粒直径分布下颗粒的运动轨迹和颗粒在壁面聚集浓度的区别。
固体发动机工作过程中,过载条件对燃烧室绝热层烧蚀和喷管收敛段烧蚀均会产生重要影响,但目前暂未见到综合考虑过载对燃烧室和喷管影响的相关报道。为此,本文采用CFD方法[20],针对某端面燃烧的固体发动机,开展了过载条件下固体发动机内流场仿真研究,首次同时考虑了过载条件对燃烧室和喷管粒子浓度的综合作用,分析了过载条件对凝相粒子运动规律及壁面粒子浓度分布的影响,并阐明了过载条件引起壁面粒子浓度增大的原因。
1 理论模型和边界条件 1.1 理论模型与常规固体发动机两相流内流场仿真相比,本文发动机内流场仿真过程中引入了与何国强[9]、许团委[16]等相同的过载条件。计算过程中,把气相作为连续相,采用可压缩黏性平均N-S方程的数值解和湍流模型来求解发动机流场;颗粒相作为离散相进行处理,采用颗粒轨道模型;使用迎风格式离散对流项,中心差分格式离散黏性项,一阶后差格式离散时间项。内流场仿真过程中,作出如下假设:1)气相满足理想气体状态方程,比热比为常数;2)不考虑气相化学反应;3)不考虑颗粒相的燃烧、蒸发、破碎过程;4)不考虑两相间能量的交换;5)不考虑气相及颗粒相的湍流效应。
某试验发动机为端面燃烧药柱结构,与翼柱形药柱相比,虽然在燃烧室部位粒子聚集状态会存在较大差异,但在喷管部位粒子聚集状态较为相似。本文以推进剂已燃烧的燃烧室空腔部分和整个喷管作为计算域,计算域最大直径ϕ0.4 m,长度1.488 m;采用结构化网格对称模型进行网格划分,最终确定网格数量为28.3万,网格划分结果见图 1。以发动机壁面燃气压强作为判据,针对28.3万和46.1万网格进行了无关性校验(见图 2),二者计算结果无明显差异。
|
图 1 网格划分模型 Fig.1 Grid of calculation model |
|
图 2 两种网格下压强曲线计算结果 Fig.2 Calculation results for two kinds of grid |
本文计算中涉三类边界条件:出口边界条件,固体壁面边界条件和加质壁面边界条件。出口边界条件为环境压强和温度;固体壁面采用黏附条件,壁面绝热;在加质入口,设定粒子的质量流率。针对加质壁面边界条件,考虑到本模型具体工况,使用文献[21]的结果,采用颗粒直径的Rosin-Rammler分布,分布指数取3.5,粒度分布范围为10~120 μm,粒径峰值为70 μm。此外,根据仿真需求,给定相应的过载条件。
为了分析过载条件对发动机凝相粒子运动的影响规律,针对几种不同组合过载条件进行了内流场仿真计算,详见表 1。其中,横向过载表示为xy平面朝y方向的过载,轴向过载为沿x轴方向的过载。
| 表 1 发动机内流场计算条件 Table 1 Conditions of SRM field simulation |
|
|
图 3~图 5给出了算例1#、5#、9#粒子迹线图,图中颜色表示粒子在发动机中的停留时间。对于有过载和无过载情况,粒子撞击到壁面后若未被壁面吸附,将发生反弹,继续随气流流出喷管;随着过载条件的加入,会引起粒子在发动机内部停留时间的增加,算例5#和算例9#由无过载的0.0481 s分别增加到0.17 s和0.0743 s。
|
图 3 无过载粒子迹线图(单位:s) Fig.3 Particle residence time without overload (unit:s) |
|
图 4 横向过载40g时的粒子迹线图(单位:s) Fig.4 Particle residence time under 40g lateral overload (unit:s) |
|
图 5 横向过载40g、轴向过载40g时的粒子迹线图(单位:s) Fig.5 Particle residence time under 40g lateral and 40g axial overload (unit:s) |
分析认为,无过载时粒子与壁面的撞击主要发生在喷管收敛段,纯横向过载作用下粒子与燃烧室壁面和喷管收敛段壁面均发生撞击,粒子与燃烧室壁面撞击后反弹继续随气流运动,粒子与燃烧室壁面撞击改变了粒子的运动轨迹,撞击和反弹过程中粒子的速度较小,增加了粒子在低速度状态下的运动行程,最终导致粒子在发动机内部停留时间的增加;在横向过载不变的情况下,加入轴向过载后,再次改变了粒子的运动轨迹,使得粒子在燃烧室壁面的撞击区域朝着喷管方向移动,增大了粒子与燃烧室壁面撞击和反弹过程的速度,减小了粒子停留时间。因此,针对文中的计算条件,无过载时粒子停留时间最短,单纯横向过载时粒子停留时间最长,在横向过载不变时引入轴向过载后粒子停留时间在两者之间。
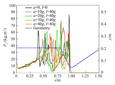
2.2 横向过载对壁面粒子分布的影响图 6给出了不同横向过载条件下壁面粒子浓度分布,表 2给出了横向过载方向壁面最大粒子浓度对比情况,其中,Pc表示粒子浓度,x表示发动机轴向位置,y表示发动机径向位置,粒子浓度是通过Workbench自带的功能提取。从图中可以看出,在纯横向过载作用下,喷管扩张段壁面粒子浓度为零,表明粒子通过喷管喉部后不会撞击到扩张段壁面,而是随中心区主流燃气一起流出喷管,即在喉部后形成文献[14]描述的粒子自由区。
|
图 6 不同横向过载下壁面粒子浓度分布计算结果 Fig.6 Calculation results of wall particle concentration distribution under different lateral overload |
| 表 2 横向过载下壁面最大粒子浓度计算结果 Table 2 Results of maximum particle concentration under lateral overload |
|
|
从图 6和表 2可以看出,随着横向过载的增大,过载方向燃烧室筒段和喷管收敛段局部区域最大粒子浓度总体上呈增大的趋势,且沿着发动机轴线方向燃烧室筒段和喷管收敛段粒子聚集区域逐渐扩大。此外,随着横向过载的增大,燃烧室筒段壁面和喷管收敛段壁面存在粒子浓度局部增大的区域,呈现多峰分布现象,峰数与横向过载大小有关,10g~30g以下呈双峰分布,40g时呈三峰分布。
分析认为,在横向过载的作用下,粒子朝着过载方向发生偏转,不利于粒子的随流性,增大了粒子与燃烧室壁面和喷管收敛段壁面局部区域的撞击频率,从而引起粒子在燃烧室和喷管收敛段局部区域聚集,导致该区域粒子浓度的增大,且局部区域粒子浓度随着横向过载的增加而逐渐增大。
2.3 组合过载对壁面粒子分布的影响图 7给出了不同横向过载和轴向过载条件下壁面粒子浓度分布,其中a表示为轴向过载,l表示为横向过载。表 3给出了不同过载条件横向过载方向壁面最大粒子浓度对比情况。在横向过载和轴向过载共同作用下,喷管扩张段壁面粒子浓度依然为零,表明粒子通过喷管喉部后仍旧不会撞击到扩装段壁面,同样随中心区主流燃气一起流出喷管。
|
图 7 不同横向和轴向组合过载下的壁面粒子 Fig.7 Calculation results of wall particle concentration distribution under different lateral and axial combined overload |
| 表 3 组合过载下壁面最大粒子浓度计算结果 Table 3 Results of maximum particle concentration under different overload |
|
|
从表 3可以看出,保持横向过载40g不变,轴向过载引起燃烧室最大粒子浓度向喷管方向移动,轴向过载20g和30g时燃烧室壁面最大粒子浓度更大,轴向过载40g时最大粒子浓度开始下降,故存在与最大粒子浓度相对应的轴向过载临界点;由图 7中可以看出,随着轴向过载的增大,沿着发动机轴线方向燃烧室筒段粒子聚集区域先缩小后扩大,在轴向20g时粒子聚集区域最小。随着轴向过载的增大,喷管收敛段最大粒子浓度呈下降趋势,且沿着发动机轴线方向喷管收敛段粒子聚集区域逐渐缩小。此外,在横向过载和轴向过载共同作用下,燃烧室筒段壁面和喷管收敛段壁面粒子浓度均存在粒子浓度局部增大的区域,依然呈多峰分布现象,以三峰分布为主。
分析认为,与单纯横向过载相比,轴向过载的加入再次改变了粒子的运动方向。在燃烧室区域,粒子运动速度较低,轴向过载将增大粒子的运动速度,导致粒子向综合过载方向运动并与燃烧室壁面发生撞击,造成局部粒子浓度的增大,最大粒子浓度与轴向过载直接相关;在喷管收敛段区域,粒子运动速度较高,轴向过载加强了粒子的随流性,导致喷管收敛段壁面最大粒子浓度的下降。
研究表明,发动机绝热层烧蚀受粒子冲刷影响较为严重,喷管烧蚀受热化学烧蚀和机械剥蚀的双重作用,而粒子冲刷是机械剥蚀的主因,发动机在过载条件下工作更是如此,故粒子聚集将加剧局部位置的绝热层烧蚀。因此,在发动机设计过程中,针对燃烧室和喷管粒子浓度聚集部位,应该根据不同的过载大小、过载时间适应性地加厚绝热层,从而有效提高发动机的工作可靠性。
3 结论通过本文的研究,主要得出以下结论:
1) 横向过载会改变粒子的运动轨迹,引起粒子处于更低速度状态与发动机壁面发生碰撞,导致处于低速度状态下粒子在发动机内部运动距离的增加,最终造成粒子在发动机内部停留时间的增大。
2) 横向过载会引起粒子在过载方向发动机内壁面局部区域的聚集,导致该区域粒子浓度的增大,该聚集区域存在于燃烧室筒段壁面和喷管收敛段壁面,粒子聚集区域的数量与过载条件密切相关。
3) 在单纯横向过载下,随着横向过载的增加,聚集区域壁面粒子浓度不断增大;当存在轴向过载时,会再次改变粒子的运动轨迹,导致局部区域壁面粒子浓度的改变。
研究表明,粒子与壁面撞击时会产生热增量,后续可开展相关研究,分析过载对发动机绝热层烧蚀的影响规律。
| [1] |
曹军, 郭颜红, 邢强. 高过载条件下固体火箭发动机工作稳定性研究[J]. 航空兵器, 2014(1): 33-36. CAO J, GUO Y H, XING Q. Research on the working stabilization of solid rocket motor under high overload[J]. Aero Weaponry, 2014(1): 33-36. (in Chinese) |
| [2] |
刘洋.高过载固体发动机内流场模拟试验技术[D].西安: 西北工业大学, 2004. LIU Y. The experimental simulation technique of flow field under high acceleration condition[D]. Xi'an: Northwestern Polytechnical University, 2004. (in Chinese) |
| [3] |
李江, 何国强, 陈剑, 等. 高过载条件下绝热层烧蚀实验方法研究(Ⅱ)收缩管聚集法[J]. 推进技术, 2004, 25(3): 196-198. LI J, HE G Q, CHEN J, et al. Study of experimental method for ablation of insulator of SRM with high acceleration (Ⅱ) Convergent tube experimental method[J]. Journal of Propulsion Technology, 2004, 25(3): 196-198. DOI:10.13675/j.cnki.tjjs.2004.03.002 (in Chinese) |
| [4] |
刘洋, 李江, 杨飒, 等. 过载条件下EPDM绝热材料烧蚀机理和模型研究(Ⅰ):烧蚀机理分析[J]. 固体火箭技术, 2011, 34(2): 229-233. LIU Y, LI J, YANG S, et al. Investigation on ablation mechanism and model of EPDM insulator under high acceleration condition(Ⅰ):Analysis of ablation mechanism[J]. Journal of Solid Rocket Technology, 2011, 34(2): 229-233. (in Chinese) |
| [5] |
高峰, 王建辉, 马岑睿. 高过载下固体火箭发动机长尾喷管两相流场数值模拟[J]. 空军工程大学学报(自然科学版), 2012, 13(1): 1-5. GAO F, WANG J H, MA C R. Numerical simulation of the tail nozzle pipe of heat transfer in high acceleration[J]. Journal of Air Force Engineering University (Natural Science Edition), 2012, 13(1): 1-5. (in Chinese) |
| [6] |
谢文超, 徐东来, 蔡选义, 等. 空空导弹推进系统设计[M]. 北京: 国防工业出版社, 2007. XIE W C, XU D L, CAI X Y, et al. Design of air to air missile propulsion system[M]. Beijing: National Defence Industry Press, 2007. (in Chinese) |
| [7] |
郭颜红, 梁晓庚, 陈斌. 大过载下固体火箭发动机工作过程仿真的数学模型[J]. 航空兵器, 2008(1): 21-25. GUO Y H, LIANG X G, CHEN B. Working process simulation of solid rocket motor with high acceleration load[J]. Aero Weaponry, 2008(1): 21-25. (in Chinese) |
| [8] |
武渊, 何国强, 孙展鹏, 等. 过载对固体火箭发动机性能影响试验研究[J]. 固体火箭技术, 2010, 33(5): 511-514. WU Y, HE G Q, SUN Z P, et al. Experiment study of effects induced by overload on SRM performance[J]. Journal of Solid Rocket Technology, 2010, 33(5): 511-514. (in Chinese) |
| [9] |
CROWE C. Modeling fluid-particle flows-Current status and future directions[C]//30th Fluid Dynamics Conference. 1999: AIAA-99-3690.
|
| [10] |
KING M K. Critical review:modeling of acceleration effects on solid propellant combustion[J]. AIAA Journal, 1976, 14(1): 18-25. DOI:10.2514/3.61329 |
| [11] |
GREATRIX D R. Structural vibration and solid rocket combustion instability[J]. Canadian Aeronautics & Space Journal, 1998, 44(1): 9-24. |
| [12] |
SABNIS J S, DE JONG F J, GIBELING H J. Calculation of particle trajectories in solid-rocket motors with arbitrary acceleration[J]. Journal of Propulsion and Power, 1992, 8(5): 961-967. DOI:10.2514/3.23579 |
| [13] |
何国强, 王国辉, 蔡体敏, 等. 过载条件下固体发动机内流场数值模拟[J]. 推进技术, 2002, 23(3): 182-185. HEG Q, WANG G H, CAI T M, et al. Numerical simulation on 3-D two-phase flow field in SRM with acceleration load[J]. Journal of Propulsion Technology, 2002, 23(3): 182-185. (in Chinese) |
| [14] |
李越森, 叶定友, 利凤祥. 横向加速度对飞行发动机绝热层烧蚀影响的实验研究[J]. 航空动力学报, 2004, 19(2): 278-282. LI Y S, YE D Y, LI F X. An experimental study of SRM insulation erosion performance under transverse g-load in flight[J]. Journal of Aerospace Power, 2004, 19(2): 278-282. (in Chinese) |
| [15] |
田维平, 许团委, 王健儒. 过载下燃烧室粒子特性与绝热层烧蚀研究进展[J]. 固体火箭技术, 2015, 38(1): 30-36, 66. TIANW P, XU T W, WANG J R. Progress on condensed-phase particle characteristic and insulation ablation in SRM chamber with flight overload[J]. Journal of Solid Rocket Technology, 2015, 38(1): 30-36, 66. (in Chinese) |
| [16] |
姜贵庆, 王淑华, 王岩. 固体发动机喷管内两相流的有限元数值模拟[J]. 空气动力学学报, 1991, 9(1): 58-66. JIANGG Q, WANG S H, WANG Y. Finite element numerical simulation of two-phase flow in nozzle for solid rocket motor[J]. Acta Aerodynamica Sinica, 1991, 9(1): 58-66. (in Chinese) |
| [17] |
淡林鹏, 张振鹏, 赵永忠, 等. 长尾喷管中粒子运动轨迹的数值模拟[J]. 航空动力学报, 2003, 18(2): 258-263. DANL P, ZHANG Z P, ZHAO Y Z, et al. Numerical study of particle trajectories in a nozzle with a tail pipe[J]. Journal of Aerospace Power, 2003, 18(2): 258-263. (in Chinese) |
| [18] |
刘洋, 何国强, 李江, 等. 过载条件下长尾喷管发动机三维两相流场数值研究[J]. 弹箭与制导学报, 2006, 26(1): 421-424. LIU Y, HE G Q, LI J, et al. Numerical study on 3D two-phase flow field for tail-pipe nozzle SRM under high acceleration[J]. Journal of Projectiles, Rockets, Missiles and Guidance, 2006, 26(1): 421-424. DOI:10.15892/j.cnki.djzdxb.2006.s2.028 (in Chinese) |
| [19] |
张志峰, 刘洋, 蔡体敏. 随机颗粒轨道模型在长尾喷管发动机流场计算中的应用[J]. 固体火箭技术, 2007, 30(5): 376-380. ZHANG Z F, LIU Y, CAI T M. Application of stochastic trajectory model in tail-nozzle SRM flow field numerical simulation[J]. Journal of Solid Rocket Technology, 2007, 30(5): 376-380. (in Chinese) |
| [20] |
王运涛, 刘刚, 陈作斌. 第一届航空CFD可信度研讨会总结[J]. 空气动力学学报, 2019, 37(2): 247-261. WANG Y T, LIU G, CHEN Z B. Summary of the first aeronautical computational fluid dynamics credibility workshop[J]. Acta Aerodynamica Sinica, 2019, 37(2): 247-261. (in Chinese) |
| [21] |
许团委, 田维平, 王建儒. 中、小过载下战术发动机内流场数值模拟[J]. 推进技术, 2015, 36(4): 532-539. XUT W, TIAN W P, WANG J R. Numerical simulation of flow field of tactical SRM with low and medium acceleration[J]. Journal of Propulsion Technology, 2015, 36(4): 532-539. (in Chinese) |
2020, Vol. 38

