2. 上海飞机设计研究院, 上海 201210
2. Shanghai Aircraft Design And Research Institute, Shanghai 201210, China
表面摩阻是飞行器飞行时总阻力的重要组成部分,表面摩阻的测量对于湍流、边界层等的机理研究和减阻、热防护等工程问题研究具有重要意义和价值[1]。至今已发展了很多技术用来测量表面摩阻,典型的如:热线法[2]、热膜法[3]、Preston[4-5]管法、Stanton[6]管法、底层隔板法[7]、激光多普勒法[8]、摩擦天平[9-10]等,这些大部分是间接和非全局的测量技术,只能提供表面摩阻局部单点测量结果。
目前可以用来测量全局表面摩阻的技术主要有以下三类:剪切敏感液晶(Shear Sensitive Liquid Crystal,SSLC)[11-17],表面应力敏感膜(Surface Stress Sensitive Film,S3F)[18-19]和油膜法(Oil Film)。由于可以直接检测表面摩阻的响应,这些技术被称作直接或半直接方法。不像间接方法会引入额外误差,直接方法比间接方法具有更高的测量精度。
剪切敏感液晶(SSLC)观察到的是短暂的颜色变化。对于可靠的定量测量,从颜色的变化来确定应力的大小和方向,其数据分析非常复杂,而且由于强烈的依赖照明的反射角度和相机的观察角,普适标定非常困难。表面应力敏感膜(S3F)是一种相对新的表面摩阻全场测量技术,它采用混有标记物的聚合体膜,这种膜类似于不可压流体,受力后变形但不被压缩,可以通过横向变形和垂直变形来测量剪切力和正压力,不过这两个方向变形的存在一定的耦合干扰。基于油膜的表面摩阻测量,是由Tanner和Blows[20]引入,建立在检测薄油膜厚度的时空演化来测定表面摩阻的一种技术。
Tanner等最初提出采用激光干涉仪在特定位置测量薄油膜厚度。之后基于图像干涉法的油膜摩阻测量被发展起来。干涉法成为获取油膜高度信息的广泛方法[21-23]。干涉法为了获得必要的反射特性,实验模型必须具备有特殊材质制造的光滑反光表面,大多气动测试模型不能满足要求,粗糙的表面不适于采用干涉法;另一方面,干涉法也无法满足高分辨率、复杂表面摩阻分布的测量需求。
使用荧光油膜进行表面摩阻全局扩展测量最初由Liu T S和Sullivan[24]提出,他们使用掺混有荧光分子的硅油作为荧光油膜。对于薄油膜,由于荧光灰度与油膜厚度成正比关系,油膜厚度测量可以转换为荧光强度测量,更简单也更具信噪比。
|
| 图 1 采用荧光油膜测量表面摩阻分布示意图 Fig. 1 Schematic diagram of global skin friction measurement based on fluorescent oil film |
当油膜厚度转变为图像灰度后,薄油膜方程可以被投影到图像平面,建立表面摩阻和图像灰度的时空微分方程。为了从薄油膜映射方程中求解表面摩阻,对油膜摩阻方程进行简化,简化后的方程与Horn和Schunck[25]研究的光流约束方程具有相同的形式。后者在求解过程中,引入平滑限定方程并采用变分方法进行积分最小化,结合光流约束方程求解出两个速度分量。
本文针对表面摩阻分布平滑性的正则化算子采用变分方法和Neumann边界条件,获得相应的欧拉特征方程,通过连续的瞬时图像时空灰度微分和迭代,求解出表面摩阻的分布。
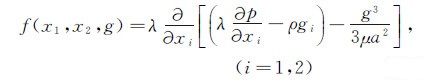
1 油膜控制方程对于光滑表面上的薄油膜受剪切力影响的控制体,在当地剪切力恒定条件下,油膜厚度h和表面摩擦应力τ之间存在下面的简单关系:
(1) 其中,μ为油膜粘度,t为流动起始时间,x为当地相对于油膜前缘沿剪切力方向的坐标。式(1)在当地剪切力占主导地位并且其他力,如压力梯度、表面张力和重力,可以被忽略时成立。对于一般情况,油膜处于气体流动中,在平面X3=S(X1,X2)上,恒定壁面剪切应力下油膜发展表述为如下方程:
(2) 其中,i=(1,2),τ=(τ1,τ2)为表面摩擦矢量,p为压力梯度,ρ为油膜密度,方括号内第二项表征了油膜压力梯度和重力对其发展的影响。
油膜的控制方程建立起了随时间和空间变化的油膜高度与表面摩擦应力之间的关系。因此,要从油膜方程中获得表面摩擦应力首先需要采集到油膜厚度h随时间和空间变化的信息。
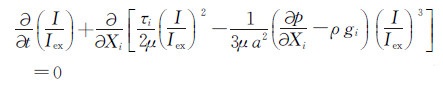
2 基于荧光油膜的表面摩阻分布求解方法当薄的荧光油膜应用于固定平面,其受激辐射光强I与油膜厚度之间的关系如下:
(3) 其中,Iexcitation(X1,X2)为平面上的激发光强,以下称Iex,a为荧光分子浓度和受激辐射效率的影响因子,将式(3)带入式(2)可得:
(4) 像平面(x1,x2)和物平面X3=S(X1,X2)之间具有一一对应关系,当CCD相机的像平面与被测平面平行时,投影变换式:
(5) 式中,λ可以被认为是常数而被简化,这里xγ, 被认为是像平面的原点位置,也就是存在关系:
(6) 引入归一化荧光强度和等效表面摩擦应力:
(7)
(8) 式(4)可以以图像坐标系改写为:
(9) 其中 =ə/əxi为图像平面的梯度算子,压力梯度和重力的影响被表述为:
(10) 如果相机的辐射响应函数是线性的,测定量荧光强度g应与归一化的图像灰度等级相同,式(9)就是荧光油膜映射的方程。由于引入了等效表面摩擦应力τ,式(9)为通用表达式。进一步考虑,压力梯度和重力影响可以被忽略(f<<1),那么式(9)可以被简化为方程:
(11) 这就与光流约束方程[25]具有近似相同的形式,可以采用光流速度场计算方法进行解算。
求解等效表面摩擦应力场τ=(τ1,τ2),式(11)单独无法求解两个表面摩擦应力分量,变分公式的引入为这一解算提供了可能。引入表面摩擦应力两分量梯度平方和作为表面摩擦应力求解的平滑限定条件,保证等值表面摩擦应力在计算点邻域内各方向上是连续的,由此定义在计算图像平面区域Ω内,表面摩擦应力场正则化项的泛函为:
(12) 其中α为拉格朗日乘数。而为了最小化J(τ),采用变分方法计算并在边界əΩ上使用格林公式和纽曼边界条件əτ/ən=0,可以得到欧拉-拉格朗日等式如下:
(13)
(14) 采用离散化和迭代的方法即可对图像各点(x1,x2)的τ=(τ1,τ2)进行求解。
3 荧光油膜表面摩阻测量系统建立荧光油膜表面摩阻测量系统中,油膜是表面摩阻分布测量的基础,油膜的厚度值及其变化包含了该位置的表面摩擦应力信息。而荧光物质是油膜厚度的指示剂,它的光激发特性、受激辐射光波长特性决定了其在表面摩阻测量中的应用价值。由于荧光指示剂混于荧光油膜,其激发光与受激辐射光一般有很长的波段间距。通过高通滤波片或窄带滤波片观测受激辐射光波段,便于提高信噪比。
通过调研和初步研究,获得了关于金属铕的三价有机配合物(Eu3+)作为荧光指示剂的特性,选取特定的配合物作为荧光指示剂,这种指示剂可以吸收365nm波长附近的长波紫外光,受激辐射出612nm波长附近的红光,辐射激发效率高。在进行模型表面摩阻测量时,用特定黏度的硅油作为基底,将荧光指示剂与硅油掺混并使其充分分散。
|
| 图 2 荧光指示剂受激辐射特性 Fig. 2 Emission characteristic |
配合该荧光染剂,采用两部长波紫外灯管(600mm,20W)做为激发光源,均匀照亮模型表面荧光油膜,采用美国Princeton Instrument(PI)公司的ES4020相机作为成像设备,实现荧光油膜亮度信息到电信号的转换。
|
| 图 3 荧光油膜效果测试 Fig. 3 Test of fluorescent oil film |
PI ES4020具有较高的像素分辨率(2048像素×2048像素),可实现精细的空间测量,该相机还具有12位的量化精度(即4096个灰度级),从而可区分微小的亮度差异。相机控制器通过CameraLink通信电缆实现对PI ES4020相机的控制和图像信息的传输,并负责将图像信息上传到PC机及接受来自PC机的相机控制指令。为了将入射光源与采集光源波段分离,提高图像信噪比,需在镜头前安装窄带滤波片,由高速相机采集油膜荧光灰度图像。实验室有若干高精度直线位移和角位移平台,能够实现光源、相机的多自由度平移、角移控制,可以为具体实验的光路提供设计基础。
|
| 图 4 荧光油膜表面摩阻测量系统 Fig. 4 Measurement system |
根据荧光油膜受激辐射强度与油膜厚度之间的线性关系,由I=aIex和g=I/Iex可知h=I/aIex=g/a。据此给出通过图像拍摄的方法测定这一线性关系的思路,即在基板上面垫极薄片(100μm~200μm),并在其上覆盖薄玻璃片,在其缝隙中充满荧光油膜,实现接近0μm~200μm左右的微小高度范围。由于CCD相机能够满足荧光强度与所拍摄图像灰度的线性关系,可以通过CCD拍摄该装置在紫外光源照射下的图像。通过建立图像灰度的变化与油膜厚度之间的线性关系,这一关系将在全局表面摩擦阻力测量中获得应用。
|
| 图 5 荧光油膜高度与亮度关系标定装置 Fig. 5 Calibration equipment |
4 三角翼表面摩阻分布测量实验
模型原型为65°后掠角、尖前缘的三角翼,模型高线长120mm,底边长112mm。实验在小型低速风洞内进行。风洞主体通过前段可控转速的涡轮风扇电机控制流动速度,通过调节变频器可以将流经中部实验段的流动速度控制在1~25m/s的范围内。采用CCD相机拍摄油膜灰度变化图像,采集频率为10fps。荧光染剂辐射波长为612nm(红光范围)。为尽量控制可见光射入,在相机前加600nm截止高通滤波片。采集结束后将数据传输到计算机上存储并处理。
模型表面油膜经过严格称重涂抹,厚度控制在50~80μm;模型攻角10°,流速10m/s,相机与模型表面平行拍摄。
|
| 图 6 三角翼模型 Fig. 6 Delta model |
|
| 图 7 实验布局 Fig. 7 Test setup |
|
| 图 8 模型安装在实验段内 Fig. 8 Test section |
|
| 图 9 实验现场 Fig. 9 Performing of the test |
|
| 图 10 实验条件下的标定 Fig. 10 Calibrating under experimental condition |
5 表面摩阻分布测量结果与分析
实验采集到的荧光油膜图像如图 11,经过计算获得的表面摩擦应力线如图 12。通过观察图 11和图 12中的A、B区可以发现,油膜图像在A、B区内汇聚过多,引起了油膜厚度增加(>100μm),对该位置模型表面流动产生影响。而且由于内含荧光物质的增加导致了图像过度曝光,影响表面摩阻的处理结果,使二次涡分离线在此处中断。引起这种现象的原因可能是由于模型表面存在区域加工不均匀,这在以后的工作中需加以改进。
|
| 图 11 荧光油膜图像 Fig. 11 Image of fluorescent oil film |
|
| 图 12 计算获得的表面摩擦应力线 Fig. 12 Skin friction stress line |
图 13为表面摩擦应力线标示图,图 14为表面摩擦应力结果局部放大图。观察图 13与图 14可以发现,三角翼模型上表面摩擦应力线可以反映出主涡的再附、二次涡分离、三次涡分离和再附等极限表面摩阻线。可以推知沿前缘的分离流形成了自由剪切层,剪切层卷起形成了前缘涡或称为主涡,前缘涡诱发了沿展向的逆压梯度,导致了二次分离及二次涡。同样,二次涡又可以诱发三次分离和三次涡等等。前缘涡可以产生非线性升力,提高稳定性,增加飞机的操纵性。
|
| 图 13 表面摩擦应力线标示图 Fig. 13 Detail flags of skin friction stress line |
|
| 图 14 表面摩擦应力结果局部放大 Fig. 14 Local image magnification |
实验结果与Thomas J L[26]提及的三角翼上方存在三次涡结构结果相吻合。Thomas J L[26]采用迎风格式有限体积N-S方程对低速薄三角翼型上方流(涡)场进行计算,计算结果表现出三角翼上方主涡、二次涡和三次涡的相对位置和特性。主涡Cp的分离线Sp从三角翼前缘线开始,在Ap再附;在Ss位置由于逆压梯度,诱导了二次分离及二次涡Cs,产生二次涡再附线As。同样,二次涡在St位置诱导了三次分离和三次涡Ct,产生三次涡再附线At(如图 15所示)。Thomas J L的计算分析结果与极限流线的实验结果进行了比较,证实了二次分离与三次分离线的存在(见图 16)。本次三角翼模型上表面摩擦应力线结果与Thomas J L的计算分析结果及极限流线的实验结果完全一致,证明了本次实验结果的有效性。
通过前述表面摩阻分布求解方法,油膜的高度信息可以通过图像灰度(相对荧光强度在图像上的表征量)表现出来。这样就可以将归一化的表面摩阻矢量的幅值定量地映射到拍摄平面上。如图 17,虽然这一幅值分布结果是相对的,但对于分析表面摩阻分布特性已经很直观有效。如前所述的油膜图像A、B区,由于油膜汇聚产生厚度异常,显然引起了这里的表面摩阻幅值急剧增加。
|
| 图 17 归一化的表面摩阻幅值 Fig. 17 Normalized amplitude of skin friction |
6 结 论
采用荧光油膜进行全局表面摩阻测量,脱胎于油膜法测量表面摩阻和光流场解算方法,具有全局测量和像素级矢量分布测量的优势。经过研究和发展,已初步具备测量模型表面摩阻分布的能力。通过三角翼模型表面摩阻测量验证实验,获得了高分辨率的表面摩阻分布信息,对于分析复杂流场结构具有较大意义。
在未来研究中,将通过选取更为典型的模型,如双三角翼等,进行表面摩阻测量研究;继续研究荧光油膜配制和附涂,以提高荧光油膜受激辐射效率和图像信噪比;进一步进行算法研究,提高其稳健性和在较大像素位移量时的计算精度;通过曲面标定实现曲面模型表面摩阻测量;通过与传统高精度单点测量方法结合,获得模型表面摩阻定量信息,以尽快在工程型号测试中获得应用。
| [1] | Hoerner S F. Fluid dynamic drag: Practical information on aerodynamic drag and hydrodynamic resistance. Hoerner Fluid Dynamics[M]. 1965 : 2 -10. |
| [2] | Fernholz H H, Janke G, et al. New developments and applications of skin-friction measuring techniques[J].Meas. Sci. Technol, 1996, 7(10):1396–1409. |
| [3] | Naughton J W, Sheplak M. Modern developments in shear-stress measurement[J].Aerospace Sciences, 2002, 38(6-7):515–570. |
| [4] | Patel V C. Calibration of the preston tube and limitation on its use in pressure gradients[J].JFM, 1965, 23(1):185–288. |
| [5] |
Dai C H, Liu T S, Teng Y G, et al. Measuring technology for wall shearing stress in turbulent boundary layer[J].Acta Aeronautica et Astronautica Sinica, 1988, 9(5):203–210. (in Chinese) 戴昌晖, 刘天舒, 滕永光, 等. 湍流附面层壁面摩擦应力的测量方法[J]. 航空学报, 1988, 9(5) : 203–210. |
| [6] | Wyatt L A, East L E. Low speed measure means of skin friction on a slender wing[R]. RAE TR-66027. London: Aeronautical Research Council, 1966. |
| [7] | Vagt J D, Fernholz H H. Use of surface fences to measure wall shear stress in three-dimensional boundary layers[J].Aeronautical Quarterly, 1973, 24(2):87–91. |
| [8] | Naqwi A A, Reynolds W C. Dual cylindrical wave laser-doppler method for measurement of skin-friction in fluid flow[R]. Stanford University, TF-28, 1987. |
| [9] | Schmidt M A, Howe R T, Senturia S D, et al. Design and calibration of a micro fabricated floating-element shear-stress sensor[J].IEEE Transactions on Electron Devices, 1988, 35(6):750–757. |
| [10] | 马洪强, 高贺, 毕志献. 高超声速飞行器相关的摩擦阻力直接测量技术[J]. 实验流体力学, 2011, 25(4) : 83–88. |
| [11] | Gaudet L, Gell T G. Use of liquid crystals for qualitative and quantitative 2-D studies of transition and skin-friction[C]//13th International Congress on Instrumentation in Aerospace Simulation Facilities, Gottingen, Germany. 1989. |
| [12] | Bonnet P, Jones T V, McDonnell D G. Shear-stress measurement in aerodynamic testing using cholesteric liquid crystals[J].Liq. Cryst., 1989, 6(3):271–80. |
| [13] | Reda D C, Wilder M C, Mehta R D, et al. Measurement of continuous pressure and shear distributions using coating and imaging techniques[J].AIAA Journal, 1998, 36(6):895–899. |
| [14] | Reda D C, Wilder M C. Shear-sensitive liquid crystal coating method applied through transparent test surfaces[J].AIAA Journal, 2001, 39(1):195–197. |
| [15] | Reda D C, Wilder M C, Farina D J, et al. New methodology for the measurement of surface shear stress vector distributions[J].AIAA Journal, 1997, 35(4):608–614. |
| [16] | Takeo Tomita, Mamoru Takahashi, Masahiro Takahashi, et al. Visualization of the formation of separation bubbles on a bell-shaped nozzle surface in relation to serious side-load[C]//37th AIAA/ASME/SAE/ASEE Joint Propulsion Conference and Exhibit. Salt Lake City, Utah: 2001. AIAA 2001-3559. |
| [17] | Hoang Q H, Toy N, Savory E. Liquid crystals for surface shear-stress measurement[R]//Crowder J P, editor. Flow visualization VII: proceedings of the 7th international symposium on flow visualization[C]. Seattle, WA: 7th ISFV, 1995: 552-557. |
| [18] | Fonov S D, Jones G, Crafton J, et al. The development of optical technique for the measurement of pressure and skin friction[J].Measurement Science and Technology, 2006, 17(6):1261–1268. |
| [19] | Crafton J W, Fonov S D, Jones G, et al. Optical measurements of pressure and shear in a plasma[C]//35th AIAA Fluid dynamics conference and exhibit. Toronto, Ontario Canada: 2005. AIAA 2005-5006. |
| [20] | Tanner L H, Blows L G. A study of the motion of oil films on surfaces in air flow, with application to the measurement of skin-friction[J].J. Phys. E., 1976, 9(3):194–202. |
| [21] | Monson D J, Driver D M, Szodruch J. Application of a laser interferometer skin-friction meter in complex flows[R]//Proc. of ICIASF'81[C]. IEEE Publication 81CH1712-9. Dayton, Ohio: NASA-Ames Research Center, 1981: 232-243. |
| [22] | Monson D J, Mateer G G, Menter F R. Boundary-layer transition and global skin-friction measurement with an oil-fringe imaging technique[R]. SAE Paper 932550. Moffett Mesa, CA: NASA-Ames Research Center, 1993. |
| [23] | Westphal R V, Bachalo W D, Houser M H. Improved skin-friction interferometer[R]. NASA/TM-88216. Moffett Mesa, CA: NASA-Ames Research Center, 1986. |
| [24] | Liu T S, Sullivan J P. Luminescent oil-film skin friction meter[J].AIAA Journal, 1998, 36(8):1460–1465. |
| [25] | Horn B K P. Schunck B G. Determining optical flow[J]. Artificial Intelligence Laboratory, 1981, 17(1): 185-203. |
| [26] | Thomas J L, Taylor S L, Anderson W K. Navier-Stokes Computations of vortical flows over low aspect ratio wings[R]//AIAA, 25th Aerospace Sciences Meeting[C]. Reno Nevada: AIAA, 1987. AIAA87-0207. |

