边界层转捩准确预测问题是高超声速飞行面临的主要气动问题之一[1],边界层流动状态直接影响飞行器表面热流、摩擦阻力和分离区等,进而影响高超声速飞行器的气动力/热性能、飞行稳定性、进气道起动性能和发动机燃烧性能等。边界层转捩是一个多因素耦合影响的强非线性复杂流动物理现象,其与来流噪声、马赫数、雷诺数、迎角、壁面温度、前缘钝度、粗糙度和壁面催化等众多因素有关[2]。从1883年雷诺在实验中发现两种流动状态,至今已经一个多世纪,边界层转捩和湍流问题依旧没有建立完备的理论体系。目前的实验手段和数值模拟方法[3-6]仍旧无法完全模拟边界层转捩问题[7],对边界层转捩的预测能力存在不尽如人意之处,尤其是在高超声速领域,主要原因是对边界层转捩现象及机理认识不清。欲实现高超声速边界层转捩的准确预测,首先需要对边界层转捩现象有清晰的认识,摸清边界层转捩过程与机理,才能对边界层转捩过程进行准确建模。
在高超声速圆锥模型边界层转捩研究中,人们发现有迎角条件下,模型表面会出现条纹结构。早在1969年,McDevitt和Mellenthin[8]就在高超声速圆锥模型表面油流实验中观察到了条纹结构。Schneider[9-12]、Heitmann[13-14]、Sebastian[15]、Saric[16]、Berridge[17-18]、Chen[19]、Sivasubramanian[20-21]和Ji[22]等对条纹结构的产生机理开展了研究工作。总结前人研究结果,认为条纹结构的产生机制可以分为三类:①高超声速圆锥上条纹结构可能是低速时出现的横流失稳在高超声速下的表现[9-16];②条纹结构是Görtler涡、Görtler涡与第二模态干扰[17-18]或第二模态的二次失稳所致[17-21];③条纹结构是边界层内不同频率扰动波相互作用产生[22]。
综上所述,虽然对圆锥模型表面边界层失稳过程中的条纹结构开展了大量的研究工作,对条纹结构出现条件和分布规律取得了一些认识,但对条纹结构的研究尚不充分,条纹结构的产生机制尚存争议。基于此,本文以半锥角7°的圆锥模型为研究对象,采用红外热图技术[23]在常规高超声速风洞中开展实验研究,旨在厘清有迎角条件下圆锥模型表面边界层失稳过程中条纹结构的分布特征与规律,探究条纹结构的产生机制。
1 实验模型圆锥模型半锥角为7°,前缘半径R=1.6 mm,全长476 mm,模型共分为三段:钢制头部、PEEK(polyether ether ketone)材质中段和钢制模型底座, 如图 1所示。为了保证模型强度和刚度,模型头部、内芯与底座采用30CrMnSi制成,为了满足红外热像仪的拍摄需求,模型中段采用发射率高导热系数低的PEEK材料制成。模型周向角定义如图 2所示。
|
图 1 圆锥模型及风洞实验照片 Fig.1 Cone model and tunnel test photos |
|
图 2 周向角的定义示意图 Fig.2 Definition of circumferential angle |
实验在中国航天空气动力技术研究院FD-07常规高超声速风洞[24]中进行,该风洞是暂冲、下吹自由射流式风洞(图 3)。喷管出口直径0.5 m,马赫数范围4~8,通过更换喷管改变来流马赫数。实验段内安装变迎角机构,迎角变化范围为-15°~50°。实验段侧壁开有Φ350 mm窗口,通过更换不同材质的玻璃窗口,可以实现纹影拍摄或红外拍摄。红外观察窗玻璃窗口为硅玻璃,其表面镀有消反射膜和红外增透膜,使得其在3.7~4.8 μm波段的透射率满足实验要求。
|
图 3 FD-07高超声速风洞 Fig.3 FD-07 hypersonic wind tunnel |
红外热像仪采用制冷型MCT探测器,光谱范围为3.7~4.8 μm,热灵敏度<25 mK,测温精度为±1 ℃,像素640×512,测温范围-10~1200 ℃,镜头焦距25 mm,帧频最高达120 Hz。红外热图测量系统如图 4所示。
|
图 4 红外热图测量系统 Fig.4 Infrared thermography system |
模型表面发射率、红外窗口透射率和模型材料的热物性参数均由具有检验资质的研究机构测量获得。
2.3 实验过程风洞实验来流条件和红外热像仪拍摄参数列于表 1和表 2中。风洞实验前,模型表面温度为室温。风洞开启后,红外热像仪开始采集记录,待风洞实验流场建立并稳定后,采用插入机构将实验模型由上向下快速插入高超声速流场中心,实时记录模型表面温度变化,稳定5 s后,模型移出风洞流场,实验结束。取在流场中第5 s时刻模型表面温度分布进行后续条纹结构分析。
| 表 1 实验来流参数 Table 1 Test condition |
|
|
| 表 2 红外热像仪拍摄参数 Table 2 Infrared camera parameters |
|
|
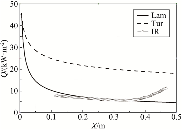
采用“厚壁模型”数据处理方法[25]计算获得的0°迎角下圆锥模型表面中心线热流分布如图 5所示,在X<0.35 m区域,测量获得的中心线热流与工程算法[25]层流热流吻合较好,在X≈0.35 m位置,中心线热流开始升高,直到模型尾部,一直呈升高趋势,说明在X<0.35 m的区域圆锥模型表面为层流流动,在X≈0.35 m位置开始发生转捩现象,但是直到模型尾部,转捩进程并未结束,对应的转捩雷诺数ReT≈5.25×106。
|
图 5 圆锥模型中心线热流分布(0°迎角) Fig.5 Heat flux along cone model centerline (0° angle of attack) |
图 6为7°迎角下圆锥模型表面温度分布,由于每次风洞实验前,模型表面温度均匀一致,因此模型表面的温度分布与模型表面的热流分布趋势完全一致。由温度分布可以判断,在7°迎角下,圆锥模型表面的边界层转捩位置呈现迎风面靠后,背风面靠前,模型侧面转捩较早发生的分布特征。在圆锥模型表面存在大量的条纹结构,条纹起始于模型迎风面或侧面的层流区,沿流向逐渐变宽变强,向背面风中心汇聚,且条纹的起始位置和强度在周向位置上存在差异。随着周向角的增加,条纹结构的起始位置向上游移动。
|
图 6 模型表面温度分布(侧面,7°迎角) Fig.6 Distribution of surface temperature (side view, 7° angle of attack) |
图 7为不同迎角下模型侧面温度分布,对比发现,随着迎角增加,模型表面条纹结构的起始位置向上游移动,条纹结构强度差异越来越大。另外,随着模型迎角的增加,模型表面条纹与模型中心线的夹角逐渐增加。
|
图 7 不同迎角下模型表面温度分布(侧面) Fig.7 Distribution of surface temperature at different angle of attack (side view) |
在条纹结构实验研究中,主要采用油流法、温敏漆技术(TSP)和红外热图技术进行条纹结构的显示与测量,其中油流法获得的条纹结构直接与模型表面流线相关,条纹结构遍布整个模型表面,其起始于迎风面,向背风面延伸,这种条纹结构是由横流涡产生。采用TSP或者红外热图技术获得的条纹结构直接与模型表面温度和热流相关,其一般出现在模型中后段,其同样起始于模型迎风面,向背风面发展,针对这种条纹结构的产生机理尚存争议。
文献[22]采用直接数值模拟的方法对圆锥模型边界层内扰动波的发展进行了研究,在计算域入口处引入不同频率的扰动波。模拟结果发现边界层内不同频率的扰动波相互作用会产生条纹结构,图 8给出的是扰动速度的最大值等值面时均分布结果,条纹结构在模型中后段出现,随着周向角的增加,条纹结构的起始位置向上游移动,计算获得的条纹结构分布规律与风洞实验结果吻合。由此推测,有迎角条件下,边界层内不同频率扰动波相互作用是圆锥模型表面条纹结构产生的一种机制。
4 结论以半锥角7°圆锥模型为研究对象,采用红外热图技术在高超声速风洞中开展边界层转捩测量实验,通过对比分析,获得以下结论:
1) 有迎角条件下,在模型表面中后段出现条纹结构,条纹的起始位置随周向角的增加向上游移动,条纹的宽度与强度沿流向逐渐增加;
2) 随着迎角的增加,条纹结构的起始位置向上游移动,条纹强度差异和条纹与模型中心线的夹角越来越大。
3) 风洞实验与直接数值模拟获得的条纹结构特征相同,边界层内不同频率扰动波相互作用是产生条纹结构的一种机制。
致谢: 感谢张婷婷在风洞实验测量方面的协助,感谢文帅在数据处理方面的帮助。
| [1] |
余平, 段毅, 尘军. 高超声速飞行的若干气动问题[J]. 航空学报, 2015, 36(1): 7-23. YU P, DUAN Y, CHEN J. Some aerodynamic issues in hypersonic flight[J]. Acta Aeronautica et Astronautica Sinica, 2015, 36(1): 7-23. (in Chinese) |
| [2] |
ANDERSON J D. Hypersonic and high temperature gas dynamics[M]. McGraw-Hill Book Company, 1989.
|
| [3] |
王绍楠, 韩忠华, 宋文萍. 一种数据驱动的翼型流动转捩预测方法[J]. 气体物理, 2017, 2(3): 5-16. WANG S N, HAN Z H, SONG W P. A data-driven transition predication method for flows over airfoils[J]. Physics of Gases, 2017, 2(3): 5-16. (in Chinese) |
| [4] |
周玲, 阎超, 郝子辉, 等. 转捩模式与转捩准则预测高超声速边界层流动[J]. 航空学报, 2015, 36(04): 1092-1102. ZHOU L, YAN C, HAO Z H, et al. Transition model and transition criteria for hypersonic boundary layer flow[J]. Acta Aeronautica et Astronautica Sinica, 2015, 36(1): 7-23. (in Chinese) |
| [5] |
戚琼, 韩庆. 基于Spalart-Allmaras-γ-Re_(θt)转捩模型的横流不稳定性转捩预测方法[J]. 气体物理, 2016, 1(3): 19-24. QIN Q, HAN Q. Prediction method of cross-flow instabilities-induced transition based on Spalart-Allmaras-γ-Re_(θt) transition model[J]. Physics of Gases, 2016, 1(3): 19-24. (in Chinese) |
| [6] |
DUAN Z W, XIAO Z X, FU S. Direct numerical simulation of hypersonic transition induced by an isolated cylindrical roughness element[J]. Science China (Physics, Mechanics & Astronomy), 2014, 57(12): 2330-2345. |
| [7] |
李锋, 杨武兵, 王强, 等. 高超声速气动试验模拟现状与面临的新挑战[J]. 气体物理, 2016, 1(2): 1-9. LI F, YANG W B, WANG Q, et al. Status of ground test for hypersonic aerodynamics and its new challenge[J]. Physics of Gases, 2016, 1(2): 1-9. (in Chinese) |
| [8] |
MCDEVITT J B, MELLENTHIN J A. Upwash patterns on ablating and nonablating cones at hypersonic speeds[R]. NASA Technical Note TN-D-5346, 1969.
|
| [9] |
SWANSON E O, SCHNEIDER S P. Boundary-layer transition on cones at angle of attack in a Mach-6 quiet tunnel[R]. AIAA 2010-1062, 2010.
|
| [10] |
WARD C, HENDERSON R, SCHNEIDER S. Possible secondary instability of stationary crossflow vortices on an inclined cone at Mach 6[R]. AIAA 2015-2773, 2015.
|
| [11] |
EDELMAN J B, SCHNEIDER S P. Secondary instabilities of hypersonic stationary crossflow waves[R]. AIAA Paper 2016-3343.
|
| [12] |
EDELMAN J, CASPER K M, HENFLING J, et al. Crossflow transition on a pitched cone at Mach 8[C]//47th AIAA Fluid Dynamics Conference. 2017: 4299.
|
| [13] |
MUÑOZ F, HEITMANN D, RADESPIEL R. Instability modes in boundary layers of an inclined cone at Mach 6[R]. AIAA 2012-2823, 2012.
|
| [14] |
HEITMANN D, RADESPIEL R E. Hypersonic transition experiments in 3D cone flow with new measurement techniques[R]. Technical Univ Braunschweig (Germany) Inst of Fluid Mechanics, 2012.
|
| [15] |
WILLEMS S, GVLHAN A, JULIANO T J, et al. Laminar to turbulent transition on the HIFiRE-1 cone at Mach 7 and high angle of attack[C]//52nd Aerospace Sciences Meeting. 2014: 0428.
|
| [16] |
CRAIG S A, SARIC W S. Crossflow instability in a hypersonic boundary layer[J]. Journal of Fluid Mechanics, 2016, 808: 224-244. DOI:10.1017/jfm.2016.643 |
| [17] |
BERRIDGE D, CHOU A, WARD C, et al. Hypersonic boundary-layer transition experiments in a Mach 6 quiet tunnel[R]. AIAA 2010-1061, 2010.
|
| [18] |
BERRIDGE D, WARD C, LUERSEN R, et al. Boundary-layer instability measurements in a Mach-6 quiet tunnel[R]. AIAA 2012-3147, 2012.
|
| [19] |
CHEN X, ZHU Y, LEE C. Interactions between second mode and low-frequency waves in a hypersonic boundary layer[J]. Journal of Fluid Mechanics, 2017, 820: 693-735. DOI:10.1017/jfm.2017.233 |
| [20] |
SIVASUBRAMANIAN J, FASEL H F. Direct numerical simulation of transition in a sharp cone boundary layer at Mach 6:fundamental breakdown[J]. Journal of Fluid Mechanics, 2015, 768: 175-218. DOI:10.1017/jfm.2014.678 |
| [21] |
SIVASUBRAMANIAN J, HERMANN F. Direct numerical simulation of laminar-turbulent transition in a flared cone boundary layer at Mach 6[R]. AIAA 2016-0846, 2016.
|
| [22] |
JI F, GUAN F, SHEN Q. An interferential streak instability of boundary layer over a cone at Mach 6[C]//51st AIAA Aerospace Sciences Meeting including the New Horizons Forum and Aerospace Exposition. 2013: 525.
|
| [23] |
CARLOMAGNO G M, CARDONE G. Infrared thermography for convective heat transfer measurements[J]. Exp Fluids, 2010, 49: 1187-1218. DOI:10.1007/s00348-010-0912-2 |
| [24] |
纪锋, 解少飞, 沈清. 高超声速1 MHz高频脉动压力测试技术及其应用[J]. 空气动力学学报, 2016, 34(5): 587-591. JI F, XIE S F, SHEN Q. Hypersonic high frequency (1 MHz) fluctuation pressure testing technology and application[J]. Acta Aerodynamica Sinica, 2016, 34(5): 587-591. (in Chinese) |
| [25] |
姜贵庆, 刘连元. 高速气流传热与烧蚀热防护[M]. 北京: 国防工业出版社, 2003. JIANG G Q, LIU L Y. Heat transfer of hypersonic gas and ablation thermal protection[M]. Beijing: National defense industry press, 2003. (in Chinese) |
2020, Vol. 38


