0 引 言
近年来,国内针对飞翼布局开展了大量的研究工作,研究方向包括飞翼布局基本气动特性研究、飞翼布局横、航向控制方法研究、试验与飞行数据相关性 研究等,研究手段以风洞试验为主。国外方面,美国和欧洲在X-48B(BWB布局)和SACCON的研制过程中[1],除进行大量的稳定性和操控性试验外,还对高低速风洞试验数据的相关性、风洞支撑干扰方面做了系统深入的研究[2, 3, 4],目的是通过这种研究,建立完整的试验方法以及风洞试验数据的精准度评估方法,解决后续该布局形式飞机在研制中所面临的关键气动力试验问题[5]。国内针对飞翼布局的开裂式方向舵、全动翼尖、喷流控制等若干问题开展了部分研究[6]。
无论何种支撑形式(磁悬浮方式除外)都会给风洞试验带来干扰[7],国内外研究人员针对风洞试验支撑干扰修正问题已经探索出许多工程修正方法,并积累了宝贵的经验[8, 9, 10, 11]。飞翼布局飞行器模型往往具有尾部扁平的结构特点,进行高速风洞尾支测力时,尾部需要局部放大,由此带来尾部畸变和尾支杆的气动干扰,直接影响对巡航效率、焦点位置以及配平迎角的预测。另外,飞翼布局飞机由于没有垂直尾翼,偏航力矩量级比较小[12],通常具有航向中性稳定的特点,常规尾撑试验时,尾支杆和模型尾部的局部变形相当于人为给模型增加了小垂尾,必然会对飞机横、航向试验数据带来不利影响,其尾部畸变及支撑干扰往往对横航向数据带来“本质”性变化,尤其是对偏航力矩的准确测量和干扰修正,目前还没有很好的试验及修正办法。
综上所述,飞翼布局飞机,其安全性和经济性的要求对风洞试验数据精准度提出了更高的要求。因此,如何准确地测量并扣除支撑干扰是影响飞翼布局飞机风洞试验质量的关键因素。
本文针对某飞翼布局模型,采用风洞试验和CFD数值模拟相结合的手段,在不考虑二阶干扰量及其他多阶干扰量的前提下,通过腹支试验→腹支+假尾支试验两步法获得某飞翼布局飞机尾部畸变及尾支杆的纵、横向支撑干扰量,建立适合于飞翼布局飞机尾撑试验支撑干扰的修正方法。
1 研究方法与设备 1.1 试验设备与模型 1.1.1 风洞FL-2风洞是一座直流暂冲下吹式亚、跨、超三声速风洞,试验段横截面尺寸为1.2m×1.2m,风洞全长74m,配有0#、1#、2#、3#、4#共5副喷管,其中0#喷管为亚、跨声速喷管,M数为0.4~1.2;1#、2#、3#、4#喷管为超声速喷管,M数分别为1.515、1.816、2.021、1.66。亚、跨声速试验段插件的上、下壁板采用开闭比为22.5%的直孔壁板,沿气流方向有0.5°的扩开角,两侧为平行实壁;超声速试验段插件四壁皆为实壁。本期试验在CTS试验段插件(下壁板开槽)中进行,该试验段插件的上、下壁板采用开闭比为22.5%的直孔壁板,沿气流方向有0.5°的扩开角,两侧为平行实壁。
FL-2风洞常规试验迎角变化由四连杆拖板机构来实现,侧滑角变化由与风洞中部支架配合的多个横向接头(拐头)来完成,迎角范围α =-15°~25°,侧滑角范围β=-12°~12°。FL-2风洞还有一套腹撑系统,腹撑系统安装在试验段驻室内部,采用电机驱动,可实现迎角α=-5°~25°的变化范围。
1.2.2 模型试验模型气动布局为飞翼布局,主要部件包括机身、机翼、机身后体。模型后体有三种方案,分别是圆喷管后体、真实后体和畸变后体(见图 1)。更换机身内的钢套可实现模型的尾支与腹支变换。
![]() |
| 图 1 不同模型后体方案 Fig. 1 Different configurations of after-body |
根据国内外飞翼布局飞机风洞试验支撑的经验,结合FL-2风洞的结构特点,采用尾支撑方式为基本支撑,前位腹支做为辅助支撑,扣除尾部畸变和尾支杆的纵横向气动干扰(忽略多阶干扰)。
试验“两步法”扣除支撑干扰的前提是主支撑与辅助支撑间的二次干扰量及其他多阶干扰量是相对小量[13]。在前期支撑系统设计阶段,为减小尾支与腹支间的二次干扰,在满足强度、刚度和走线空间的要求前提下,通过数值模拟和有限元分析,对腹支杆的相对厚度、轴向支撑位置、叶片剖面形状以及支撑后掠角等参数进行了优化,确定了既满足强度、刚度的要求,又具有二次干扰小的腹支方案。
假尾支模拟方面,通过一段“小弯臂”将假尾支杆与腹支撑机构固连,假尾支杆轴向位置可以调节。假尾支支架距离模型尾部距离大于8倍模型尾部直径,尽量减小假尾支支架的远场影响。
腹支带与不带假尾支横向试验时,为减小腹支杆对全机的气动干扰,变侧滑角时,腹支杆和“小弯臂”相对来流无夹角,通过更换变β接头来实现模型及假尾支杆的侧滑角变化。图 2给出了腹支模型带与不带假尾支示意图。
![]() |
| 图 2 腹支模型带与不带假尾支示意图 Fig. 2 The diagram of ventral strut with dummy rear sting on/off |
常规风洞试验中的支撑干扰主要由两部分构成,一部分为“远场干扰”[14],通常指中部支架的存在对试验段模型区的流场影响,这部分影响一般可通过流场校测得到轴向静压梯度,进而通过“浮阻”修正予以扣除,该方法较成熟,这里不作讨论;另一部分为“近场干扰”,“近场干扰”较为复杂,有支撑空间要求,带来的模型局部失真,有支杆对模型局部的整流作用带来的模型局部绕流变化,还有某些支撑形式的远场部分对模型气动力的影响(例:Z-Sting的直支杆部分)[15]。本文重点研究尾部支撑近场干扰。
本文以前位腹支为辅助支撑,开展飞翼布局飞机尾支撑纵、横向支撑干扰研究。为了得到尾部畸变和尾支杆本身对模型气动力的干扰,在不考虑二次干扰量的前提下,通过尾部畸变模型腹支带假尾支试验—尾部原型模型腹支试验“两步法”获得尾部畸变支撑的干扰量,并将其扣除,从而得到所需的干净模型气动力。其中尾支试验(尾部畸变)为主支撑获得基本数据,前位腹支为辅助支撑(尾部原型)。
式中,F气动力为干净模型气动力,ΔF尾部畸变+尾支杆、ΔF尾部畸变+假尾支、ΔF腹支杆、ΔF小弯臂分别代表尾部畸变+真尾支杆干扰量、尾部畸变+假尾支杆干扰量、腹支干扰量和假尾支“小弯臂”对模型的远场干扰量。
如果可以忽略组合支撑间二次干扰,且ΔF尾部畸变+尾支杆=ΔF尾部畸变+假尾支、ΔF小弯臂≈0成立,则有:
1.3.2 试验方法试验侧滑角β为0°、±3°,试验迎角为-2°~10°,试验M数为0.6~0.85,试验Re数为4.8×106~6.2×106(特征长度取模型平均气动弦长),模型附面层模拟采用自由转捩。试验结果进行了模型自重修正、天平安装γg角修正、天平和支杆弹性角修正、底阻修正和两心距修正。表 1以表格的形式给出了试验方案。
| Condition code | Model | Configuration |
| A | circle jet after-body | rear sting |
| B | circle jet after-body | ventral strut |
| C | circle jet after-body | ventral strut,dummy sting |
| D | Real after-body | ventral strut |
| E | distorted after-body | Rear sting |
| F | distorted after-body | ventral strut |
| G | distorted after-body | ventral strut,dummy sting |
分别以圆喷管后体模型和真实后体模型作为干净模型,以Fi代表干净模型气动力系数,以FA~G代表不同的模型-支撑组合状态的试验结果,则有:
1.4 计算方法本文采用中航气动院CFD技术室自主开发针对航空领域的UNSMB数值计算平台求解全湍流场。UNSMB采用混合网格技术和有限体积方法,以Euler方程或N-S方程加湍流模型作为主控方程,用于求解定常和非定常流动的流场。无粘通量差分格式包括通量矢量分裂和通量差分分裂格式,粘性通量空间离散格式主要有完全迎风格式、Frommer格式、中心格式和三阶迎风偏置格式。为了加速收敛,UNSMB解算器使用了多重网格技术、隐式残值光顺等数值处理技术。
本文采用包含黏性项的N-S方程,空间离散采用经典的Jameson中心差分加人工粘性,时间推进采用TVD型的显式三步Runge-Kutta推进,Ma、Re数与试验状态保持一致,湍流模型为两方程k-ω SST模型,可视情况使用多重网格以及调节粗网格黏度系数等来加速收敛。
计算网格由ICEM CFD生成六面体结构网格,空间网格为H型,近壁面采用O型网格加密,物面第一层网格高度取模型特征长度的10×10-6倍,并在调试计算时对物面Y+进行检查。经过网格收敛性分析,最终确定各计算模型网格规模。由于支撑干扰量,尤其是二次干扰量的量级通常较小,不同计算网格之间除必须更改的区域外,其他地方均保持网格点分布基本一致,以最大程度降低网格影响。
2 计算结果及分析 2.1 组合支撑二次干扰评估风洞试验中的镜像法有一个前提,就是二阶干扰量和其它高阶干扰量与一阶干扰量相比是小量,即做组合支撑扣除干扰时,必须排除两种支撑间的二次干扰问题,否则无法准确地扣除支撑干扰。
设计、计算4种模拟状态:全机模型带腹支撑(a),全机模型带腹支撑+尾支撑(b)、全机模型带尾支撑(c)、全机模型自由流状态(d)。前两种状态与风洞试验状态对应,根据ΔF=Fb-Fa得到包含二次干扰量的尾部畸变支撑干扰;后两种状态是理想的试验状态,可以得到没有二次干扰的修正量ΔF′=Fc-Fd。通过ΔF-ΔF′则得到组合支撑时的二次干扰量。
表 2、表 3分别给出了M=0.8时的纵、横向二次干扰CFD计算结果。可以看到,在α=-2°~8°范围内,二次干扰量与高速风洞常规测力试验精度指标总体上处于同一数量级,即该方案在中小迎角下可以忽略二次干扰影响,符合1.3.1节中的假设。
| α/(°) | ΔCy | ΔCx | ΔMz |
| -2 | 0.0022 | 0.00015 | -0.0015 |
| 0 | 0.0025 | -0.00021 | -0.0014 |
| 2 | 0.0016 | 0.00006 | -0.0013 |
| 8 | 0.0004 | -0.00056 | -0.0006 |
| α/(°) | ΔCz1 | ΔMy1 | ΔMx1 |
| -2 | -0.000007 | -0.000003 | 0.000014 |
| 0 | 0.000002 | 0.000000 | 0.000025 |
| 2 | 0.000000 | -0.000010 | -0.000005 |
| 8 | -0.000008 | -0.000004 | 0.000008 |
成熟的假支撑模拟技术是支撑干扰试验修正的关键[16],为确保结构的刚度与运动的同步性,假尾支通过一段“小弯臂”与腹支杆底座连接,为减小“小弯臂”对全机气动力的干扰,在满足强度、刚度的要求前提下,尽可能缩小其尺寸并远离模型(等直段厚0.015m)。为保证假支撑模拟真实性,真、假支架外型尺寸和相对位置保持一致。图 3给出了假尾支杆结构示意图。
![]() |
| 图 3 假尾支杆结构示意图 Fig. 3 The diagram of dummy rear sting configuration |
表 4给出了组合支撑状态下,M=0.8、α=-2°~8°时,“小弯臂”对模型远场影响的计算结果。
| M | α/(°) | ΔCy | ΔCx | ΔMz |
| 0.8 | -2 | -0.00020 | -0.00023 | -0.00006 |
| 0 | -0.00016 | -0.00005 | 0.00000 | |
| 2 | 0.00018 | -0.00008 | 0.00001 | |
| 8 | -0.00005 | -0.00019 | 0.00016 |
图 4给出了M=0.8、α=2°,有、无“小弯臂”时对称面流线及压力云图。
![]() |
| 图 4 对称面流线及压力云图 Fig. 4 Streamline and pressure contour on symmetry of the test system |
由图 4可以看出,“小弯臂”对其附近流场影响较大,产生了分离等复杂流动,但它对模型附近的影响很小,表 4所展示的数据也表明了这一点。由于它对纵向3个气动力和力矩系数的影响量均远小于高速风洞常规测力试验精度合格指标,说明在工程上忽略“小弯臂”对模型的远场干扰是可行的。
3 试验结果及分析试验“两步法”得到的支撑干扰量存在试验误差累加的影响,直接使用可能会带来偏差,为了排除试验误差对气动规律识别的影响,本文在给定的试验误差范围内,采用5阶多项式拟合的方法对试验数据进行了光顺处理。
3.1 圆喷管后体模型尾支干扰特性图 5给出了M=0.8,α=2°、β=0°时,圆喷管后体模型有无尾支杆的压力分布云图,图 6给出了风洞试验和CFD计算得到的圆喷管后体模型尾支杆纵向干扰结果。
![]() |
| 图 5 模型后体压力分布云图及流线图(M=0.8,α=2°) Fig. 5 Streamline and pressure contour of the rear-body (M=0.8,α=2°) |
由图 6可以看出,由于计算角度较少,其尾支干扰量更加线性,但二者在大部分角度下吻合较好。
![]() |
| 图 6 圆喷管后体模型尾支杆纵向干扰结果,β=0° Fig. 6 Rear sting interference on the longitudinal test results,β=0° |
由于尾支杆的整流体积效应,使模型底部轴向流速比无尾支杆时小,形成了沿轴向的逆压梯度,使全机阻力减小。试验结果也表明:尾支杆的存在使全机零阻减小10%~15%,经修正后,全机最大升阻比将降低7%左右。其中,当M=0.6,在α=-2°~8°范围内,ΔCx在-0.001左右;M=0.8、0.85,在α=-2°~6°范围内,阻力干扰量随迎角近似线性增大,ΔCx在-0.001 3至-0.003 16。尾支杆对升力、俯仰力矩的影响主要作用在内侧襟翼附近,由于二者空间位置紧凑,尾支杆的阻塞整流、诱导上洗与内侧襟翼的绕流相互影响,干扰量随迎角变化在M=0.6、0.8时,变化平缓,在M=0.85时,近似线性增大。
图 7给出了圆喷管后体模型尾支杆横向干扰结果。可以看到,在中、小迎角范围,尾支杆对横航向干扰很小,且随迎角增大,干扰量也很小。因此,对于圆喷管后体模型尾支试验,在中小迎角范围,尾支杆对全机的横航向干扰基本可以忽略[9]。
![]() |
| 图 7 圆喷管后体模型横向尾支干扰结果,β=±3° Fig. 7 Rear sting interference on the lateral test results,β=±3° |
图 8给出了真实后体模型尾部畸变支撑纵向干扰曲线。试验结果表明,尾部畸变支撑,使全机升力减小,在α=-2°~6°范围内,对全机升力系数的影响呈负干扰,且随迎角近似线性变化,量值在-0.006~-0.014;对全机的力矩干扰主要来源于模型后体升力的增量产生的抬头力矩,量值在0.001~0.003 6;阻力方面,尾部畸变支撑使全机零阻减小6%~8%,随迎角变化其干扰量为-0.000 3~-0.003,经修正后,全机最大升阻比降低7%左右。
![]() |
| 图 8 尾部畸变支撑纵向干扰结果,β=0° Fig. 8 Rear sting and distortion interference on the longitudinal test Results,β=0° |
图 9给出了真实后体模型尾部畸变支撑横向干扰曲线。可以看到,尾部畸变支撑使全机侧力静导数减小90%,ΔCz1β量值在-0.000 4~0.000 1之间;对全机横向静安定性导数影响很小,ΔMx1β基本在-0.000 1 以内;使全机航向静安定性升高,其干扰量随迎角变化近似线性减小,除个别迎角外,ΔMy1β基本在0.0001以内(干扰量占全机航向静安定导数的50%左右)。
![]() |
| 图 9 尾部畸变支撑横向干扰结果,β=±3° Fig. 9 Rear sting and distortion interference on the lateral test results,β=±3° |
另外,本期试验进行了M=0.6,β=0°、±3°真实后体畸变部分影响试验(ΔF尾部畸变=FF-FD),根据线性叠加原理,我们可以得到尾部畸变和尾支杆这两部分对尾部畸变尾支整体干扰的贡献。
图 10给出了M=0.6、β=0°尾部畸变支撑整体和局部(尾部畸变+尾支杆、尾部畸变部分、尾支杆部分)对纵向气动特性的影响。
![]() |
| 图 10 尾部畸变支撑整体和局部对纵向气动特性的影响,β=0° Fig. 10 Whole and partial sting effects on the longitudinal test results,β=0° |
尾部畸变部分和尾支杆对升力系数的干扰随迎角变化平缓方向相反,量值分别为-0.01和0.002;尾部畸变部分和尾支杆对俯仰力矩系数的干扰规律与升力系数类似方向相反,量值分别为0.001 8和-0.000 8;尾部畸变部分对阻力系数的影响随迎角变化呈负相关,在-2°<α<10°范围,其干扰量为0.000 4~-0.001,尾支杆部分对阻力系数的影响随迎角变化不大,其干扰量为-0.000 7~-0.000 34。
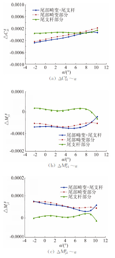
图 11给出了M=0.6,β=±3°尾部畸变尾支整体和局部(尾部畸变+尾支杆、尾部畸变部分、尾支杆部分)对横向气动特性的影响。
![]() |
| 图 11 尾部畸变支撑整体和局部对横向气动特性的影响,β=±3° Fig. 11 Whole and partial sting effects on the lateral test results,β=±3° |
可以看到,尾部畸变部分对横、航向特性的影响占尾部畸变+尾支杆整体干扰量的90%左右,考虑到试验精度误差,可以认为对于飞翼布局飞机来说,尾部畸变尾支对全机横、航向的影响主要是由模型后体畸变带来的,尾支杆的影响是个小量,可以忽略(小侧滑状态)。
3.3 “两步法”支撑干扰修正效果验证本期试验以真实后体模型作为干净模型,分别以不同的后体畸变(畸变后体和圆喷管后体)尾支作为主支撑,采用“两步法”得到不同后体畸变尾支干扰量(或尾支干扰量),进而得到干净模型气动力。通过对比两种途径得到的干净模型气动力的一致性来衡量试验“两步法”支撑干扰修正效果的好坏。
图 12给出了真实后体模型为干净模型的试验“两步法”支撑干扰试验纵向修正效果,图 13给出了真实后体模型为干净模型的试验“两步法”支撑干扰试验横向修正效果(图中符号定义详见1.3.2节中说明)。
![]() |
| 图 12 支撑干扰试验纵向修正效果,β=0° Fig. 12 Longitudinal correction effect of support interference test,β=0° |
![]() |
| 图 13 支撑干扰试验横向修正效果,β=±3° Fig. 13 Lateral correction effect of support interference test,β=±3° |
由图 12可以看到,以真实后体模型作为干净模型,扣除不同尾部畸变支撑干扰量后,得到的干净模型气动力系数差量除个别点外,在α=-2°~8°范围内,ΔCy在0.004以内,ΔMz在0.001 5以内,ΔCx在0.000 4以内,这与风洞的试验重复性精度相当,说明本期试验纵向支撑干扰修正效果良好。
由图 13可以看到,以真实后体模型作为干净模型,扣除不同尾部畸变支撑干扰量后,得到的干净模型横航向导数差量除个别点外,在α=-2°~8°、β=-3°~3°范围内,ΔCβz1在0.000 2以内,ΔMx1β在0.000 1以内,ΔMy1β在0.000 03以内,这与风洞的试验重复性精度相当,说明本期试验横向支撑干扰修正效果良好。
这里需要说明的是,α>6°后,通过不同途径得到的干净模型纵、横向气动力系数(或导数)差量随迎角增大规律有明显波动且量值增大,这可能与二次干扰量增大以及机翼出现流动分离有关,二者都会影响支撑干扰试验修正的精准度。 4 结 论
(1) 综合运用数值模拟与试验手段建立了针对飞翼布局飞机支撑干扰修正系统,较好地解决了型号单位关注的飞翼布局纵、横向支撑干扰影响问题,研究结果可以用于指导类似布局飞机模型测力试验数据的修正;
(2) 尾部畸变支撑对全机横航向的影响主要是由后体变形带来的,尾支杆的影响是个小量,可以忽略(α=-2°~10°,-3°≤β≤3°范围内);
(3) 通过对两种途径获得的干净模型气动力系数(或导数)差量的对比分析,证明了本期试验纵、横向支撑干扰修正效果良好,精准度较高。其中,在α=-2°~8°、-3°≤β≤3°范围内,除个别点外,ΔCy在0.004以内,ΔMz在0.001 5以内,ΔCx在0.000 4以内,ΔCz1β在0.000 2以内,ΔMx1β在0.000 1以内,ΔMy1β在0.000 03以内。
| [1] | Dan D Vicroy. SACCON forced oscillation tests at DNW-NWB and NASA Langley 14X22-foot tunnel[R]. AIAA 2010-4394. |
| [2] | Carter M B, Dan D Vicroy. Blended-wing-body transonic aerodynamics: summary of ground tests and sample results (Invited)[R]. AIAA 2009-935. |
| [3] | Dan D Vicroy. Blended-wing-body low-speed flight dynamics: summary of ground tests and sample results (Invited)[R]. AIAA 2009-933. |
| [4] | Liebeck R H. Design of the blended-wing-body subsonic transport[J]. A1AA Jouranl of aircraft, 2004, 41(1): 10-25. |
| [5] | Qin N, et al. Aerodynaimic studies for blended wing body aircraft[R]. AIAA 2002-5448. |
| [6] | Su Jichuan, Huang Yong, Li Yonghong, et al. Support interference of low-aspect-ratio flying-wing from subsonic to supersonic speed[J]. Acta Aerodynamica Sinica, 2015, 33(3): 289-295. (in Chinese)苏继川, 黄勇, 李永红, 等. 小展弦比飞翼亚、跨、超声速支撑干扰研究[J]. 空气动力学学报, 2015, 33(3): 289-295. |
| [7] | Cheng Houmei, et al. Interference and correction on wind tunnel testing[M]. Beijing: National Defence Industry Press, 2003. (in Chinese)程厚梅, 等. 风洞试验干扰与修正[M]. 北京: 国防工业出版社, 2003. |
| [8] | Carey G F, Stagg A K, Cline D D. Implementing a parabolized Navier-Stokes flow solver on massively parallel, scalable computer systems[C]//7th SIAM Conf. on Parallel Processing for Scientific Comuting, Feb. 1995, 15. |
| [9] | Sangho Kim, Juan J Alonso, Antony Jameson. Multi-element high-lift configuration design optimization using viscous continuous adjoint method[J]. Journal of Aircraft, 2004, 41(5): 1082-1097. |
| [10] | Vav Muijden J. CFD support to wind tunnel experiments[C]//European Wind Tunnel Association 2nd Joint Workshop, Farnborough, 2006. |
| [11] | Mouton S. Numerical investigations of model support interference in subsonic and transonic wind tunnels[R]. ONERA, 2007. |
| [12] | Li Lin, Ma Chao, Wang Lixin. Stability features of low aspect ratio flying wings[J]. Acta Aeronautica et Astronautica Sinica, 2007, 28(6): 1312-1317. (in Chinese)李林, 马超, 王立新. 小展弦比飞翼布局飞机稳定特性[J]. 航空学报, 2007, 28(6): 1312-1317. |
| [13] | Tang Liangrui. Review on model support systems for aircraft with large aspect ratio and its advanced support system[J]. Aerodynamic Experiment and Measurement & Control, 1994, 8(3): 17-24. (in Chinese)唐良锐. 大飞机支撑研究评述及先进的支撑系统[J]. 气动试验与测量控制, 1994, 8(3): 17-24. |
| [14] | Xiong Neng, Lin Jun, He Zhong, et al. Study on the rear sting support interference for large transports configuration model in transonic wind tunnel[J]. Journal of Experiments in Fluid Mechanics, 2012, 26(2): 51-55. (in Chinese)熊能, 林俊, 贺中, 等. 大飞机布局模型跨声速风洞实验尾支撑干扰研究[J]. 实验流体力学, 2012, 26(2): 51-55. |
| [15] | Piat J F, Steve. Recent experiments with new twin-sting supports in onera's large wind tunnels[R]. AIAA 2002-2921. |
| [16] | Tang Liangrui. The interference effects of support system combination of airfoll section ventral strut and sting[J]. Aerodynamic Experiment and Measurement & Control, 1994, 8(4): 40-47. (in Chinese)唐良锐. 翼型叶片腹支-尾支组合支撑的干扰特性[J]. 气动试验与测量控制, 1994, 8(4): 40-47. |


















