2. 国家计算流体力学实验室, 北京 100086
2. National Laboratory for Computational Fluid Dynamics, Beijing 100086, China
乘波构型是一种快速兴起的高超声速气动布局。乘波构型飞行器利用其自身特性产生的附体激波,将激波后的高压气体限制在下表面,使得很少流体会从下表面泄漏到上表面,从而极大提升气动特性。因此高升阻比是其相对于常规飞行器外形最显著的优势,此外乘波构型还具有设计过程简单及良好的一体化设计性能等特点[1]。
基于乘波构型以上优点,国内外对其开展了广泛的研究,Nonweiler[2]、Starkey[3-4]、张杰[5]等对楔导乘波构型进行了研究,Rasmussen[6]、Ohta[7-8]、刘济民[9]、刘建霞[10]等对锥导乘波构型进行了研究,贺旭照[11]、吴颖川[12]等对密切锥法进行了研究,陈冰雁[13]等对基于激波装配法的乘波构型进行了研究。有关乘波构型的设计方法目前相当成熟,但在实际工程中却应用比较少。这主要是由于乘波构型存在的两点不足:首先,理想乘波构型具有尖锐前缘,在高超声速条件下会导致强烈的气动加热;其次,乘波构型容积率低,不能有效容纳载荷;此外,目前许多设计方法生成的乘波外形很难调节,不利于对其气动特性规律的研究和工程应用。
边缘钝化可以有效缓解乘波构型前缘气动热环境恶劣的状况[14-15],陈小庆[16]针对移除和增加材料两类钝化方法进行了对比研究,韩汉桥[17]研究了高空多物理效应对其气动性能的影响,但目前对提高乘波构型飞行器有效容积和容积率的系统研究还较少。如何有效提高乘波构型容积率,同时保持良好的气动特性是本文研究的主要内容。
本文提出了一种给定容积空间的乘波构型上表面参数化设计方法,该方法方便控制乘波构型外形尺寸,可有效提升有效容积及容积率。
1 楔导乘波构型设计楔导乘波构型的前缘曲线及其上表面由幂函数定义,分为常楔角和变楔角两种生成方法。常楔角乘波构型如图 1所示,参数A、B是正的比例常数,幂指数n取值范围在0~1之间。为保证激波是平面的,即源于楔形流场,楔形角θ须为常数。通过控制这5个变量(A,B,n,L,θ)可生成不同乘波构形。
该方法是在假定前缘激波附体条件下设计乘波构形,并非所有变量都会得到有附体激波的、符合实际的外形。对有附体激波的下表面,β必须小于最大的激波附着角。激波附体的限制将变量减至四个:A、n、L、θ。
将该设计思路应用到非平面激波时,就成为变楔角生成法,该方法中前缘曲线及上表面的生成与常楔形角生成法一致,仅加入了第三个幂函数来控制下表面的形状。控制变量变为6个(n,m,w,l,θ,δ),如图 2所示。当n=m时,乘波构型退化为产生非平面激波的常楔角乘波构形;当n=m且δ=β时,退化为产生二维激波的常楔角乘波构形;当n=m=1且δ=β时,乘波构型退化为Nonweiler提出的Λ型乘波构形。
楔导乘波构型生成法是目前比较成熟且应用较广泛的一类方法,其主要优点是:参数化方法方便控制外形尺寸;可从简单的楔形流场出发,容易计算出精确解,对流场求解的要求不高;流场具有较好的均匀性,有利于进气道/前体一体化设计。考虑主要针对以提升容积率为目的的乘波构型上表面参数化设计,本文采用变楔角乘波构型生成法开展设计。上述变楔角乘波构型生成方法中各参数对飞行器气动性能的影响在文献[5]中已经过详细讨论,本文不再赘述,只对本文提出的影响上表面设计的参数进行研究。
2 确定有效容积飞行器不仅要有良好的气动外形,还要具有能够容纳更多载荷的有效容积,为了提高并控制乘波构型飞行器的有效容积,这里关注如何进行上表面参数化设计。本文将给定高度和上下表面半径的偏心圆台设为乘波构型有效容积对上表面进行设计。
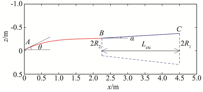
在经过前缘钝化后的乘波构型上表面设置代表有效容积的偏心圆台。按照幂数函数上表面设计方法[18]先给定纵向对称面的脊线,如图 3所示。脊线的长度为乘波构型的长度,其形状由偏心圆台长度Lctc、上下表面半径R2、R1及圆台中心线位置共同决定。而圆台中心线位置由偏心圆台几何参数和乘波构型下表面形状共同决定,目标是使得在圆台长度范围内乘波构型横截面内都可容纳对应的圆台截面圆。图 3中蓝线区域BC对应偏心圆台区域,红线区域AB通过前缘顶点A的位置、膨胀角θ、与偏心圆台相接处B点的位置及对应角度α采用Hermite插值函数确定:
| $ {H_{m + n{\rm{ }} + 1}}\left( x \right) = {p_n}\left( x \right) + {q_m}\left( x \right){\omega _{n + 1}}(x) $ | (1) |
|
图 3 上表面脊线 Fig.3 Ridgeline of upper surface |
其中:n+1为互异节点数,m+1为已知的节点导数值个数,
在得到上表面脊线之后,就可以沿乘波构型轴向设计各横截面内的上表面轮廓线。由于乘波构型关于其纵向中心面对称,研究其横截面一侧即可,以某一横截面为例,如图 4所示,图中绿色实线FCD表示该截面内的上表面原始轮廓线,红色实线ED表示下表面轮廓线,蓝色实线ABE表示相应的偏心圆台轮廓线,偏心圆台轮廓线和下表面轮廓线相切,在偏心圆台和上表面交点附近用一段相切圆弧连接,图中以O点为圆心的紫色圆弧在B点与偏心圆台相切,在C点与上表面相切。最终设计后的上表面轮廓线如图中ABCD曲线。
|
图 4 横截面设计方法 Fig.4 Design of cross section |
对主动冷却方式来说,钝化半径可取为1~3 cm[19],本文采用增加材料的钝化方法,钝化半径取乘波构型长度的0.25%(1.125 cm)。在钝化的基础上,通过图 4所示的给定容积上表面参数化设计法得到的乘波构型如图 5所示,绿色区域为乘波构型上表面,红色区域为乘波构型下表面,蓝色区域为钝化前缘区域。
|
图 5 给定容积空间设计的乘波构型 Fig.5 Waverider with volume expanded |
图 6是在前缘钝化的基础上将经给定容积上表面设计后得到的乘波构型与偏心圆台以及原始外形对比,紫色区域为偏心圆台,绿色区域为乘波构型上表面,红色区域为乘波构型下表面,蓝色区域为钝化前缘。由图可知,通过该方法实现了增大乘波构型有效容积的目标。
|
图 6 给定容积空间乘波外形与原始外形的对比图 Fig.6 Comparison between upper surface design waverider and original waverider |
本文在增大乘波构型有效容积的同时,也对反映容积与面积之间关系的容积效率进行了分析,研究了经给定容积上表面设计中不同参数对容积率的影响,容积效率的计算公式为:
| $ \eta = {V^{2/3}}/S $ | (2) |
其中,V为飞行器的容积;S为飞行器的参考面积,S有不同的取法,多数取为飞行器的表面浸润面积Sw或是投影面积Sp[4-20]。
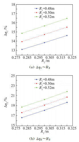
表 1为原始乘波构型和偏心圆台上下表面半径R2、R1选取不同数值的经上表面设计得到的乘波构型的几何参数。图 7分别是参考面积为浸润面积和投影面积时,设计后的乘波构型容积率较原始外形提升的百分比与半径R2、R1的关系曲线。由图 7可以看出,无论参考面积选取哪种,给定容积设计方法得到的乘波构型容积率较原始外形都得到较大提升,并且容积率增加的百分比与设计参数R2、R1呈线性关系。
| 表 1 两种乘波构型容积率对比 Table 1 Comparison of volume efficiency |
|
|
|
图 7 容积率变化曲线 Fig.7 Volume efficiency via radius |
为了研究给定容积空间上表面参数化设计对乘波构型气动性能的影响,对该方案下乘波构型的外流场进行了数值计算。
4.1 计算外形及网格采用CFD方法分析给定容积空间设计的前缘钝化乘波构型的气动性能。计算域网格采用Pointwise软件生成,由于飞行器外形是对称的,不考虑偏航状态,仅对一半构型的三维流场进行了数值模拟。计算网格采用六面体结构化网格。
为了充分考虑黏性的影响,在壁面和前缘附近布置了足够密集的网格。偏心圆台几何参数Lctc取飞行器长度的二分之一,R2=0.30 m、R1=0.48 m;文献[21]表明顶点膨胀角θ的增大可改善小迎角下的气动特性,本文θ取20°;脊线顶点位于钝化缘末端。利用Pointwise软件生成的乘波构型飞行器表面及计算域网格整体效果如图 8所示,网格量为144万。
|
图 8 给定容积空间乘波构型计算网格 Fig.8 Computational grid of waverider |
控制方程为时均N-S方程,在空间方向采用二阶迎风格式离散,时间项采用显示格式,采用标准k-ε湍流模型,在利用Pointwise软件进行网格划分时,可同时完成对边界条件类型的指定。对于压力远场条件,来流参数见表 2。壁面处按等温、无滑移处理,壁面温度设为1000 K。此外,文献[22, 23]指出乘波构型升阻比在正的小迎角下达到最大,故飞行迎角选取为2°。
| 表 2 自由流条件 Table 2 Freestream conditions for computation |
|
|
对前缘钝化、经给定容积空间上表面设计的变楔角乘波构型进行数值计算,以分析不同参数对乘波构型气动力的影响;同时也研究了不同迎角及马赫数飞行条件下的乘波构型飞行器的气动性能。
5.1 给定容积空间对气动特性的影响本节将从气动力角度出发,分析给定容积空间上表面设计对乘波构型气动力特性的影响规律,为乘波构型扩容方法研究提供参考。表 3是上表面未经给定容积设计和上节中经给定容积上表面设计的乘波构型气动力系数的比较,设计参数R2、R1的取值与上一节保持一致。相较于原始外形,经给定容积空间上表面设计的乘波构型升力系数小幅下降,原因是乘波构型的上下表面分开处理,因此上表面流场对下表面的高压流场影响很小,并且本文采取的设计方法对乘波构型前缘没有影响;阻力系数增大,主要原因在于上表面的扩容处理导致迎风面积的增大,从而增加阻力;两方面的作用导致升阻比下降约6%~8%,下降幅度较小,相较于其增大有效容积的作用,升阻比的小幅下降是可以接受的。
| 表 3 两种乘波构型升阻力系数对比 Table 3 Comparison of aerodynamic performance |
|
|
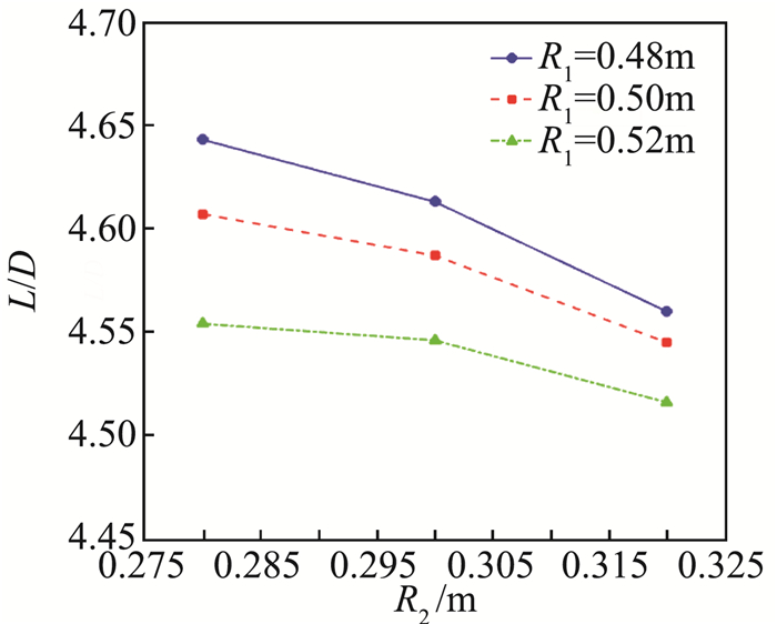
图 9是升阻比随设计参数R2、R1的变化曲线,可以看出升阻比随R2、R1的增加而降低,且随着R2增加升阻比降低的趋势减缓,而随着R1的增加升阻比下降的趋势变快。主要原因在于上表面迎风面积的大小主要由偏心圆台大圆半径决定,因此阻力对R1更加敏感。结合以上分析还可知乘波构型的容积率和气动特性是相互矛盾的关系,想要获得较高的有效容积及容积率就不可避免牺牲一定气动特性。
|
图 9 升阻比随半径变化曲线 Fig.9 L/D of waverider via radius |
图 10是对称面的压力分布,可以发现上表面前缘激波后的流动在逐渐膨胀,膨胀段主要集中在前段;图 11是乘波构型轴向不同位置横截面压力分布,可知上表面膨胀波的作用使得机身中后段的压强进一步下降,显著低于来流压强;由于对前缘进行了钝化,以及黏性的综合影响,在横截面内边缘处出现了溢流现象,但由于钝化半径较小,并且给定容积空间设计方法对上表面边缘区并无影响,因此激波脱体程度较小。总体来说,相较于采用自由流面的理想乘波构型,经钝化和给定容积空间设计的乘波构型改善了容积率低的缺点,并且依然具有良好的乘波特性,可以说该设计方法在高超声速乘波构型气动布局中的应用是成功的。
|
图 10 对称面压力分布 Fig.10 Pressure contour on symmetry plane |
|
图 11 横截面压力分布 Fig.11 Pressure contour on cross sections |
在实际飞行中,飞行器会以不同迎角飞行,因此经给定容积空间设计的前缘钝化乘波构型在不同迎角下的气动性能及流场特征同样需要引起关注。本节在表 1来流条件下,研究迎角对乘波构型气动性能的影响;基于分析结论,进一步对飞行姿态提出约束。
表 4为经给定容积空间设计的前缘钝化乘波构型飞行器的气动力系数随迎角(-2°、0°、2°、4°)的变化数据。
| 表 4 不同迎角下气动力系数的比较 Table 4 Comparison of aerodynamic coefficients at different angles of attack |
|
|
图 12为乘波构型的升、阻力系数随迎角的变化曲线和极曲线。随着迎角的增大,升力系数和阻力系数同时增大,但升力系数与迎角呈线性关系,阻力系数与迎角呈二次曲线关系,符合升阻力随迎角的变化关系。由升阻比变化曲线可知,该乘波构型的升阻比先上升后下降,当迎角由0°减小到-2°时,升阻比快速减小;在0°到4°的范围内升阻比都维持在4.5左右,升阻比较大,说明了经给定容积空间设计的乘波构型气动特性达到了预期的效果。
|
图 12 气动力系数随迎角变化曲线 Fig.12 Aerodynamic coefficients vs. angle-of-attack |
图 13是不同迎角下纵向对称面前部的压力分布。结合流场结构分析可知:迎角为负时,下表面激波对来流的偏转减小,减弱了激波的压缩作用,同时上表面形成激波后的高压流场,导致升力减小,升阻比降低,此时气动力性能损失十分严重;正迎角飞行时,随迎角增大,上表面前端膨胀更加明显,中后段压力降低,下表面的激波厚度变薄,更靠近乘波构型下表面,激波强度增大,压缩作用增强,激波后压力显著升高,使得升力增加,但波阻也随之增大,两方面的作用使得升阻比下降。气动力变化规律与文献[24]中的结果是相似的。
|
图 13 不同迎角下乘波构型对称面前部的压力分布 Fig.13 Pressure contour on symmetry plane via angle-of-attack |
从迎角对气动力性能的影响规律看,对于采用给定容积空间设计的前缘钝化乘波构型作为基本布局的高超声速飞行器,不宜采用负迎角飞行,其适合在小的正迎角下飞行,此时的气动力性能相对较优。
5.3 马赫数对气动特性的影响表 5给出了经给定容积空间设计的前缘钝化乘波构型飞行器的气动力系数随飞行马赫数(3、4、5、6、7、8)的变化数据。
| 表 5 不同马赫数下气动力系数对比 Table 5 Aerodynamic coefficients with different Mach numbers |
|
|
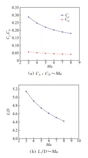
图 14为经给定容积空间设计的乘波构型在迎角为2°时的升、阻力系数随马赫数的变化曲线。由图可知,随着马赫数的增加,升力系数下降,故在马赫数较低时,乘波构型可以承载更多的载重,但随着飞行器加速的同时,燃料逐渐消耗,飞行器重量下降,因此随马赫数的增加,升力系数的下降是可以接受的;随着马赫数的增加,阻力系数也下降,但下降速率小于升力系数,造成升阻比略有下降,这符合高超声速时的L/D与Ma关系的一般规律;升阻比下降幅度较小,平均下降速率约为3%,此外随着马赫数增加,升阻比下降速率越来越小。总体上经给定容积空间设计的乘波构型在较大的马赫数范围内都能保持优良的气动特性。
|
图 14 气动力系数随马赫数变化曲线 Fig.14 Aerodynamic coefficients via Mach numbers |
本文在前缘钝化变楔角乘波构型的基础上,提出一种给定容积空间的乘波构型上表面参数化设计方案,并开展了前缘钝化研究,采用增加材料的方法进行钝化。比较了上表面不同设计参数对乘波构型有效容积率及气动性能的影响,采用数值方法对不同迎角及马赫数下的钝化后上表面参数化设计乘波构型的气动特性进行了研究,得到以下结论:
(1) 给定容积的上表面参数化设计方法可以有效增加乘波构型有效容积,并且仍具有良好的乘波特性。乘波构型容积率随偏心圆台半径R2、R1的增大得到较大提升。升阻比随R2、R1的增加而降低,且对R1更敏感。乘波构型的容积率和气动特性是相互矛盾的关系,需在不同设计工作中进行权衡。
(2) 采用给定容积空间设计的前缘钝化乘波构型不宜采用负迎角飞行,其适合在小的正迎角条件下飞行,并且在较大的马赫数范围内都能保持优良的气动特性。
| [1] |
赵桂林, 胡亮, 闻洁, 等. 乘波构形和乘波飞行器研究综述[J]. 力学进展, 2003, 33(3): 357-374. ZHAO G L, HU L, WEN J, et al. An overview of the research on waveriders and waverider-derived hypersonic vehicles[J]. Advances in Mechanics, 2003, 33(3): 357-374. DOI:10.3321/j.issn:1000-0992.2003.03.007 (in Chinese) |
| [2] |
NONWEILER T R F. Aerodynamic problems of manned space vehicles[J]. Aeronautical Journal, 1959, 63(585): 521-528. |
| [3] |
STARKEY R, LEWIS M. A simple analytical model for parametric studies of hypersonic waveriders[C]. AIAA International Space Planes and Hypersonic Systems and Technologies Conference. 2013: 516-523 https://arc.aiaa.org/doi/abs/10.2514/6.1998-1616
|
| [4] |
STARKEY R P, LEWISM J. Analytical off-design lift-to-drag-ratio analysis for hypersonic waveriders[J]. Journal of Spacecraft & Rockets, 2015, 37(37): 684-691. |
| [5] |
张杰, 王发民. 乘波器的参数化设计研究[J]. 空气动力学学报, 2008, 26(1): 115-118. ZHANG J, WANG F M. Parametric waveriders design method study[J]. Acta Aerodynamica Sinica, 2008, 26(1): 115-118. DOI:10.3969/j.issn.0258-1825.2008.01.022 (in Chinese) |
| [6] |
RASMUSSEN M L. Analysis of cone-derived waverider by hypersonic small-disturbance theory[C]//Proc of International Hypersonic Waverider Symp, 1990.
|
| [7] |
OHTA T, MATSUZAKI R. Flow visualization on lower surfaces of wave rider configurations at Mach 5.5[J]. Journal of Spacecraft & Rockets, 2012, 35(3): 405-407. |
| [8] |
OHTA T, MIYAGAWA T, MATSUZAKI R. Experimental study of cone-derived waveriders at Mach 5.5[J]. Journal of Spacecraft & Rockets, 2015, 34(4): 445-448. |
| [9] |
刘济民, 侯志强, 宋贵宝, 等. 高超声速巡航导弹乘波构型优化设计与性能分析[J]. 空气动力学学报, 2011, 29(1): 118-123. LIU J M, HOU Z Q, SONG G B, et al. Optimization design and aerodynamic characteristic analysis of waverider based hypersonic cruise missile configuration[J]. Acta Aerodynamica Sinica, 2011, 29(1): 118-123. DOI:10.3969/j.issn.0258-1825.2011.01.020 (in Chinese) |
| [10] |
刘建霞, 侯中喜, 陈小庆. 高超声速远程滑翔飞行器外形设计方法[J]. 导弹与航天运载技术, 2011(3): 1-5. LIU J X, HOU Z X, CHENX Q. Research on geometry design for hypersonic glide vehicle[J]. Missiles and Space Vehicles, 2011(3): 1-5. DOI:10.3969/j.issn.1004-7182.2011.03.001 (in Chinese) |
| [11] |
贺旭照, 倪鸿礼. 密切曲面锥乘波体——设计方法与性能分析[J]. 力学学报, 2011, 43(6): 1077-1082. HE X Z, NI H L. Osculating curved cone (OCC) waverider:design methods and performance analysis[J]. Chinese Journal of Theoretical and Applied Mechanics, 2011, 43(6): 1077-1082. (in Chinese) |
| [12] |
吴颖川, 贺元元, 贺伟, 等. 基于密切曲锥的乘波构型一体化飞行器设计方法研究[J]. 空气动力学学报, 2014, 32(1): 8-13. WU Y C, HE Y Y, HE W, et al. The design of osculating curved cone waverider based hypersonic vehicle[J]. Acta Aerodynamica Sinica, 2014, 32(1): 8-13. (in Chinese) |
| [13] |
陈冰雁, 刘传振, 纪楚群. 基于激波装配法的乘波体设计与分析[J]. 空气动力学学报, 2017, 35(3): 421-428. CHEN B Y, LIU C Z, JIC Q. Waverider design and analysis based on shock-fitting method[J]. Acta Aerodynamica Sinica, 2017, 35(3): 421-428. DOI:10.7638/kqdlxxb-2017.0039 (in Chinese) |
| [14] |
刘济民, 侯志强, 宋贵宝, 等. 乘波构型的钝化方法及其对性能影响研究[J]. 宇航学报, 2011, 32(5): 966-974. LIU J M, HOU Z Q, SONG G B, et al. Blunted method for waverider and its effect on performance[J]. Journal of Astronautics, 2011, 32(5): 966-974. DOI:10.3873/j.issn.1000-1328.2011.05.002 (in Chinese) |
| [15] |
SANTOS W. Bluntness impact on lift-to-drag ratio of hypersonic wedge flow[J]. Journal of Spacecraft & Rockets, 2009, 46(2): 329-339. |
| [16] |
陈小庆, 贺国宏, 江增荣, 等. 乘波构型钝化方法分析及性能研究[J]. 空气动力学学报, 2017, 35(1): 108-114. CHEN X Q, HENG G H, JIANG Z R, et al. Blunt methods for the leading edge of waverider[J]. Acta Aerodynamica Sinica, 2017, 35(1): 108-114. DOI:10.7638/kqdlxxb-2015.0082 (in Chinese) |
| [17] |
韩汉桥, 张陈安, 王发民. 高超声速滑翔乘波飞行器多物理效应研究[J]. 空气动力学学报, 2014, 32(1): 101-108. HAN H Q, ZHANG C A, WANG F M. Study on multi-physical effects of hypersonic gliding waverider vehicles[J]. Acta Aerodynamica Sinica, 2014, 32(1): 101-108. (in Chinese) |
| [18] |
XU D J, CAI G B, XU X, et al. Design studies for three-dimensional forebody of hypersonic vehicle based on PNS optimization procedure[C]. 58th International Astronautical Congress, IAC-07-C4. 5. 02, 2007.
|
| [19] |
刘建霞.高超声速非一致边缘钝化乘波构型气动力/热基础问题研究[D].长沙: 国防科学技术大学, 2013. LIU J X. Study on aerodynamic and aero-heating basic problems of hypersonic nonuniform blunt waverider[D]. Changsha: National University of Defense Technology, 2013. (in Chinese) http://cdmd.cnki.com.cn/Article/CDMD-90002-1015959341.htm |
| [20] |
LOBBIA M, SUZUKI K. Design and analysis of payload-optimized waveriders[C]. AIAA/NAL-NASDA-ISAS International Space Planes and Hypersonic Systems and Technologies Conference. 2001. https://www.mendeley.com/catalogue/design-analysis-payloadoptimized-waveriders/
|
| [21] |
吕侦军.水平起降高超声速运载器气动布局设计技术研究[D].南京: 南京航空航天大学, 2016. LYU Z J. Research on aerodynamic configuration design technology of horizontal takeoff and landing hypersonic launch vehicle[D]. Nanjing: Nanjing University of Aeronautics and Astronautics. (in Chinese) http://cdmd.cnki.com.cn/Article/CDMD-10287-1017836421.htm |
| [22] |
COCKRELL C E Jr. Interpretation of waverider performance data using computational fluid dynamics[J]. Journal of Aircraft, 1994, 31(5). |
| [23] |
COCKRELL C E Jr, HUEBNER L D, FINLEY D B. Aerodynamic performance and flow-field characteristics of two waverider-based hypersonic cruise configurations[R]. AIAA-95-0736, 1995. https://www.mendeley.com/catalogue/aerodynamic-performance-flowfield-characteristics-two-waveriderderived-hypersonic-cruise-configurati/
|
| [24] |
HE X, RASMUSSEN M L. Computational analysis of off-design waveriders[J]. Journal of Aircraft, 2015, 31(2): 345-353. |
2019, Vol. 37


