2. 加州大学尔湾分校, CA 92697-3975;
3. 西安理工大学, 陕西 西安 710072
2. University of California, Irvine, CA 92697-3975, America;
3. Xi'an University of Technology, Xi'an 710072, China
等离子体介质阻挡放电(Dielectric-Barrier-Discharge, DBD)激励器作为一种新型流动控制技术,被广泛用于边界层控制[1]、提高翼型升力系数[2]、增大翼型失速迎角[3-4]以及控制高升力机翼流动分离[5]等。相较于传统的流动控制方法,等离子体DBD激励器有以下优点:没有移动部件、响应快速、自身质量小以及输入功率低等[6]。传统的等离子体DBD激励器由裸露电极与埋藏电极组成,通常上电极裸露在空气中,下电极包覆在介电材料中,在高频高压电的作用下,下电极上方会形成等离子体(Plasma)并向周围空气注入动量、热量等以起到控制流动的作用。
常用的等离子体交流电电源有两种形式:定常激励与非定常激励。定常激励时,电源波形是高频高压的正弦波,而非定常激励是带占空比循环放电(如图 2所示),其有两个重要参数:占空比τ与脉冲频率f。目前,各国学者将等离子体气动激励产生的推力大小作为衡量定常流动控制效果的关键因素,且该推力与激励器几何参数、电压、载波频率等参数有关。而在非定常激励时,诱导涡是流动控制关键因素[7],相关文献[8-12]认为在非定常激励下,等离子体流动控制更为有效,因此,研究等离子体DBD在非定常激励下的诱导涡结构以及发展规律对提高等离子体DBD非定常流动控制效果有着非常重要的意义。为研究非定常流动控制激励,提出了无量纲频率F+=fc/U,其中f为脉冲频率,c为特征长度,U为来流速度,目前对于最优无量纲频率的选取尚未达到一致,Mehul P. Patel[13]和Sidorenko[14]等人认为无量纲频率F+≈1时,流动控制效果最优,而Asada[15]和Sekimoto[16]等人却认为最优无量纲频率F+≈10。综上所述,对于等离子体DBD非定常流动控制机理有待进一步研究。
目前对非定常激励下DBD流动控制效果的研究大多集中在实际应用如翼型分离流动、绕圆柱流动等等,理解静止大气下DBD诱导涡结构以及脉冲频率对涡结构的影响是进一步提高DBD流动控制能力的基础。DBD诱导流场产生的涡结构由两种形态:启动涡与诱导涡。Whalley[17]研究了静止大气下等离子体DBD启动涡的自相似性,且启动涡移动方向与壁面呈31°,涡核沿壁面和法向位置与时间成t2/3,涡核移动速度与时间成t-1/3。张屹[18]等对大气压下DBD启动涡结构进行了研究,认为等离子体启动涡有三种涡系结构:主涡、反向涡和二次涡,并分析了主涡与反向涡的产生与发展过程。张鑫[19]等研究了对称式布局等离子体DBD诱导的启动涡在来流条件下的时空演化以及生存时间的影响,认为对称式布局的等离子体DBD对边界层具有掺混与射流两种效应,具有在高雷诺数下应用的潜力。
本文采用了高速PIV与高速纹影系统对非定常激励下DBD诱导涡结构进行了细致的分析,主要研究了脉冲频率对DBD诱导涡结构影响,揭示了诱导涡的发展规律以及脉冲频率对诱导涡尺度的影响,并分析了不同脉冲频率下诱导涡的相互作用对涡结构的影响。
1 实验设备实验采用DBD等离子体激励器如图 1所示,激励器由上下铜箔电极(3M 1181)以及介电层组成,其中铜箔厚度约为0.066 mm,介电层为3层Kapton薄膜一共约为0.3 mm厚度,介电常数为3.2。激励器有效放电长度为220 mm,上下电极宽度分别为2 mm与4 mm。上电极连接等离子体电源高压正极,下电极连接等离子体电源负极(即接地)。采用了南京苏曼生产的等离子体低温电源CTP-2000K,峰峰电压为0~30 kV,中心频率为10 kHz,可调范围5~20 kHz,脉冲调制信号由外接Tektronix公司生产的函数发生器AFG3021输入给等离子体电源,采用了Tektronix公司生产的高压探头P6015A来测量施加在DBD等离子体激励器上的峰峰电压,并连接示波器TDS1001B。图 2给出了定常激励与非定常激励波形图,其中定常激励(steady)为稳定的正弦波,非定常激励为在正弦波的基础上加入脉冲调制信号并控制占空比与脉冲频率。
|
图 1 DBD示意图 Fig.1 The sketch of DBD |
|
图 2 定常激励与非定常激励波形图 Fig.2 Waveforms of steady and unsteady excitation |
实验采用了高频粒子图像测速仪(Particle Image Velocimetry, PIV)测量非定常激励下等离子体DBD诱导流场,PIV布局图如图 3所示,为确保所测流场不被外界环境干扰,PIV的测量全部在玻璃箱中进行,其长宽高分别600 mm、200 mm和300 mm。PIV系统为德国Lavision生产,主要由激光器、相机、同步器和计算机组成,整套系统安装在光学实验台上使得各个方向位置均可随意调整。其中激光器为Photonics Industries DM Series Laser,最大单次脉冲能量为30 mJ,激光厚度为0.6 mm;高速相机为Phantom V711,最大分辨率为1280×800 pixels,最高采集频率为7, 500 Hz。相机拍摄视场约为80 mm×50 mm,实验采集频率设置为1, 000 Hz,激光脉冲时间间隔不同状态有所变化约为100~300 μs。PIV示踪粒子采用了电影工业常用的烟饼,通过管道连接气泵由particle inlet输入到玻璃箱中,并从Particle outlet排出,每次实验注入粒子后大约二十分钟待其混合均匀后开始拍摄。后处理软件为Davis 8.3,其中诊断窗口为32×32 pixels,overlap设置为75%以获得更为精细的流场结构。为确保流动的二维特性,PIV的激光面置于激励器的展向中间位置。
|
图 3 高频PIV实验布局图 Fig.3 The experimental set-up for PIV measurements |
本文采用高速纹影系统如图 4所示,高速纹影系统由以下几个部分组成:卤钨灯光源系统、凹透镜、平面镜、刀口以及高速摄像机。其中凹透镜的焦距为2900 mm, 所有光学镜面涂有氧化铝和二氧化硅保护膜,支座具有水平与竖直方向调节功能以调节光路,刀口调节精度为0.01 mm且具备360°旋转功能,光源系统包含24 V,400 W的卤钨灯、可调节的狭缝(调节精度为0.01 mm,可调节范围0~3 mm,360°可旋转)。高速摄像机为Phantom v2512,其分辨率为1280×1280 pixel,最高采集频率为75, 000 Hz,最小曝光时间为1 μs,本实验中采集频率设置为10, 000 Hz。
|
图 4 高速纹影布局图 Fig.4 Principle of schlieren system |
图 5分别给出了在Vp-p=14 kV, F=8 kHz, τ=50%,f=30 Hz时诱导涡在不同时刻的结构,左边为纹影图像,右边为PIV流场结果,其中包含了速度矢量与涡量云图,涡量ωz=∂v/∂x-∂u/∂y。从图中可以看出纹影与PIV给出的涡结构,且两者非常吻合,诱导涡在放电瞬间产生,在体积力作用下沿着X与Y正方向移动,为满足无滑移边界条件,二次涡伴随产生(右图中红色涡量下方蓝色区域),且二次涡与主涡方向相反。
|
图 5 PIV和纹影的诱导涡结构Vp-p=14 kV, F=8 kHz, τ=50%,f=30 Hz(t=10 ms, 20 ms, 30 ms) Fig.5 The vortex structure of vortex induced by DBD plasma actuator at Vp-p=14 kV, F=8 kHz, τ=50%, f=30 Hz(t=10 ms, 20 ms, 30 ms) |
在定常激励下,放电瞬间产生启动涡,随后启动涡消失形成稳定的壁面射流,非定常激励下,在占空循环作用下,产生一系列诱导涡,为此将非定常激励下等离子体DBD单个诱导涡发展分为两个阶段:1. t < Ton阶段(见图 2,下同),此时,DBD等离子体激励器在高频高压交流电作用下产生等离子体,在放电瞬间形成诱导涡,t<Ton时存在体积力的作用,该体积力不断为诱导涡注入动量,此时动量注入与粘性耗散均对诱导涡有较大影响,动量注入使得诱导涡强度增加,粘性耗散使得诱导涡强度衰弱;2. t>Ton时,此时,施加的高频高压AC电源断开,外加电场消失,不存在体积力的作用,只存在粘性耗散作用,粘性耗散使得诱导涡强度逐渐减弱。
总结诱导涡整体演化规律如图 6所示,1)在一个脉冲初期,诱导涡在放电瞬间后产生,并逐渐沿壁面射流方向移动,与此同时,二次涡生成且伴随主涡移动;2)诱导涡逐渐向x与y正方向移动,其强度在粘性耗散作用下逐渐减弱;3)在下一个放电开始时产生下一个诱导涡,周而复始。非定常激励下,所施加的高频高压AC电源存在严格的周期性,而从上文可知,诱导涡连续不断的产生,因此验证诱导涡是否具有周期性是进一步研究诱导涡特性的关键。图 7给出了Vp-p=14 kV, F=8 kHz, τ=50%,f=10 Hz下t=20 ms和t=120 ms的速度矢量图以及涡量云图,注意到此时脉冲周期T=1/f=100 ms。从图中可以看出,在不同周期内的同一相位上,诱导涡位置与结构极其相似,在本文所研究其它脉冲频率时,其结论依然成立。图 8给出了从PIV结果和纹影图像中获得的1 s内产生诱导涡个数与脉冲频率的对应关系,可以看出,在f=5~500 Hz范围内,1 s内诱导涡产生的个数与脉冲频率严格一一对应。
|
图 6 非定常激励下诱导涡发展规律 Fig.6 The evolution of the vortex induced by the plasma actuator of duty cycled flow |
|
图 7 Vp-p=14 kV, F=8 kHz, τ=50%,f=10 Hz时 t=20 ms和t=120 ms时诱导涡结构 Fig.7 The structure of flow filed at t=20 ms and t=120 ms, Vp-p=14 kV, F=8 kHz, τ=50%, f=10 Hz |
|
图 8 1 s内诱导涡个数与脉冲频率的关系 Fig.8 Numbers of vortices vs burst frequency in t=1 s |
图 9给出了在Vp-p=14 kV, F=8 kHz, τ=50%,f=10 Hz时5个周期内涡核移动位置,其中涡核位置采用由Jinhee Jeong and Fazle Hussain[20]提出的λ2法则确定,λ2是S2+ Ω2三个特征值中处于中间的特征值, 其中S和Ω分别是▽u中的对称张量与非对称张量,考虑到由等离子体DBD诱导的流场为二维平面流动即:u =u i +v j。从图中可以看出在5个不同周期内,其涡核移动轨迹表现为极好的周期性,这也进一步验证了上文中提到的等离子体DBD诱导涡具有良好的周期性。
|
图 9 Vp-p=14 kV, F=8 kHz, τ=50%,f=10 Hz五个周期涡核移动轨迹 Fig.9 Instantaneous vortex cores in 5 periods at Vp-p=14 kV, F=8 kHz, τ=50%, f=10 Hz |
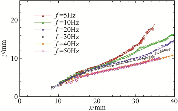
图 10给出了Vp-p=14 kV, F=8 kHz, τ=50%下在不同脉冲频率时诱导涡核移动轨迹,诱导涡涡核移动方向与壁面呈16°~22°,且随着脉冲频率的增加,诱导涡核移动轨迹更靠近壁面,这与whalley[17]等人发现启动涡沿着壁面31°方向移动有着较大的区别,启动涡在放电瞬间产生,随后启动涡在粘性作用下逐渐消失并形成稳定的壁面射流,而在非定常激励下,诱导涡连续不断的生成、耗散、再生成,且一定时间内诱导涡个数与脉冲频率存在对应关系,当诱导涡生成后,如不考虑诱导涡之间相互作用,在某种程度上,此时每一个诱导涡即是启动涡,而实际上由于存在涡之间的相互作用,导致新生成的诱导涡会受到空间上已经存在的一系列诱导涡的影响,且该影响与脉冲频率有关。
|
图 10 Vp-p=14 kV, F=8 kHz, τ=50%时不同脉冲频率下涡核移动轨迹 Fig.10 The trajectory of vortex cores at different burst frequencies when Vp-p=14 kV, F=8 kHz, τ=50% |
图 11给出了t=15 ms在Vp-p=14 kV, F=8 kHz, τ=50%,f=20 Hz和f=50 Hz时的速度矢量图与涡量云图,从图中可以看出,在脉冲频率较小时,等离子体DBD诱导涡之间间距较大,前一个诱导涡对后一个诱导涡的影响较小;当脉冲频率为50 Hz时,诱导涡之间的影响逐渐变得剧烈。图 12给出了诱导涡之间相互干扰的原理图,设诱导涡之间距离为d,随着m脉冲频率的增加,d逐渐减小,考虑在新生成诱导涡边沿点P,点P受到前一个诱导涡的影响随着脉冲频率的增加而逐渐变强,且前一个诱导涡对点P的诱导速度与点P当前所处诱导涡速度相反,因此,当脉冲频率增加时,诱导涡之间相互影响逐渐变得剧烈,使得流场更靠近壁面动量交换变强。另外从图中还可以看出,随着脉冲频率的增加,诱导涡尺度逐渐变小。
|
图 11 t=15 ms时Vp-p=14 kV, F=8 kHz, τ=50%,f=20 Hz(a)和f=50 Hz(b)速度矢量与涡量云图 Fig.11 Vp-p=14 kV, F=8 kHz, τ=50%, f=20 Hz(a) f=50 Hz(b) velocity vector and contour of vorticity, t=15 ms |
|
图 12 不同频率涡相互干扰原理图 Fig.12 Vortex interaction at different burst frequencies |
本文采用高频PIV与高速纹影研究了等离子体DBD诱导涡结构以及脉冲频率对诱导涡结构以及尺度的影响,得到了以下结论:
1) 诱导涡在放电瞬间后生成,且在其下方形成二次涡,该二次涡伴随着主涡沿x与y正方向移动。在本文研究脉冲频率5Hz~50 Hz时,诱导涡沿壁面16°~22°方向移动,且频率增加,更靠近壁面。
2) f=5 Hz~500 Hz时,单位时间生成的诱导涡个数与脉冲频率一一对应,且其表现出良好的周期性。
3) 随着脉冲频率的增大,诱导涡之间的相互影响更加剧烈,且诱导涡尺度逐渐变小。
| [1] |
ROTH J D SHERMAN, WILKINSON S. Boundary layer flow control with a one atmosphere uniform glow discharge surface plasma[C]//In 36th AIAA Aerospace Sciences Meeting and Exhibit. 1998, American Institute of Aeronautics and Astronautics.
|
| [2] |
CORKE T, JUMPER E, POST M, et al. Application of weakly-ionized plasmas as wing flow-control devices[C]//In 40th AIAA Aerospace Sciences Meeting & Exhibit. 2002, American Institute of Aeronautics and Astronautics.
|
| [3] |
POST M, CORKE T. Separation control using plasma actuators-stationary & oscillating airfoils[C]//In 42nd AIAA Aerospace Sciences Meeting and Exhibit. 2004, American Institute of Aeronautics and Astronautics.
|
| [4] |
王万波, 黄勇, 黄宗波, 等. 介质阻挡放电等离子体对NACA0015翼型流动控制的PIV实验研究[J]. 实验流体力学, 2012, 26(2): 1-5. WANG W B, HUANG Y, HUANG Z B, et al. PIV measurement of dielectric barrier discharge plasma flow control on NACA0015 airfoil[J]. Journal of Experiments in Fluid mechanics, 2012, 26(2): 1-5. DOI:10.3969/j.issn.1672-9897.2012.02.001 (in Chinese) |
| [5] |
LITTLE J, SAMIMY M. High-lift airfoil separation with dielectric barrier discharge plasma actuation[J]. AIAA Journal, 2010, 48(12): 2884-2898. DOI:10.2514/1.J050452 |
| [6] |
吴云, 李应红. 等离子体流动控制研究进展与发展展望[J]. 航空学报, 2015, 36(2): 381-405. WU Y, LI Y H. Progress and outlook of plasma flow control[J]. Acta Aeronautica et Astronautica Sinica, 2015, 36(2): 381-405. (in Chinese) |
| [7] |
WANG J, CHOI K S, FENG L H, et al. Recent developments in DBD plasma flow control[J]. Progress in Aerospace Science, 2013, 62: 52-78. DOI:10.1016/j.paerosci.2013.05.003 |
| [8] |
CORKE T, POST M. Overview of plasma flow control: concepts, optimization, and applications[C]//In 43rd AIAA Aerospace Sciences Meeting and Exhibit. 2005, American Institute of Aeronautics and Astronautics.
|
| [9] |
WYGNANSKI I. The variables affecting the control of separation by periodic excitation[C]//In 2nd AIAA Flow Control Conference. 2004, American Institute of Aeronautics and Astronautics.
|
| [10] |
ARAM S, SHAN H, LEE Y T. Application of an integrated flow and plasma actuation model to an airfoil[J]. AIAA Journal, 2016, 54(8): 2201-2210. DOI:10.2514/1.J054478 |
| [11] |
AONO H, KAWAI S, NONOMURA T, et al. Plasma-actuator burst-mode frequency effects on leading-edge flow-separation control at reynolds number 2.6×105[J]. AIAA Journal, 2017, 55(11): 3789-3806. DOI:10.2514/1.J055727 |
| [12] |
GREENBLATT D, GöKSEL B, RECHENBERG I, et al. Paschereit, dielectric barrier discharge flow control at very low flight reynolds numbers[J]. AIAA Journal, 2008, 46(6): 1528-1541. DOI:10.2514/1.33388 |
| [13] |
NG T, PATEL M, VASUDEVAN S, et al. Scaling effects of an aerodynamic plasma actuator[C]//In 45th AIAA Aerospace Sciences Meeting and Exhibit. 2007, American Institute of Aeronautics and Astronautics.
|
| [14] |
SIDORENKO A, ZANIN B, POSTNIKOV B, et al. Pulsed discharge actuators for rectangular wing separation control[C]//In 45th AIAA Aerospace Sciences Meeting and Exhibit. 2007, American Institute of Aeronautics and Astronautics.
|
| [15] |
ASADA K, NINOMIYA Y, FUJⅡ K, et al. Airfoil flow experiment on the duty cycle of DBD plasma actuator[C]//In 47th AIAA Aerospace Sciences Meeting including The New Horizons Forum and Aerospace Exposition. 2009, American Institute of Aeronautics and Astronautics.
|
| [16] |
SEKIMOTO S, ASADA K, USAMI T, et al. Experimental study of effects of frequency for burst wave on DBD plasma actuator for separation control[C]//In 41st AIAA Fluid Dynamics Conference and Exhibit. 2011, American Institute of Aeronautics and Astronautics.
|
| [17] |
WHALLEY R D, CHOI K S. The starting vortex in quiescent air induced by dielectric-barrier-discharge plasma[J]. Journal of Fluid Mechanics, 2012, 703: 192-203. DOI:10.1017/jfm.2012.206 |
| [18] |
张屹, 李伟鹏, 王福新, 等. 大气压下介质阻挡放电等离子体诱导起始涡的实验研究[J]. 上海交通大学学报(自然版), 2014, 48(8): 1097-1102. ZHANG Y, LI W P, WANG F X, et al. Experimental study of starting vortex induced by atmospheric dielectric-barrier-discharge plasma[J]. J. Shanghai Jiaotong Univ.(Sci.), 2014, 48(8): 1097-1102. (in Chinese) |
| [19] |
张鑫, 黄勇, 王万波, 等. 对称式布局介质阻挡放电等离子体激励器诱导启动涡[J]. 物理学报, 2016, 65(17): 174701. ZHANG X, HUANG Y, WANG W B, et al. Experimental investigation on the starting vortex induced by symmetrical dielectric barrier discharge plasma actuator[J]. Acta Physica Sinica, 2016, 65(17): 174701. DOI:10.7498/aps.65.174701 (in Chinese) |
| [20] |
JEONG J, HUSSAIN F. On the identification of a vortex[J]. Journal of Fluid Mechanics, 1995, 285: 69-94. DOI:10.1017/S0022112095000462 |
2019, Vol. 37


