地面效应是指地效飞行器在贴近水面或地面飞行时机翼升力增加,诱导阻力减小的现象。地效区的气动特性是地效飞行器设计的关键因素,是地效飞行器优先解决的问题之一[1]。地面效应的大小与地效飞行器的尺寸[2]、飞行高度[3]、气动外形等因素有关。我国自20世纪60年代起,通过理论方法、风洞试验、实艇实验和数值模拟手段对地效飞行器气动特性方面进行研究[4-6],积累了非常宝贵的经验。
数值模拟对于地效飞行器气动性能及控制研究起着非常重要的作用。Deese等[7]、Hirata等[8]、杨晨俊等[9]和杨韡等[10]分别对地面效应问题做了诸多研究。这些研究中主要是针对翼型和机翼的研究,基本都采用传统网格技术,网格随高度变化及姿态角变化都需要重新生成,对于复杂外形的计算网格生成困难,计算效率低,结果可靠性不易保障。
Chawla等[11]通过风洞试验对剖面为NACA4415翼型的地效机翼进行不同迎角、副翼偏转角及尺寸的端板研究,发现带端板的机翼能有效提高其地面效应,但对端板提高机翼的地面效应机理及影响因素并未做深入研究,缺少对机翼地效区的气动特性和自由流的气动特性对比分析。基于Chawla的风洞试验,本文就副翼偏转角、迎角、相对高度、端板尺寸及中心板和端板是否使用等因素对机翼的气动特性影响进行数值模拟,并分析端板效应对机翼的地效特性影响及端板效应的机理。
1 数值方法积分形式的N-S方程如下:
|
(1) |
其中方程中各个物理量的具体含义可参考文献[12]。
本文采用格心型有限体积法求解可压缩N-S方程,为了将成熟的高速可压数值方法推广至低速不可压模拟中,本文引入Weiss-Smith预处理矩阵,加快收敛。本文计算中,无粘项采用MUSCL插值结合预处理型Roe格式求解[13],粘性项采用考虑物面无滑移和绝热壁的带约束条件的最小二乘法求解[14]。时间方向采用LU-SGS隐式格式推进获得定常状态下的解。
由于非结构贴体直角网格可以描述单体或多体各种复杂外形,空间网格结构具有良好的正交性[15],网格质量高,自适应能力强等特点,因此本文采用非结构贴体直角网格,对地效机翼进行数值模拟。
2 计算模型本文工作基于Chawla的风洞试验,数值计算模型选取该风洞试验中的模型。模型翼剖面为NACA4415翼型,模型带有可偏转的副翼,长度为平均弦长的20%。此外,模型还带有可移除的两块端板和一块中心板。外形如图 1所示,详细参数见表 1。
|
图 1 地效机翼模型 Figure 1 The wing model |
| 表 1 机翼模型详细参数 Table 1 Wing model details |
|
|
模型采用不同尺寸的中心板和端板的组合,各个组合中端板(中心板)长度一致,高度不同。每种组合包含相同高度(端板高度为水平放置时端板底部距离机翼1/4弦长的高度)的两块端板和一块中心板或两块相同高度的端板,具体端板尺寸及组合见表 2,其中,c为机翼的平均气动弦长;O、S、M和L分别代表无、小尺寸、中尺寸和大尺寸平板。OO表示无中心板和端板组合机翼,OL表示无中心板有两大尺寸端板组合机翼,LL表示大尺寸中心板和大尺寸端板组合机翼,以此类推。为了方便起见,本文后面用此类缩写符号表示中心板和端板组合。
| 表 2 端板和中心板参数 Table 2 Plate configurations |
|
|
计算状态设定为V∞=28.16m/s,Re=V∞l/υ=1.04×106,具体数值模拟变量见表 3。其中,机翼相对高度为机翼的1/4弦长处到地面的距离与平均弦长之比。
| 表 3 状态参数 Table 3 Simulation variables |
|
|
在地效区内,机翼带端板会阻碍飞行器底部和地面双面“挤压”的气流向外侧流动,抑制翼尖涡发展,从而产生端板效应。本文以迎角、副翼偏转角及相对高度为变量,对地效机翼气动特性进行研究。
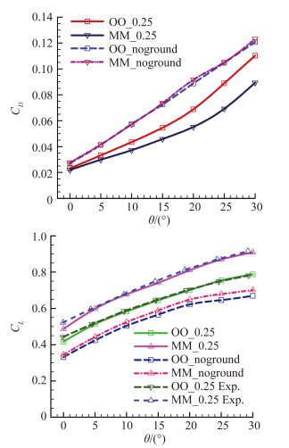
图 2为h/c=0.25和自由流的OO机翼和MM机翼的阻力、升力系数随副翼偏转角变化曲线。自由流下,两种不同组合的机翼阻力系数随副翼偏转角基本呈线性变化,随着副翼偏转角增大而增大;地效区内机翼阻力系数偏小。随着副翼偏转角增大,诱导阻力减小的效果更加明显。对于机翼的升力系数,两种不同中心板和端板组合的机翼的升力系数均随着副翼偏转角增大而增大,和文献[11]的实验值也基本吻合。
|
图 2 阻力系数和升力系数随副翼偏转角变化曲线 Figure 2 Effect of flap angle on drag coefficient and lift coefficient |
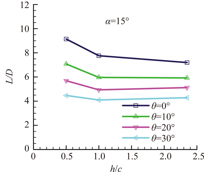
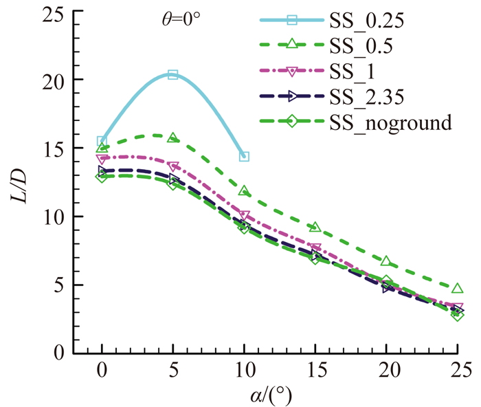
为了进一步研究机翼的迎角特性和高度特性,本节继续对不同相对高度下机翼升阻特性进行了数值模拟。θ=0°时,不同相对高度机翼升阻比随迎角的变化见图 3。地效区内,机翼的最大升阻比出现在α=5°左右。在相对高度较大(h/c≥1) 时,机翼的地面效应影响很弱,基本和自由流的机翼升阻比接近。图 4为α=15°下不同副翼偏转角的升阻比随相对高度变化曲线,从图中可以发现,h/c≥1时,升阻比基本不随相对高度的变化而变化,进一步验证上述结论,这说明相对高度在一倍平均弦长内,地面效应影响较强;超过这个区域,地面效应逐渐减弱,这和文献[11]的实验结果相同。
|
图 3 升阻比随迎角变化曲线 Figure 3 Angle of attack and ground effects on lift-to-drag |
|
图 4 不同副翼偏转角下升阻比随相对高度变化曲线 Figure 4 Wing-in-ground effect on lift-to-drag ratio |
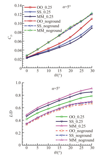
图 5为不同中心板和端板组合机翼地效区和非地效区的阻力系数、升力系数随副翼偏转角变化曲线。可以发现,在自由流下中心板和端板对机翼的阻力系数基本没有影响,但在地效区内,端板能有效减小机翼的诱导阻力。端板尺度越大,诱导阻力减小越大。自由流下,中心板和端板对机翼升力系数基本没有影响,并且端板和中心板尺寸大小也对机翼升力系数影响很小,但在地效区内,端板能有效提高机翼的升力系数。
|
图 5 阻力系数和升力系数随副翼偏转角变化曲线 Figure 5 Effect of plates and flap angle on drag coefficient and lift coefficient |
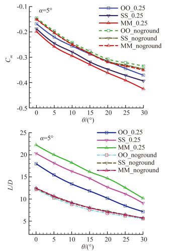
图 6为不同中心板和端板组合机翼地效区和自由流下的俯仰力矩系数和升阻比随副翼偏转角变化曲线。图中可以发现,自由流下中心板和端板对机翼俯仰力矩系数也影响有限,但在地效区内,端板尺寸越大,机翼的低头力矩越大,并且机翼相对高度越小,低头力矩越大,林文祥[16]的数值模拟结果也有类似结论。不同中心板和端板组合机翼的升阻比随着副翼偏转角增大而减小。自由流情况下,中心板和端板对机翼升阻比影响很小;地效区内,带端板机翼的升阻比能得到显著提高,相对高度越小,升阻比提升效果越显著。
|
图 6 俯仰力矩系数和升阻比随副翼偏转角变化曲线 Figure 6 Effect of plates and flap angle on pitching moment coefficient and lift-to-drag ratio |
此外,本文还对中心板地效机翼气动特性影响进行分析。数值模拟发现,不管是地效区还是非地效区,中心板只起抑制机翼下翼面气流的展向流动的作用,对机翼的升阻特性及俯仰力矩系数均无影响,这和文献[11]的实验结果也一致。
3 结论1) 本文研究中,机翼的升阻力系数均随着副翼偏转角增大而增大,但升阻比随副翼偏转角增大而减小。
2) 地面效应在相对高度小于一倍平均弦长时,影响较强;超过这个区域,影响逐渐减弱。
3) 地效区内,使用端板能有效提高机翼升阻比,增大机翼的低头力矩;中心板会影响展向流动,但对升阻比等气动特性影响较小。
4) 自由流下,中心板和端板对机翼的升阻特性影响有限。但在地效区内,相对高度越小,端板尺寸越大,地效作用更强。
| [1] |
李盾, 王义宁. 地效飞行器三维地面效应的数值模拟[J]. 飞行力学, 2006, 24(2): 18-21. ( 0) |
| [2] |
孙瑞敏. 机翼地面效应气动特性与翼尖涡结构的实验研究[D]. 上海大学, 2011: 18-23. http://cdmd.cnki.com.cn/Article/CDMD-11903-1012023885.htm
( 0) |
| [3] |
屈秋林, 刘沛清. 地效飞行器地面巡航气动性能数值模拟及分析[J]. 航空学报, 2006, 27(1): 16-22. ( 0) |
| [4] |
杨晖. 地效飞行器的发展和展望[J]. 飞行力学, 2001, 1(19): 13-17. ( 0) |
| [5] |
恽良, 邬成杰, 谢佑农. 动力气垫地效翼船的流体空气动力性能研究[J]. 中国工程科学, 2000(04): 48-52. DOI:10.3969/j.issn.1009-1742.2000.04.010 ( 0) |
| [6] |
郭鹏飞, 张永, 邵秋虎. 世界地效翼船发展研究[J]. 船舶标准化工程师, 2014, 47(2): 49-52. ( 0) |
| [7] |
Deese J E, Agarwal R K. Euler calculation for flow over a wing in ground effect[R]. AIAA-86-1765, 1986.
( 0) |
| [8] |
Hirata N, Kodama Y. Flow computation for three-dlmenslonal wing in ground effect using multl-block technique[J]. Journal of the Society of Naval Architects of Japan, 1995, 177: 49-57. ( 0) |
| [9] |
杨晨俊, 王国强, 申明秀. 带端板地效应翼性能的数值研究[J]. 上海交通大学学报, 2000(01): 51-55. DOI:10.3321/j.issn:1006-2467.2000.01.011 ( 0) |
| [10] |
杨韡, 杨志刚. 三维地效翼展向效应数值模拟[J]. 计算机辅助工程, 2008(03): 13-17. DOI:10.3969/j.issn.1006-0871.2008.03.005 ( 0) |
| [11] |
Chawla D M, Edwards L C, Franke M E. Wind-tunnel investigation of wing-in-ground effects[J]. Aircraft, 1990, 4(27): 289-293. ( 0) |
| [12] |
阎超. 计算流体力学方法及其应用[M]. 北京: 北京航空航天大学出版社, 2006, 15-27.
( 0) |
| [13] |
Roe P L. Approximate Riemann solvers, parameter vectors and difference schemes[J]. Journal of Computational Physics, 1981, 43: 357-372. DOI:10.1016/0021-9991(81)90128-5 ( 0) |
| [14] |
李盾, 纪楚群, 马汉东. 三维非结构粘性直角网格的N-S方程数值模拟[J]. 空气动力学学报, 2006, 4(24): 477-481. ( 0) |
| [15] |
Wang Z J. A quadtree-based adaptive cartesian/quad grid flow solver for Navier-Stokes equations[J]. Computers & Fluids, 1998, 27(4): 529-549. ( 0) |
| [16] |
林文祥. 地效飞行器巡航状态气动特性数值模拟[D]. 厦门大学, 2012. http://d.wanfangdata.com.cn/Thesis/Y2073357
( 0) |
2017, Vol. 35


0)